1/94
Looks like no tags are added yet.
Name | Mastery | Learn | Test | Matching | Spaced | Call with Kai |
|---|
No analytics yet
Send a link to your students to track their progress
Quotient ID’s
(tan x = sin x/cos x) OR (cot x = cos x/sin x)
Reciprocal ID’s
(sec x = 1/cos x) OR (csc x = 1/sin x)
Pythagorean ID’s
(sin²x + cos²x = 1) OR (sec²x - tan²x = 1)
2sinxcosx = sin2x
Double Angle id #1
cos²x-sin²x = cos2x
Double Angle id #2
sin (-x) = - sin x
Even-odd ID (sin)
cos (-x) = cos x
Even-odd ID (cos)
tan(-x) = - tanx
Even-odd ID (tan)
Cos Personality
Mean + selfish (doesn’t like sin, goes against + and -)
Sin (A+B)
sinA cosB + cosA sinB
Cos (A+B)
cosA cosB - sinA sinB
Sin (A-B)
sinA cosB- cosA sinB
Cos (A-B)
cosA cosB + sinA sinB
Distance b/w 2 points
(x2-x1)² + (y2-y1)² (square root of)
Midpoint Formula
(x1+x2)/2 , (y1+y2)/2
ln (0)
undefined
ln (1)
0
ln (e)
1
Law of Logarithms = ln(ab)
lna + lnb
Law of Logarithms = ln(a/b)
lna - lnb
Law of Logarithms = ln(an)
n*lna
Law of Logarithms = ln(1/a)
-lna
Average Rate of Change is also called
slope of the secant line
Average Rate of Change Formula
f(b) - f(a) / b - a
Squeeze Theorem
If f(x) </= g(x) </= h(x), then as x —→ a, f(x) —> L and h(x) —> L then g(x) —→ L
lime^x (- infinity)
0
limex (infinity)
infinity
limlnx —> 0+
- infinity
limlnx —> infinity
infinity
lim1/x
0
lim sinx/x
1
lim1-cosx/x
0
limarctanx (—> infinity)
pi/2
limarctanx (—> - infinity)
- pi/2
lim1/x (—> 0)
- infinity
lim1/x (—> 0+)
infinity
Definition of a vertical asymptote
x=a iff lim (—> a+) = ±infinity OR lim (—> a-)
Definition of a horizontal asymptote
y=a iff lim (—> infinity) = a OR lim (—> - infinity) = a
Continuity
1) f(a) exists, 2) lim (x—>a) f(x) exists, 3) lim (x—>a) f(x) = f(a)
Intermediate Value Theorem (IVT)
1) f is cont. on the closed interval [a,b] 2) f(a) not equal to f(b) 3) k is between f(a) and f(b)
If IVT meets requirements,
Then there exists a number c between a and b for which f(c) = k
Definition of the derivative/limit of the difference quotient
f’(x) = lim (h—>0) f(x+h) - f(x) / h
Definition of the derivative/alternate form
f’(x) = lim (x—>b) f(x) - f(b) / x-b
Tangent Line
y-f(a) = f’(a) (x-a)
Normal Line
The line perpendicular to the tangent line at the point of tangency
Three Reasons for a function, f, will not be differentiable at a point x=a
1) f not cont. at x=a 2) the graph of f has a corner/cusp at x=a 3) the graph of f has a vertical tangent at x=a
Differentiation Rules
f and g are functions of x
Product Differentiation Rule
d/dx (f g) = f’ g + f * g’
Quotient Differentiation Rule
d/dx (f/g) = f’*g - f*g’/g2
Chain Rule:
if h(x) = f(g(x)), then h’(x) = f’(g(x)) * g’(x)
Chain Rule Words
the derivative of the outside evaluated at the inside times the derivative of the inside
d/dx ( sinx) =
cosx
d/dx (cscx) =
-cscx * cotx
d/dx (e^x) =
e^x
d/dx (lnx) =
-1/x
d/dx (cosx) =
-sinx
d/dx (secx) =
secx * tanx
d/dx (logax) =
1/xlna
d/dx (tanx) =
sec²x
d/dx (cotx)
-csc²x
lim (f+-g) =
limf +- limg
lim (c*f) =
c*limf
lim c =
c
lim (fg) =
limf * limg
lim f/g =
limf / limg for limg does not equal 0
lim f(g(x)) =
f(limg(x))
lim (f(x))^n =
(limf(x))^n
lim f(g(x)) =
f(limg(x))
Extreme Value Theorem (EVT)
1) If f is cont. on a closed interval [a,b], 2) Then f has an absolute max and an absolute min on the interval [a,b]
Mean Value Theorem
If: 1) f is cont. on [a,b], 2) differentiable on (a,b) Then: there exists a number c between a and b such that f’(c ) = f(b) - f(a) / b-a
Minimum or maximum refers to
y-value
Position, Velocity, Acceleration Application
Particle at rest when v(t) = 0
Speed is increasing if v and a have same sign
Speed is decreasing if v and a have opposite signs
Definition of concavity
f is concave up if f’ is increasing
f is concave down if f’ is decreasing
Definition of a point of inflection (POI)
A point on the graph of f where the concavity of f changes.
2nd derivative test for relative extrema:
Given f’(c ) = 0, then
1) If f’’(c ) < 0, then f(c ) is a max
2) If f’’(c ) > 0, then f(c ) is a min
3) If f’’(c ) = 0, then the test is inconclusive
xndu =
xn+1/n+1 + C
audu =
au/lna + C
sinu du =
-cosu + C
cscu cotu du =
-cscu + C

sin-1u + C

sin-1 u/a + C
cosu du =
sinu + C
secu tanu du =
secu + C

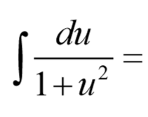
tan-1u + C

1/a tan-1 u/a + C
eu du =
eu + C
sec2 u du =
tanu + C
csc2 u du =
-cotu + C

1/a arc sec IuI/a + C

arc sec IuI + C

0


1/u du =
ln IuI + C