1/59
Looks like no tags are added yet.
Name | Mastery | Learn | Test | Matching | Spaced |
|---|
No study sessions yet.
Mosaic
patchwork of different types of land cover
landscape mosaic
product of the boundaries defined by changes in the physical and biological structure of the distinct communities that form its elements
----------------
ITS DYNAMIC
- Patches and their boundaries the structural and functional components of the landscape interact in a variety of ways
----------------
WHAT DO THEY DEPEND ON
- size
- spatial arrangement
- change through time
landscape ecology
the study of the composition, structure and function of landscapes
----------------
WHAT DOES IT FOCUS ON?
- spatial heterogeneity
- role of humans in creating affecting landscape patterns and processes
spatial heterogeneity (landscape ecology)
characterizes the spatial pattern of the elements that make up the landscape
----------------
WHAT DOES IT DETERMINE
- the process that gives rise to the patterns
- examines how those patterns change through time
spatial structure of each landscape is
unique
----------------
WHAT IS IT RESULT FROM
- interactions of variety of factors, including abiotic (physical) biotic, natural disturbances, and human activities
climate and geology interact to define
the landform determining patterns
----------------
PATTERNS OF WHAT
- drainage
- erosion
- desposition
climate, geology, and topography
interact with processes to give rise to patterns of soil formation
----------------
THESE ABIOTIC FACTORS INFLUENCE WHAT?
- geographic distribution of species, which together with species interaction determine changes in species composition and community structure across the landscape (zonaton)
geology
Study of the earth
----------------
ROCKS AND MINERALS
distinct patterns of communities are heavily influenced by
both past and present natural disturbances
disturbance
any relative distinct event that disrupts community structure and function
----------------
FEATURES:
- can create patterns in landscapes
- can also be affected by patterns in landscape
----------------
INCLUDES:
- fires
- floods
- windstorms
- droughts
- extreme cold or heat

disturbances examples
Ridgetop communities
- are more susceptible to damage from wind and ice storms
----------------
Bottomland communities
- are more susceptible to flooding

natural disturbances are not limited to physical processes
WHAT ELSE ARE THEY AFFECTED BY?
- biological processes can also function as disturbances that structure landscapes
----------------
EXAMPLES
- grazing by domestic animals
(disperse seeds in their droppings)
- white tailed deer browsing
(can change forest understory and can eliminate forest regeneration)
- beaver dam streams
(alter the structure and dynamics of flowing water creating diversity of patches)

outbreaks of insects
can cause the death or reduced growth of affected trees
----------------
AFFECTS
- can defoliate large areas of the forest
- reduced # of canopy trees
- can create habitat patches
birds can also cause
major changes in vegetation
----------------
EFFECTS
- the dramatic increase in the number of geese has stripped large areas of their vegetation
(resulting in the erosion of peat and the exposure of underlying glacial gravels)
- Plant species colonizing these patches differ from the surrounding marsh vegetation, giving rise to a mosaic of patches on the landscape.
human activity
most dominant factors influencing the structure of landscape
----------------
EXAMPLE:
- removal of natural communities (replaced by croplands and pastures)
- fragmentation of large tracts of land for development
(timber harvesting)

habitat fragmentation
is the division of large continuous tracts of habitats into a mosaic of smaller isolated patches?
----------------
EFFECTS
- more fragmented populations
- less available habitats
patches
areas that are more or less homogeneous compared to their surroundings

matrix
communities that surround a patch

boundaries
are places where the edge of one patch meets the edge of another adjacent (surrounding matrix)

connectivity
the proximity of patches to each other influences the ability for interactions among patches to occur

corridors
feature of the landscape that can increase connectivity and allow routes that facilitate movement between patches
----------------
ARE OFTEN:
- strips of habitats
or
- cover that are similar to the patches they connect

different landscapes differ in
configuration of patches, boundaries, and corridors
----------------
EXAMPLE ANIMAL:
- meadow vole
meadow vole
species of small mammal that inhibits old field environments
----------------
SUITABLE VS. UNSUITABLE HABITATS
- suitable = patches (grasslands)
- unsuitable = matrix (forest), which is a barrier to movement among patches

the place where the edge of one patch meets the edge of another is called a
boundary, which is an area of contact, seperation, or transition between patches
----------------
SOME BOUNDARIES:
- indicate an abrupt change in the physical conditions - topography, substrate, soil type, or microclimate - between communities
boundaries may be caused by
natural disturbances
- these boundaries are usually transient and subject to successional changes
----------------
EXAMPLES OF NATURAL DISTURBANCES:
- FIRES
- STORMS
- FLOODS
Boundaries connect patches through
fluxes or flows of material, energy, and organisms
----------------
FEATURES
- the height, width and porosity of boundaries influence the gradients of wind, flow, moisture, temperature, and solar radiation between adjoining patches
boundaries can restrict or facilitate
dispersal of seeds and movement of organisms in the landscape

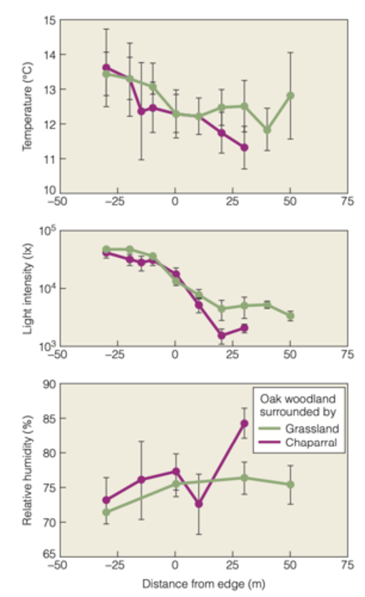
Oak woodlands can share a boundary with grassland or with chaparral (shrub habitat. Based on the data in this figure, which is true of this boundary (the edge of the boundary is at 0)
temp in the woodlands is higher within 20m of the grassland boundary
environmental conditions in the transition zones between patches enable
certain plant and animal species to colonize boundary environments.
----------------
PLANT SPECIES WITHIN THE AREA
- tend to be more shade intolerant and can tolerate the dry conditions caused by higher air temperatures and rates of evapotranspiration
----------------
ANIMALS INHABITING
- boundary environments are usually those that require two or more habitat types (plant communities) within their home range or territory.
EX: birds (ruffed grouse) requires different plant communities for food, nesting, and cover
edge species
species that are restricted to edge environments
----------------
EXAMPLE SPECIES:
-indigo bunting

boundaries often blend elements
from the adjacent patches (particularly in the case of ecotones)
----------------
DIVERSE CONDITIONS:
- enable these boundary zones to support plant and animal species from adjacent patches, as well as those species adapted to the edge environment
edge effect
is influenced by the area of boundary available (length and width) and by the degree of contrast between adjoining plant communities
----------------
GENERAL TREND
- the greater the contrast between adjoining patches, the greater the diversity of species
What does the graph tell us about the density of birds in relation to power lines?
birds like to be near the edge
- in general, species prefer to be near (but not at) the edge/boundary

what sorts of problems can the edge effect have - that is, why might it not always be beneficial to be near/at a boundary?
- predation issues
- temperature issues
- competition issues
- other man-made endangers
boundaries may alter species interactions
restricting the dispersal pattern across the landscape
- dense thorny shrubs at the boundary of forest and field can book dispersal

boundaries are dynamic
changing in space in time
----------------
BOUNDARIES BETWEEN FOREST AND FIELD
- is characterized by an abrupt difference in the vertical structure and field is characterized by an abrupt difference in the vertical structure of the vegetation
Trend of boundaries between forest and fields
as boundary vegetation grows, vertical gap with the forest crown is reduced
barring disturbance
the boundary expands horizontally as vegetation characteristics of the boundary encroaches into the patch
what could create this type of boundary
fires, human activities (moving, timber removal)

larger patches are more likely to contain
variations in topography and soils that give rise to a greater diversity of plant life (both taxonomic and structural), which in turn create a wide array of habitats for animal species
----------------
LECTURE NOTES:
- more individuals - larger population size
- more species - increased species richness
larger patches is a result of
increased carrying capacity with increasing area
----------------
TREND
- the greater the area, the greater the number of home ranges or territories supported in the patch
within the animal community
there is a general relationship between body size (weight) and the size of an animal's home range
Which would be larger - the home of a carnivore or the home range of a herbivore?
carnivore because its food is more sparsely distributed in a landscape
relationship between patch size and species richness is
more complex
----------------
HOW?
- Larger patches are more likely to contain variations in topography and soils that give rise to a greater diversity of plant life (both taxonomic and structural), which in turn create a wide array of habitats for animal species
patch size influences
the effect of edge vs. interior habitats
- Size and shape of patches affect the relative abundance of edge.
- A patch must be large enough to be deeper than its boundary to develop interior conditions.
a small patch is
all edge habitat
----------------
TREND:
- as patch size increases, the ratio of boundary to interior decreases

changing patch shape can change
the edge to interior relationship
----------------
EXAMPLES:
- long, thin patch - all edge regardless of area (patch does not exceed boundary width

Minimum habitat size needed to maintain interior species
is different for plants and animals.
----------------
EXAMPLES:
- plants patch size
plants patch size (minimum habitat)
- is less important to species persistence than environmental conditions
----------------
shade-tolerant interior plants - minimum size is area that provides moisture and light typical of the interior
what do shade tolerant interior plants depend on
- ratio of edge to interior
- type of boundary habitat
(small, open habitat has increased sunlight and wind)
forest fragmentation will affect
species composition
----------------
TREND
- fragmentation increases edge effect
(can lead to decline of species that require more moist (mesic) conditions that are characteristic of forests)
How did forest fragmentation changes species composition of forest patches in southern chile?
At patch, since increased
- species richness of edge species decreases
-Species richness of interior species increased

relationship of patch size to species diversity
has been most well studied for forest
----------------
SAME CONCEPT APPLIES TO
- other landscapes
(grassland, shrublands, marshes)
grassland, shrublands, marshes
are often highly fragmented
----------------
FROM WHAT?
- cropland
- grazing
- sagebrush eradication
- housing development
----------------
RESULT:
- many grassland and shrubland interior species are experiencing serious declines
The type, number, and spatial arrangement of patches in a landscape can
influence organism movement and population dynamics

landscape connectivity
is the degree to which the landscape either facilitates or impedes organism movement among patches
----------------
TWO COMPONENTS OF CONNECTIVITY ARE:
- structural and functional
structural connectivity
is based on the physical arrangement of the habitat patches in the landscape
----------------
- the degree to which patches are physically linked
functional connectivity
is based on the degree to which the landscape facilitates the movement of organisms. Is a function of the:
- physical structure of the landscape
- behavioral responses of organisms to this structure
- this connectivity is landscape- and species-specific
What are situations in which structural connectivity does not necessary reflect functional connectivity
the physical structure of a landscape (structural connectivity) may facilitate the movement of one species while proving a barrier to the dispersal of another species
----------------
EXAMPLE
- roads as corridors may allow the dispersal of some, but not all animals
Patches do not need to be
structurally connected to be functionally connected
----------------
EXAMPLE:
animals that can fly can move among patches that are not physically linked