1/17
Looks like no tags are added yet.
Name | Mastery | Learn | Test | Matching | Spaced | Call with Kai |
|---|
No analytics yet
Send a link to your students to track their progress
Future value generic formula
𝐹𝑉 = 𝑃𝑉 × (1 + 𝑖) ^t
i = compound iterest rate, t years
(1+i)^t is the compound factor
Risk premium
= The additional return an investor expects to earn from an investment, to compensate for the higher risk as supposed to a risk free- asset
Return
= Profit/ initial investment
NPV
= How much profit( in todays money) an investment will make you, after covering the cost. If it >0 do it
Discount factor
= 1/(1+i)^t : converts FV into Present terms
Perpetuity
= Cash flow that pays a fixed amount forever e.g. trust fund
PV of a perpetuity at year t=0 :
CF / i
cash flow per year / interest rate
𝐏𝐕 𝐨𝐟 𝐩𝐞𝐫𝐩𝐞𝐭𝐮𝐢𝐭𝐲 𝐝𝐮𝐞 𝐚𝐭 𝐲𝐞𝐚𝐫 𝐭 = 𝟎:
If the perpetuity starts immediately, it is called perpetuity due

Growing perpetuity
Cash flow stream continue indefinitely and the cash flow amount is increasing at a constant rate
e.g. You are promised a payment of $500 next year, which will grow by 3% annually foreve
Annuity
An asset that pays or u pay, identical cash flows at regular intervals e.g. 500 a year for 5 years car
Calc annuity formula

Annuity factor
accumulates the effects of discounting each equal payment back to the present. So if you're receiving $X per year for nnn years, the present value is:
PV=X×Annuity FactorPV = X \times \text{Annuity Factor}PV=X×Annuity Factor

annuity due
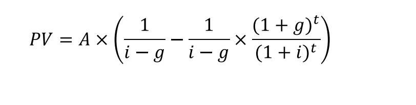
Growing annuity + PV eq
a finite stream of cashflows (for 𝑡 years) growing at a rate g

Amortizing loan
= Loan paid off in equal instalments
Each instalment = interest + principal
Common in mortgages, car loans, personal loans
Effective annual rate or annual percentage rate (APR)
we started with £1,000, and after 1 year of monthly compounding, the amount grew to £1,268.24. So, an annual compounded rate of 26.82% (this is called the effective annual rate or EAR).
APR = Annual percentage rate so new vs old year e.g. 0.268

the present value of £1 received at the end year 𝑡 when the continuously compounded rate is �

How long will it take for an investment to reach a multiple of its initial value, given a constant annual interest rate ii?
