Chapter 6: Nucleotides, Nucleic Acids, and Genetic Information; Biochemistry

0.0(0)
studied byStudied by 0 people
full-widthCall with Kai
GameKnowt Play
learnLearn
examPractice Test
spaced repetitionSpaced Repetition
heart puzzleMatch
flashcardsFlashcards
Card Sorting

1/42

encourage image

There's no tags or description

Looks like no tags are added yet.

Study Analytics
Name
Mastery
Learn
Test
Matching
Spaced

No study sessions yet.

43 Terms

1
New cards

Learning Outcomes 6.1

Describe the structures of nucleotides and polynucleotides

  • Recognize the constituent components of nucleotides

  • Draw the structures of the nucleobases, ribonucleosides, and deoxyribonucelosides

  • Distinguish the deoxyribonucleosides that comprise DNA from the ribonuceleotides that comprise RNA

  • Identify the phosphodiester bonds that link nucleotide residues in DNA and RNA

2
New cards

Key Concepts 6.1: Nucleotides and Polynucleotides

  • Nucelotides consist of a purine or pyrimidine base linked to ribose to which at least one phosphate group is attached

  • Polynucleotides are chains of nucleotides linked by phosphodiester bonds between 5’- and 3’ hydroxyl groups

  • RNA is made of ribonucleotides; DNA is made of deoxynucleotides (which contain 2’-deoxyribose)

3
New cards

Nucleobases

derivatives of purine and pyrimidine

<p>derivatives of purine and pyrimidine</p>
4
New cards

Ribonucleosides

knowt flashcard image
5
New cards

2’-deoxyribonucleosides

knowt flashcard image
6
New cards

Nucleotide Chemical Structures

knowt flashcard image
7
New cards

Nucleic Acids are Nucleotide Chains

knowt flashcard image
8
New cards

Checkpoint 6.1: Nucleotides and Polynucleotides

  • What are the purines and pyrimidines commonly found in nucleic acids? 

  • Practice drawing the structures of adenine, adenosine, and adenosine 5’-monophosphate. 

  • What are the chemmical differences between a ribonucleoside triphosphate and a deoxyribonucleoside monophosphate? 

  • Using Figs. 6.4 and 6.6 as a guide, draw the complete structure of a nucleoside triphosphate before and after it becomes incorporated into a polynucleotide chain. Then draw the structures that would result if the newly formed phosphodiester bond were hydrolyzed. 

9
New cards

Learning Outcomes: 6.2

Explain how DNA strands assemble and fold into regular structures

  • Explain the arrangement of the two polynucleotide strands of DNA double helix 

  • Construct hydrogen bond-medicated pairs between complementary nucleotides 

  • Analyze how hydrogen bonding, stacking, and ionic interactions contribute to the stability of the double-stranded structure of DNA

  • Describe how a double helical secondary DNA structure is denatured by heating and renatured through annealing

  • Identify the different secondary structures of DNA

  • Characterize the effects of supercoiling on the structures of DNA

  • Compare the mechanisms of topoisomerases in adding and removing supercoils

10
New cards

Key Concepts 6.2: Nucleic Acid Structure: DNA

  • In DNA, two antiparallel chains of nucleotides linked by phosphodiester bonds form a double helix 

  • Bases in opposite strands pair: A with T and G with C 

  • Base stacking and hydrogen bonding contribute to the stability and specificity of base-paired helical structures

  • Under- and Over- wound DNAs form twisted tertiary structures called supercoild 

  • The biologically active form of DNA is supercoiled; enzymes called topoisomerases modify the superhelical stress of the DNA 

11
New cards

Watson-Crick Double- Helical Model of DNA

knowt flashcard image
12
New cards

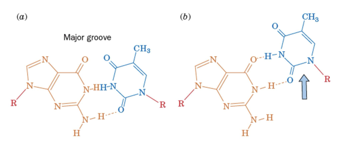
DNA Complementary Base Pairing

knowt flashcard image
13
New cards

Tautomeric Forms of Guanine

knowt flashcard image
14
New cards

Tautomeric Forms of Thymine

knowt flashcard image
15
New cards

G and T Wobble Base Pair

  • G-T cannot pair when positioned as other base pairs but can pair if T “slides up” wobbles

  • The result is that DNA base pairs are very homogeneous 

  • RNA base pairs are more structurally diverse 

<ul><li><p>G-T cannot pair when positioned as other base pairs but can pair if T&nbsp;“slides up”<em> wobbles</em></p></li><li><p>The result is that DNA base pairs are very homogeneous&nbsp;</p></li><li><p>RNA base pairs are more structurally diverse&nbsp;</p></li></ul><p></p>
16
New cards

Stacks in crystallized nucleic acids bases

hydrogen bonds in base pair only replace hydrogen bonds to water. Main stabilization of helix comes from base stacking. 

<p>hydrogen bonds in base pair only replace hydrogen bonds to water. Main stabilization of helix comes from base stacking.&nbsp;</p>
17
New cards

DNA denaturation and melting curve

knowt flashcard image
18
New cards

Nucleotide Unit Conformation

More bonds can rotate than in polypeptide, but ring limits rotations (especially δ) 

<p>More bonds can rotate than in polypeptide, but ring limits rotations (especially δ)&nbsp;</p>
19
New cards

Nucleotide Sugar Conformations

Two main sugar conformations:

  • C3’-endo (A-form) 

  • C2’-endo (B-form) 

Distance between phosphates is main difference of two conformations 

<p>Two main sugar conformations: </p><ul><li><p>C3’-endo (A-form)&nbsp;</p></li><li><p>C2’-endo (B-form)&nbsp;</p></li></ul><p>Distance between phosphates is main difference of two conformations&nbsp;</p>
20
New cards

Sterically Permissible Base Residue Orientations

Two preferred base orientations result from rotation around bound χ: anti and syn

<p>Two preferred base orientations result from rotation around bound χ:<em> anti</em> and<em> syn</em></p>
21
New cards

Structural Features of DNA

knowt flashcard image
22
New cards

DNA Geometries: A-DNA

  • Base pairs displaced from right-handed helical axis. 

  • Base pairs tilted 20˚ from perpendicular axis 

  • Wider helix

<ul><li><p>Base pairs displaced from right-handed helical axis.&nbsp;</p></li><li><p>Base pairs tilted 20˚ from perpendicular axis&nbsp;</p></li><li><p>Wider helix</p></li></ul><p></p>
23
New cards

DNA Geometries: B-DNA

  • Right-handed helical axis through base pairs. 

  • Base pairs nearly perpendicular to axis 

  • Narrower helix 

  • prominent major and minor grooves 

<ul><li><p>Right-handed helical axis through base pairs.&nbsp;</p></li><li><p>Base pairs nearly perpendicular to axis&nbsp;</p></li><li><p>Narrower helix&nbsp;</p></li><li><p>prominent major and minor grooves&nbsp;</p></li></ul><p></p>
24
New cards

DNA Geometries: Z-DNA

  • Left-handed helical axis through base pairs

  • Base pairs nearly perpendicular to axis 

  • Narrow helix with deep minor groove 

  • Favored by altering purine-pyrimidine sequences with purines in syn conformation 

<ul><li><p>Left-handed helical axis through base pairs</p></li><li><p>Base pairs nearly perpendicular to axis&nbsp;</p></li><li><p>Narrow helix with deep minor groove&nbsp;</p></li><li><p>Favored by altering purine-pyrimidine sequences with purines in<em> syn</em> conformation&nbsp;</p></li></ul><p></p>
25
New cards

Circular Duplex DNAs: no supercoiling to tightly supercoiled

  • DNA secondary structure is highly regular (mainly B-form). 

  • Main tertiary structures in DNA are overwound and underwound helices: supercoiling 

<ul><li><p>DNA secondary structure is highly regular (mainly B-form).&nbsp;</p></li><li><p>Main tertiary structures in DNA are overwound and underwound helices: supercoiling&nbsp;</p></li></ul><p></p>
26
New cards

Type 1A Topoisomerase Action

knowt flashcard image
27
New cards

Proposed Mechanism for Type 1A Topoisomerases

knowt flashcard image
28
New cards

Model for the Enzymatic Mechanism of Type II Topoisomerases

knowt flashcard image
29
New cards

Checkpoint 6.2: Nucleic Acid Structure: DNA

  • What is the structural basis for Chargaff’s rules? 

  • Using a three-dimensional computer model of the DNA molecule, identify each of the following structural features: the 3’ and 5’ end of each strand, the atoms that make up the sugar-phosphate backbone, the major and minor grooves, the bases in several base pairs, and the atome that participate in hydrogen bonding in A/T and G/C base pairs. 

  • What are the structural differences between DNA and RNA? 

  • What are the structural differences (in handedness, diameter, and presence of grooves) among A-, B-, and Z- DNA? 

  • IN what nucleic acid condormatino(s) does the ribose pucker with C2’ endo? C3’ endo? 

  • Why do most nueclotides adopt the anti conformation? 

  • How does under- or overwinding of DNA helices produce supercoils?

  • Why is it necessary for DNA molecules to be circular or anchored to proteins to maintain supercoiling?

  • How do type 1A, type 1B, and type II topoisomerases alter DNA topology? Which processes require the input of free energy? 

30
New cards

Learning Outcomes: 6.2

Describe the formation of diverse secondary and tertiary structures by RNA molecules.

  • Recall that RNA assumes more varied shapes than DNA 

  • Describe how basic secondary structure elements such as double helices can arise out of single stranded RNA sequences 

  • Classify the chemical forces that contribute to the tertiary structure of RNA 

  • Explain the catalytic activity of RNA and the concept of the RNA world

31
New cards

Key Concepts 6.3: Nucleic Acid Structure: RNA

  • Single-stranded nucleic acids, such as RNA, can adopt stem-loop strucutres

  • Larger RNAs such as tRNA and rRNA can fold into highly complex structures using a variety of hydrogen bonding and stacking interactions

  • Some RNAs can catalyze biochemical reactions.

32
New cards

RNA Stem-Loop Structure

Stem-loop (hairpin) structure allows formation of double helix from single strand 

bases in loop are stacked on end of helix

<p>Stem-loop (hairpin) structure allows formation of double helix from single strand&nbsp;</p><p>bases in loop are stacked on end of helix</p>
33
New cards

Yeast tRNAPhe

  • tRNAs (transfer RNAs) are approx. 75-bp

  • Secondary structure is “cloverleaf” 

  • 3D structure in shape of a comma

  • Contains helical stem-loops that fold into compact structure. 

<ul><li><p>tRNAs (transfer RNAs) are approx. 75-bp</p></li><li><p>Secondary structure is&nbsp;“cloverleaf”&nbsp;</p></li><li><p>3D structure in shape of a comma</p></li><li><p>Contains helical stem-loops that fold into compact structure.&nbsp;</p></li></ul><p></p>
34
New cards

rRNAs: Helical Segment Folded into Larger Globular Strucutres

Larger rRNAs (ribosomal RNAs) form more elaborate structures that will aggregate into quaternary structures

<p>Larger rRNAs (ribosomal RNAs) form more elaborate structures that will aggregate into quaternary structures</p>
35
New cards

RNAs Can be Catalysts

rRNAs catalyzes peptide bond formation (transfer of amino acid from tRNA to growing polypeptide). 

36
New cards

Hammerhead Ribozyme

  • Small “ribozyme” (40 nt)

  • Catalyzes hydrolysis of phosphodiester linkage

  • Major evidence for RNA world stage of life on Earth 

<ul><li><p>Small&nbsp;“ribozyme” (40 nt)</p></li><li><p>Catalyzes hydrolysis of phosphodiester linkage</p></li><li><p>Major evidence for RNA world stage of life on Earth&nbsp;</p></li></ul><p></p>
37
New cards

Checkpoint 6.3: Nucleic Acid structure: RNA

  • What forces stabilize nucleic acid structure? Which is most important? 

  • What are the molecular events of nucleic acid denaturation and renaturatino? 

  • What properties allow RNA molecules to act as catalysts? 

38
New cards

Learning Outcomes: 6.4

Explain how biological information is stored and converted into functional molecules

  • Describe the format in which DNA carries genetic information

  • Explain the roles of DNA, RNA, and protein in the flow of biological information

39
New cards

Key Concepts 6.4: Overview of Nucleic Acid Function

  • DNA carries genetic information in its sequence of nucleotides

  • When DNA is replicated by DNA polymerase, each strand acts as a template for the synthesis of a complementary strand

  • According to the central dogma of molecular biology, one strand of the DNA of a gene is transcribed into mRNA. The mRNA is then translated into protein by the ordered addition of amino acids boud to tRNA molecules that base-pair with the mRNA at the robosome.

40
New cards

Central Dogma

knowt flashcard image
41
New cards

Semiconservative DNA Replication

knowt flashcard image
42
New cards

Transcription and translation

knowt flashcard image
43
New cards

Checkpoint 6.4: Overview of Nucleic Acid Function 

  • Why is the double-stranded nature of DNA relevant for copying and transmitting genetic information when a cell divides? 

  • What are the steps of the central dogma? What roles does RNA play in each step?