1/38
Looks like no tags are added yet.
Name | Mastery | Learn | Test | Matching | Spaced |
|---|
No study sessions yet.
Define o termo Stock.
Acumulação de matérias-primas, produtos semiacabados e/ produtos acabados, bem como sobressalentes (coisas suplentes) necessários à manutenção de um sistema produtivo.
Porque é que os Stocks correspondem a um investimento muito significativo das organizações?
O Stock é uma interrupção do fluxo, sendo um “empate” do capital.
Explica a Perspectiva Logística?
O stock funciona como um fio condutor ente o fornecedor de matérias-primas e o cliente final.
Quais são as Filosofias de gestão da cadeia logística?
Push e Pull.
Explica as Filosofias de gestão da cadeia logística.
Push (clássica): a movimentação dos stocks é desencadeada pelo fabricante, ou seja, fabricamos stock com a perspetiva de que será vendido, sem esperar por encomendas específicas.
Pull (+ recente): a movimentação é desencadeada pelo cliente final com encomendas específicas. Normalmente, permite uma redução significativa nos stocks, tempos de produção e distribuição.
Explique a seguinte função dos stocks: Ajustamento à Procura.
Normalmente, a informação sobre a procura é recebida com atraso, então o stock funciona como um “acumulador”, permitindo estabilizar o nível de produção.
Do ponto de vista da produção (mão-de-opbra) é favorável ter a produção constante.

Explica o gráfico seguinte.
O gráfico seguinte corresponde ao Ajustamento à Procura, uma das funções dos stocks.
O stock representa produzir mais do que o ritmo de vendas, evitando horas extra nas épocas altas do produto.
Explique a seguinte função dos stocks: Incerteza (na procura e/ou no prazo de entrega).
Na maior parte dos casos temos uma ideia de quanto vamos vender mas pode sair abaixo ou acima da realidade.
Se tivermos stock para as incertezas (ex: vendi mais do que esperava) conseguimos satisfazer a procura.
Explique a seguinte função dos stocks: Especulação.
Às vezes compramos um produto em situação de baixa de preços para vender em situações de alta.
Alto risco: se o preço continuar a baixar, depois de comprar, vou perder dinheiro.
Explique a seguinte propriedade dos stocks: Esquema uniforme de identificação/referenciação.
É muito importante num armazém gerir as coisas com um Sistema de Informação.
O sistema de informação deve estar sempre atualizado (informação fiável). Temos de ter tudo codificado e saber onde cada produto está. Consultamos a BD e temos o artigo e o número de unidades existentes. Toda a informação deve estar disponível para os stakeholders e aqueles que devem lidar com o sistema.
Um grande desafio das empresas é manter isto organizado.
Explique a seguinte propriedade dos stocks: Classificação - Análise ABC.
Os artigos devem ser classificados quanto à sua importância relativa.
Esta análise é feita para que na impossibilidade de gerir com rigor todos os produtos, gerimos mais rigorosamente os que interessam mais.
A primeira coisa a fazer numa análise ABC é definir o objetivo, e com isso definir o(s) critério(s). Depois definimos as categorias (a, b ou c).
Muitas vezes fala-se desta análise como a regra dos 20-80, ou seja, tipicamente 20% dos artigos correspondem a 80% da faturação.

Explica o seguinte gráfico.
O gráfico corresponde à Análise ABC.
Os produtos são categorizados em 3 categorias:
A - mais caros ou mais usados. Maior cuidado na gestão dos stocks e é aconselhado ter um sistema de previsão que rapidamente detete mudanças na procura. Produtos + importantes do ponto de vista económico.
B - custos médios ou utilização moderada. Menor rigor no controlo dos stocks e menor rigor (gastos) com a produção.
C - custos baixos ou utilização baixa. Geralmente em grande número e fáceis de obter dos fornecedores. Não se justificam gastos com registos de existências ou sistemas de previsão.
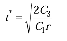
Define o objetivo dos Modelos de Gestão de Inventários (Stocks).
Os modelos pretender analisar um só produto e saber QUANDO devem as encomendas ser lançadas e QUANTO se deve encomendar de cada vez, de forma a minimizar os custos de gestão de stocks.
Define os Modelos de Gestão de Inventários Determinísticos (tradicionais).
Têm uma procura e um prazo de entrega determinísticos (constantes).
Os pedidos de reaprovisionamento são feitos com antecedência de modo a não existirem quebras/roturas de stock.
Define o termo Prazo de Entrega.
Corresponde ao tempo que o fornecedor vai demorar, desde o pedido da encomenda até à sua entrega.
Explica o Modelo QEE ou Modelo do Nível de Encomenda.
Neste modelo não temos quebras (C2 × 0).
Encomendamos sempre a mesma quantidade sempre ao fim do mesmo período de tempo.
Queremos saber a quantidade ótima que minimiza o custo.

Explica o Ciclo no gráfico seguinte.
O gráfico seguinte corresponde ao modelo QEE, onde quando atinjo o 0 tenho imediatamente uma reposição de stock, evitando possíveis quebras.

Explica os elementos da seguinte fórmula.
C1 : custo de existência (pelo facto de possuir stock vou ter um custo).
C1 = i (taxa de juro interna de existência) x b (valor unitário do artigo)
q/2 : nível médio de inventário.
C1 x q/2 : Custo de Posse (cresce com o tamanho da encomenda).
C3 : custo fixo de encomenda (custo de todos os serviços do processo de pedir a encomenda).
r/q : número de encomendas por unidade de tempo (n)
C3 x r/q : Custo de Encomenda (diminui com o tamanho da encomenda)
Ciclo (tempo de reaprovisionamento): t = 1/n = q/r

Explica o seguinte gráfico.
O Custo é mínimo quando o Custo de Existência é igual ao Custo de Encomenda.
O Custo é inversamente proporcional ao Custo de Existência, uma vez que se o custo de armazém é alto. devemos encomendar menor quantidade de cada vez.
O Custo é diretamente proporcional ao Custo de Encomenda, uma vez que se o custo de encomendar aumenta, é melhor encomendar maior quantidade de cada vez.
Custo de Encomenda sobe → Encomendas menos frequentes (q* sobe)
Custo de Posse sobe → Mantemos menos stock (q* desce)
Demanda anual sobe → Encomendamos mais (q* sobe)
Como é que sabemos quando vale a pena aceitar um Desconto por Quantidade?
Calculamos os ótimos nos dois casos (com e sem desconto) e comparamos o Custo.

Explica a seguinte fórmula.
A fórmula representa o Custo Total.
b x r : Custo da Compra (preço unitário do artigo a multiplicar pela quantidade que preciso)
O resto representa o Custo de Gestão.

Explica em que consiste o gráfico seguinte e o que demonstra.
Mostra o efeito de um desconto por quantidade sobre o custo total (CT) e quantidade ótima (QEE).
Este gráfico demonstra uma situação vantajosa, pois o desconto oferecido reduz o custo total o suficiente para que valha a pena comprar uma quantidade maior.
Mesmo que q** seja maior do que q*, o custo total em q** (com desconto) é menor de que o custo mínimo sem desconto.
Conclusão: QEE = q**

Explica em que consiste o gráfico seguinte e o que demonstra.
Mostra o efeito de um desconto por quantidade sobre o custo total (CT) e quantidade ótima (QEE).
Este gráfico demonstra uma situação desvantajosa, pois o desconto existe, mas não compensa o aumento do custo total causado por manter mais estoque.
O custo total no ponto qᵈ (com desconto) é maior do que o custo mínimo sem desconto.
Conclusão: QEE = qᵈ (ou, em termos práticos, o desconto não é vantajoso, e o melhor é manter q***).
Explica o que é o C2, na fórmula do Custo da Política Nível de Encomenda.
É o custo de quebra, ou seja, o custo de termos falta de stock quando precisamos dele.
Explica as 2 situações da existência de quebra.
Situação 1: “encomenda em atraso” ou “encomenda em carteira”
O cliente está disposto a aguardar (recebe o produto em atraso). Quanto + tempo esperar, + custo vai haver.
Situação 2: “venda perdida”
O cliente não está disposto a esperar (desiste).
Define o conceito de Nível de Serviço.
Pode ser quantificado de muitas maneiras diferentes, mas a nível de gestão de stocks costuma estar ligado às quebras. Tem de ser visto com base nos objetivos da empresa.
“Em média, não mais de x quebras por ano”.
Define os Modelos Estocásticos (tradicionais) p/ procuras contínuas e estacionárias.
Entra a incerteza no prazo de entrega e/ou na procura.
Temos de quantificar a incerteza através do desvio padrão (são diretamente proporcionais).

Com base no gráfico seguinte, explica Nível de Investimento versus Nível de Serviço.
Até 80%-90% do nível de serviço, o custo não sofre muita alteração. A partir de 90%, um aumento percentual do nível de serviço implica um custo extra elevado.
Isto acontece porque, normalmente, um maior nível de serviço é conseguido tendo mais stock.
Explica a Política Nível ou Ponto de Encomenda.
Lançamos uma “ordem de encomenda” sempre que o nível de stock descer abaixo de um nível pré-especificado (S), ou seja, o ciclo de encomendas (t) varia.
Encomendamos sempre a mesma quantidade (q).
O que é um Stock de Segurança?
É o inventário adicional que servirá para proteger o sistema contra eventuais situações de procura e/ou prazo de entrega superiores ao normal.
É também o stcok que se deve fazer implicitamente para que se tenha determinado nível de serviço. Um nível de serviço mais alto exige um stock de segurança maior para cobrir incertezas na procura ou no fornecimento.

A que Política corresponde o seguinte gráfico e em que ponto foi feita a encomenda?
Política de Nível ou Ponto de Encomenda.
A encomenda foi feita quando a procura (r) atingiu o nível de encomenda.

A que Política corresponde o seguinte gráfico?
Explica o conceito de DDLT.
Política de Nível ou Ponto de Encomenda (valores médios).
DDLT (Demand During Lead Time) é a procura média no prazo de entrega e corresponde à procura semanal a multiplicar pelo prazo.

Explica a seguinte fórmula.
É a fórmula do Nível ou Ponto de Encomenda.
l - prazo de entrega do fornecedor (média)
µr - procura (média)
σr - procura (desvio padrão)
> incerteza → > desvio
k - fator de segurança contra a possibilidade de quebra. É a quantificação do nível de serviço.
> k → < quebra → > nível de serviço → > SS
Explica a Política Ciclo de Encomenda.
Tempo que encomendo (ciclo) é constante.
Encomendas de quantidade variável que é igual à diferença entre o “stock em mão” (existências físicas + encomendas) e um “nível de referência” máximo pré-definido (S max).

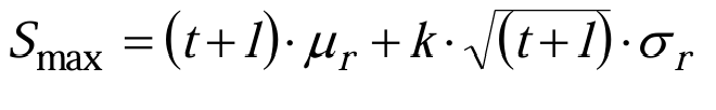
Explica a seguinte fórmula.
É a fórmula do Nível Máximo de Referência.
t - ciclo
l - prazo de entrega do fornecedor (média)
µr - procura (média)
σr - procura (desvio padrão)
k - fator de segurança contra a possibilidade de quebra. É a quantificação do nível de serviço.

A que corresponde a seguinte fórmula?
Corresponde ao Período/Ciclo de Revisão da Política Ciclo de Encomenda.
Explica como deve ser o SS na Política Ciclo de Encomenda.
A incerteza corresponde ao prazo de entrega (l) + um ciclo de revisão (t), logo t+l.
Com base nisto, o SS deve ser maior do que na Política Nível de Encomenda, para as mesmas condições de procura (r) e de nível de serviço (k).

A que Política corresponde o seguinte gráfico e em que ponto foi feita a encomenda?
Política Ciclo de Encomenda.
As encomendas são feitas com base no seguinte cálculo: S max - (o que existe) + (o que foi encomendado mas ainda não chegou).
Fazemos uma nova encomenda (E3) sem ter recebido a anterior (E2), porque se tivéssemos encomendado tudo junto (E2 + E3) teríamos excesso de stock.

A que Política corresponde o seguinte gráfico?
Política Ciclo de Encomenda (valores médios).
rl - procura durante o prazo de entrega