1/34
Looks like no tags are added yet.
Name | Mastery | Learn | Test | Matching | Spaced |
|---|
No study sessions yet.
nx^(n-1)

1

cf'(x)

f'(x)+g'(x)

f'(x)-g'(x)

uvw'+uv'w+u'vw

cos(x)

-sin(x)

sec²(x)

-csc²(x)

sec(x)tan(x)

dy/dx

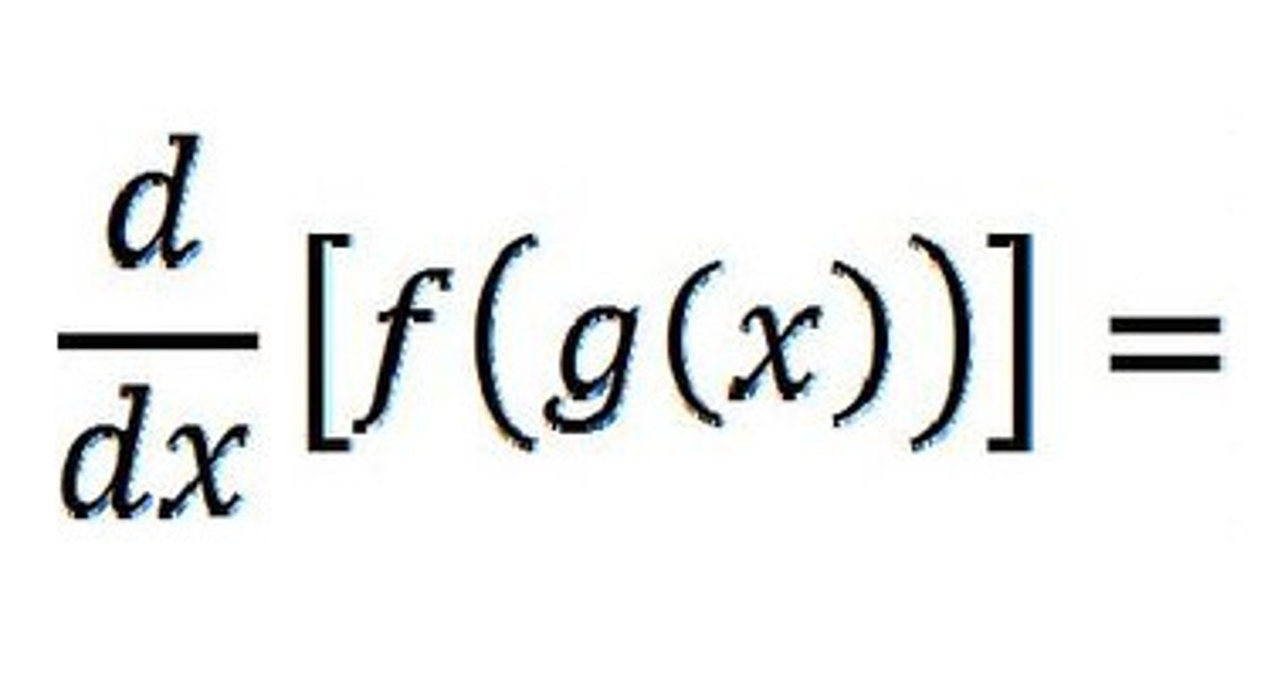
f'(g(x))g'(x)

x+c

sin(x)+C

-cos(x)+C

tan(x)+C

-cot(x)+C

sec(x)+C

-csc(x)+C

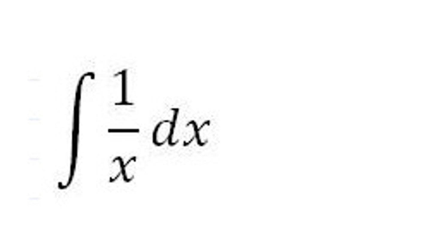
ln(x)+C

-ln(cosx)+C = ln(secx)+C
hint: tanu = sinu/cosu

ln(sinx)+C = -ln(cscx)+C

ln(secx+tanx)+C = -ln(secx-tanx)+C

ln(cscx+cotx)+C = -ln(cscx-cotx)+C

Inverse Secant Antiderivative

Inverse Tangent Antiderivative

Inverse Sine Antiderivative

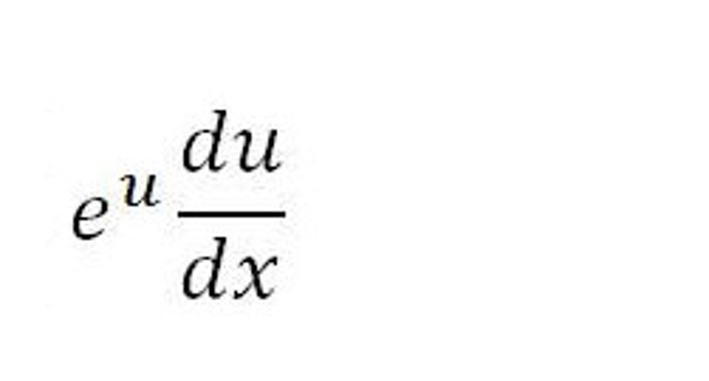
Derivative of eⁿ

ln(a)*aⁿ+C

Derivative of ln(u)

Antiderivative of f(x) from [a,b]

Antiderivative of xⁿ

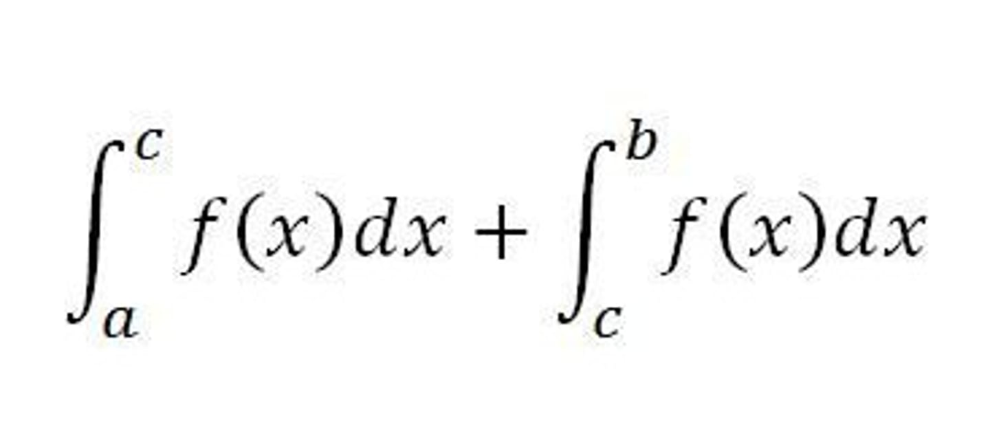
Adding or subtracting antiderivatives

Constants in integrals
