1/31
Looks like no tags are added yet.
Name | Mastery | Learn | Test | Matching | Spaced |
|---|
No study sessions yet.
What two groups make up a carboxylic acid?
A carbonyl group (C=O) and a hydroxyl group (–OH)
What is the general formula for a carboxylic acid?
RCOOH or RCO₂H
What does the “R” represent in RCOOH?
The rest of the molecule, usually a carbon chain
What is one of the simplest carboxylic acids and where is it commonly found?
Acetic acid- in vinegar
What two groups make up an ester?
A carbonyl group (C=O) bonded to an –OR group
What is the general formula for an ester?
RCOOR′ or RCO₂R′

Identify this structure:
Carboxylic Acid

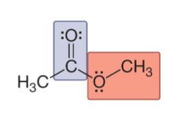
Identify this structure:
Ester
What two main groups make up an amide?
A carbonyl group (C=O) bonded to a nitrogen atom (N)
What can the nitrogen in an amide be bonded to?
Hydrogen atoms or carbon atoms
What makes an amide primary (1°)?
The nitrogen is bonded to 1 carbon and 2 hydrogens
What makes an amide secondary (2°)?
The nitrogen is bonded to 2 carbons, 1 hydrogen
What makes an amide tertiary (3°)?
The nitrogen is bonded to 3 carbons, 0 hydrogens

Identify this structure:
Primary 1º amide

Identify this structure:
Secondary 2º amide

Identify this structure:
Tertiary 3º amide
Amides are primary, secondary, or tertiary depending on the number of ______ atoms bonded directly to the nitrogen atom:
Carbon
What is the central structural feature of carboxylic acids, esters, and amides?
The acyl group (RCO)
What do we call compounds that contain an acyl group?
Acyl compounds

Identify this structure:
An acyl group
What is the geometry of the acyl group?
Trigonal Planar
Is the acyl group polar or nonpolar?
Polar
Why are carboxylic acids, esters, and amides polar?
Because they have a polar carbonyl group and other electronegative atoms attached to the carbonyl carbon
Which group in carboxylic acids allows them to form hydrogen bonds?
The hydroxyl group
What type of bonding occurs between carboxylic acid molecules?
Hydrogen bonding
Why do carboxylic acids have higher boiling and melting points than similar-sized esters and alcohols?.
Because hydrogen bonds between carboxylic acid molecules create stronger intermolecular forces
Out of carboxylic acids, esters, and alcohols, which has the highest boiling and melting point?
Carboxylic Acids
Which types of amides can form hydrogen bonds?
Primary (1°) and secondary (2°) amides
Why can tertiary (3°) amides not form hydrogen bonds?
Because they have no N-H group
Out of primary, secondary, and tertiary amides, which have the higher boiling and melting points?
Primary and secondary

Which molecule will have the higher boiling point?
B