1/50
Looks like no tags are added yet.
Name | Mastery | Learn | Test | Matching | Spaced |
|---|
No study sessions yet.
Reflexivity Assumption
It is assumed that each bundle is at least as good as itself
Preference Symbols

Ad valorem tax and subsidy
Ad valorem means 'to add value'
An ad valorem tax means a tax is paid on a good based on its price; a subsidy implies the inverse
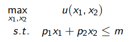
Budget Constraint
The budget line is given by p1x1 + p2x2 = m, which just exhausts a persons income
It has a slope of −p1/p2, a vertical intercept of m/p2, and a horizontal intercept of m/p1.
The Numeraire is when one of the variables is fixed as constant; this doesn't change the constraint (check by rearranging)
Increasing income shifts the budget line outward. Increasing the price of good 1 makes the budget line steeper. Increasing the price of good 2 makes the budget line flatter.
Pareto Efficiency
An allocation is Pareto Efficient if there is no way of making one better off without making another worse off
Equilibrium Principle
Generally, prices are determined when supply for a good meets the demand for a good
Optimisation Principle
People choose the best patterns of consumption available to them
Endogenous and Exogenous Meaning
Most simply, endogenous variables are explained and contained in a particular model whereas exogenous variables are not
Marginal Rate of Substitution
The rate at which an agent will swap one good for another
The slope of an indifference curve

Monotonic Transformation
Utility functions are ordinal, meaning they only show an order of preference, but don't assign an actual value to preferences
If preferences are represented by numbers - coffee = 4 and tea = 5 - by adding 5 to the values the order of preference is preserved
Perfect Substitutes
An agent is completely indifferent between two goods; they seek to maximise utility regardless of which good they have
u(x,y) = x + y
Perfect Complements
When two goods are only enjoyed when consumed together; there is no point having more of one good without the other
u(x,y) = min(x,y)
Convexity Assumption

Averages are better than extremes
This works when we take a weighted average of two bundles of goods and represent it on an indifference curve; this new curve will be equal to or strictly preferred to the singular curves
Transitivity Assumption
A logical assumption which mitigates against preference cycles
There is no situation in which A > B, B > C, and C > A
Monotonicity Assumption
Assumes that more of a good is better
This simply means that in models we will only study allocations of goods before satiation occurs
Completeness Assumption
Agents are able to exhibit preferences, avoiding situations in which they can't choose between different bundles
Marshallian Demand
The solution to the constrained optimisation problem in the image
This solution gives the optimum quantity given fixed income and prices x(p,m)

The Equimarginal Principle
Most utility curves are smooth and convex (Cobb-Douglas Equations)
At the optimum, the indifference curve and budget constraint will be tangent at the optimum, giving the equimarginal condition
Find the marginal utility by differentiating a utility function with respect to one of the arguments, then set the ratio of the marginal utilities equal to the ratio of the prices
MUx1/MUx2 = x2/x1, x2/x1 = p1/p2

The Lagrange Method

Revealed Preference
In a situation where there are two goods available and one chooses A over B, we can say that A is revealed preferred to B
Weak Axiom of Revealed Preference
If a person chooses x over y at some prices p when both are affordable, we can never reverse the choice at any other price in which both are affordable
Thus, something consists with the weak axiom of revealed preference if someone has a strict preference of one good over another
Strong Axiom of Revealed Preference
Adds a condition to the weak axiom which ensures that transitivity is respected
If A is revealed preferred to B, and B is revealed preferred to C, then C can not be revealed preferred to A (this event would be lots of curves crossing each other)
Optimal choices for concave preferences
Concave preferences imply a person doesn’t want to buy two goods together (like olives and ice cream; if they have ice cream they DON'T want more olives)
Thus the solution for nonconvex preferences is always a boundary point
Shortcut for optimal choices in Cobb-Douglas
To be used instead of conducting the Lagrangian, where the Cobb-Douglas is given by u(x1,x2) = x1cx2d
It is often useful to choose Cobb-Douglas functions where the exponents sum to 1 because this means that the exponents can be interpreted as a fraction of income

Normal good
A type of good where an increase in income will increase demand (eg cars, steaks)
dx1*/dm > 0
Inferior good
As income increase, demand for the good decreases (eg fast food)
dx1*/dm < 0
Ordinary good
Demand decreases when price increases (eg clothes)
dx1*/dp1 < 0
Giffen good
Demand increases when the price increases (watches, cars)
Often referred to as luxury goods; they are partly valued because of their price
dx1*/dp1 > 0
Engel Curve and Income Offer Curves
The shape of the income-offer curve is referred to as the income-expansion path; when income increases and the goods are normal, the slope will be positive
The income offer curve illustrates the bundles of goods demanded at different income levels
The Engel curve is one which shows the path of demand for a good given fixed prices

Demand Curve
Derived by plotting all of the price-demand combinations on a graph (price over demand)
Shows how one person reacts to changes in price and income
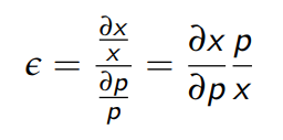
Price Elasticity of Demand
The slope of a demand function, understood as the ratio of relative changes
When the PED > 1, demand is called elastic, meaning that the demand curve is flatter (x changes a lot with price)

Constructing market demand
Summing horizontally is equivalent to fixing the price and summing the demand of different consumers
This allows one to find aggregate market demand at a particular price
Kinks can occur when one is summating market demand and a price goes above one of the consumers WTP
Slutsky Decomposition
Deals with the effects a price change has on demand
The first effect is the substitution effect; a person switches consumption to the other good
The second effect (income effect) involves a loss of purchasing power
This separating of these two effects is called the Slutsky decomposition
Compensated Demand
Is constructed to eliminate any purchasing power effect
If original prices are p1 and p2, with income m, then when prices change to p1’ and p2, the new income must be m’ to allow for purchasing the same quantities at different prices
Substitution effect
When a person shifts consumption from one good to another after a price change
The difference between the bundle x* and x’ (where x* is the original quantity demanded, and x’ is the quantity demanded after the price change)
The solution to max(x1,x2) u(x1,x2) s.t. p1’x1 + p2×2 = m’
Income effect
The loss of purchasing power caused by a price change, which is found by locating the optimal bundle at a new price and non-adjusted income
We move from x’ (adjusted demand with adjusted income) to x’’ (adjusted demand with non-adjusted income)
The income effect is the difference between x’’ and x’
The solution to max(x1,x2) u(x1,x2) s.t. p1’x1 + p2×2 = m
Graphically, this is a linear transformation of the budget constraint and indifference curve tangency
Slutsky Decomposition - Maths
Where dx/dp is the change in demand w.r.t the change in price and x*(dx/dm) is the income effect

Homothetic preferences on Engel and Income Offer curves
They will always be represented as straight lines through the origin, because any change in the quantity of bundles doesn’t change the ratio of preferences
Quasilinear indifference curves
All the indifference curves are just linear transformations of one indifference curve
We say that there is zero income effect due to an increase in income, and the Engel’s curve is a straight vertical line
The Price Offer Curve
When we change the price of one good, keeping the other fixed, the budget constraint pivots, intersecting different indifference curves at different points
These new intersections are connected through the price offer curve
Hicksian Compensated Demand
Also known as the Hicksian Subsitution Effect, this computes the optimal point by fixing utility and finding the compensated demand required to reach this utility
This implies a new solution framework; we can’t maximise the problem because we’re keeping utility fixed, so we invert it and solve in terms of expenditure minimisation instead
We minimise expenditure using the Lagrangian or Equimarginal Principle
minx1,x2 p1x1 + p2x2 , s.t. u(x1,x2) = u*, where u* is the fixed level of utility
The minimal point lies on the lowest budget line touching the indifference curve constraint
Unconstrained Optimisation
Rearrange the budget constraint to get x2 = (m-p1x1)/p2
Substitute this into the utility expression and then maximise it, solving for x1 by setting it equal to 0
Hicksian Demand Substitution Effect
We want to fix utility at its optimal level, so plug the Marshallian demands into u(x1, x2) to find the optimal utility, u*
Minimise expenditure subject to the new constraint (ie, x1x2 = u*) and compute
Solve for new optimal quantities given the price changes; take x2 from x2* to see the substitution effect
These new optimal quantities, x1* and x2* are called Hicksian Compensated Demands, subject to H(P1, P2, v), where v is the fixed level of utility
Hicksian Demand Income Effect
Simple compute the Marshallian demands of the goods at the new prices; this accounts for what expenditure will actually be like given the change in income
Hicksian Demand Total Effect
The direction of the total effect depends on what type of good it is; for a normal good, the substitution and income effect will both be positive

Compensating Variation
Fix utility before the price change and find how to adjust income to ensure the same utility after the price change
If e(p’, u(x*(p, m))) is the minimum expenditure needed to achieve the same utility at final prices, then the compensating variation, CV (p,p’,m) = |m - e(p’, u(x*(p, m)))|
Equivalent Variation
Fix utility after the price change, u(x*(p’, m))
Tries to figure out how we can adjust the income to ensure the consumer experiences the same level of utility before the price change as it does after
EV(p, p′, m) = |e(p,u(x*(p′, m))) − m|
Consumer Surplus
The net benefit we receive from consuming q units of good 1, where CS(q1) = v(q1) - p1q1
The area below the demand curve
Comparing Equivalent Variation and Compensated Variation
For a normal good, CV > EV for a price increase and vice versa for a decrease
They will only be equal for quasilinear preferences where indifference curves are parallel and there is no income effect
Computing Compensated Variation
Original budget constraint is P1*x1* + P2x2 = E1. When the price of P1 rises to P1**, the budget constraint changes with new Marshallian Demands to become P1**x1** + P2×2** = E1
We shift the second budget line out so that it becomes tangential to the original utility curve. The budget constraint becomes E2 = P1**x1*** + P2x2*** where E2 is compensated income
E2 - E1 is the compensated variation
Computing Equivalent Variation
How much money to take away from a consumer before a price change to ensure they will be just as well-off after it
Original BC is P1*x1* + P2x2* = M1
When the price P1 rises, BC pivots inwards and new BC is P1**x1** + P2x2** = M1
We must takeaway money from the consumer to ensure constant utility, so shift the original BC inwards to get the new BC P1*x1*** + P2x2*** = M2
EV = M1 - M2