1/26
Looks like no tags are added yet.
Name | Mastery | Learn | Test | Matching | Spaced | Call with Kai |
|---|
No study sessions yet.
Describe the structure of B-form DNA.
- Right-handed double helix, 20 Å diameter.
- Bases are stacked and perpendicular to helix axis ( aka base stacking )
- 3.4 Å rise and 36° turn per base.
- The major groove has the bases exposed and this is where molecules interact with them. The minor groove does not.
Give an example of what happens in the major groove
Transcription factors recognize bases in the major groove. The lac repressor contains a helix-turn-helix motif that inserts into the major groove of the DNA to recognise the specific sequence of the lac operon.
Note that the DNA double helix is bent when it is bound to the repressor.
Chargaff's first rule =
%A=%T, %C=%G
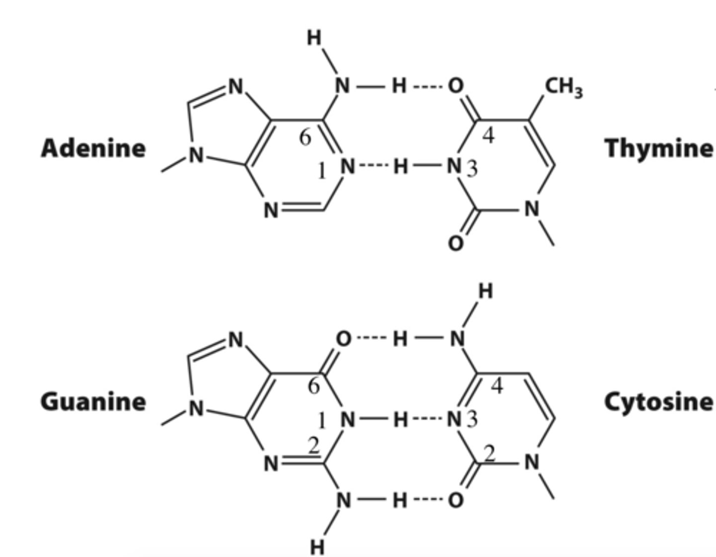
Watson-Crick base pairing
CG 3 H BONDS
AT 2 H BONDS

Describe how polymerases synthesise new DNA strands from a template
Semi conservative replication:
1) DNA helicase breaks up the strand hydrogen bonding, exposing bases.
2) Free nucleotides are attracted to complimentary bases
3) DNA polymerase joins the nucleotides to the existing strand, creating a new strand.
4) Okazaki fragments are joined by DNA ligase on the lagging strand as DNA polymerase can only work 5' to 3' but this strand runs 3' to 5'
each daughter molecule contains one strand from the parent molecule and one newly synthesised strand.
DNA polymerases require
A template strand
An oligonucleotide primer (which is RNA in replication)
A supply of deoxynucleotide triphosphates (dNTPs)
Outline PCR
1. Denaturation: DNA sample heated to around 95C to separate into two separate strands.
2. Annealing: DNA primers attached to opposite ends of target sequence, temp reduced to 53C
3. Elongation: Taq DNA polymerase copies strands. Temperature increase to 73C.
In DNA denaturation, what does the melting temperature depend on?
%GC.
Draw PCR

Denaturation is
Reversible under the appropriate annealing conditions
Explain the principle of the Sanger method of DNA sequencing
1) DNA is denatured and split into 2 strands, mutliple copies made of sense strand
2) free nucleotides added
3) mixture split between 4 test tubes, each text tube has a specific chain terminator added that terminates at a specific base. nucleotides are added to the DNA are bind to sense strand, chain terminators add at random points, all bases are covered by the end.
4) It is then undergoes polyacrylamide gel electrophoresis where each well creates a band for each base
(Dye labelled DNA can undergo electrophoresis in a capillary gel and have a laser scanned through them to detect the colour fo the dye, which then pieces the DNA sequence together as the smallest sequences will be at the top and largest at the bottom. )
The method has been fully automated; a sequence read of ~1000 bases costs a few .

"Next generation" DNA sequencing is even more.
Example
powerful
Illumina sequencing means bases give off a flash of light when added to the chain which is detected and the sequence ordered as the light comes through.
Explain the principle of gel electrophoresis
Electrophoresis = migration of charged molecules in an electric field. Migration speed is proportional to size. Smaller travel faster.
Molecules with a net positive charge move towards the anode
Molecules with a net negative charge move towards the cathode
Agarose gels
DNA and RNA molecules longer than a few 100 bases
Agar is a linear polysaccharide from red marine algae
Agar is dissolved in hot water/buffer (typically 1-2% solution), poured into a mould, and allowed to cool.
Polyacrylamide gels
DNA and RNA molecules shorter than 1,000 bases
Proteins (SDS-PAGE)
List the different types of RNA involved in transcription and translation.
Transfer RNA: Hairpin structure that bind to ribosome ( codon to anticodon ) and bring amino acid residues to the ribosome
Messenger RNA: Copies the antisense (?) strand of the DNA and carries it from the nucleus to ribosome as DNA is too big to leave the nucleus
Ribosomal RNA: acts as the primary building block for ribosomes
Central Dogma of Molecular Biology
DNA -> RNA -> Protein
Draw the secondary structure of transfer RNA
The loops on the sides are called
stem loops

tRNA have a
with a
and a
complex tertiary structure
anticodon loop
acceptor stem

tRNA contain many
such as
its...
modified bases
- dihydrouridine (D) in stem loops
- M2/2G
- psi
not really known why they are there
Ribosomes are huge
protein-RNA complexes
tRNA is located
in the middle of the ribosome between small and large subunits
RNA can have
eg .
This is due to the
catalytic activity (ribozymes)
ribosome is a ribozyme
hydroxyl groups within the ribosomes
The ribosome contains
Which
peptidyl transferase
forms peptide bonds between adjacent amino acids using tRNAs during the translation
tRNA and rRNA contain
which means
self splicing introns
They catalyze their own excision from different types of RNA, performing the job of a spliceosome.
A ribozyme is a
ribonucleic acid (RNA) enzyme that catalyzes a chemical reaction
The spliceosome
removes introns from a transcribed pre-mRNA