Genetics Exam FINAL

5.0(1)
studied byStudied by 11 people
5.0(1)
full-widthCall with Kai
GameKnowt Play
New
learnLearn
examPractice Test
spaced repetitionSpaced Repetition
heart puzzleMatch
flashcardsFlashcards
Card Sorting

1/89

encourage image

There's no tags or description

Looks like no tags are added yet.

Study Analytics
Name
Mastery
Learn
Test
Matching
Spaced

No study sessions yet.

90 Terms

1
New cards

DNA synthesis is also known as:

Replication

2
New cards

RNA Synthesis is also known as:

Transcription

3
New cards

Protein synthesis is also known as:

Translation

4
New cards

The site/signal for initiation of DNA synthesis:

Origin

5
New cards

The site/signal for initiation of RNA synthesis:

Promoter

6
New cards

The site/signal for initiation of Protein synthesis:

Ribosome binding site (RBS)

7
New cards

The protein synthesis is terminated:

At the UAA codon

8
New cards

RNA synthesis is often terminated:

Before a stem-loop structure

9
New cards

The direction of DNA and RNA synthesis is:

From 5' to 3'

10
New cards

The direction of protein synthesis is:

Amino terminus to Carboxyl terminus

11
New cards

“AGGAGG”

Consensus Shine-Delgarno sequence (part of RBS)

12
New cards

“AUG”

Methionine or start codon

13
New cards

“UAA”

Stop codon

14
New cards

“UAG”

Stop codon

15
New cards

“TATATT”

Consensus - -10 region of E.coli sigma 70 promoter

16
New cards

In an aminoacyl-tRNA the link between the amino acid and the tRNA is best described as an:

Ester bond

17
New cards

In an aminoacyl-tRNA the link between is the amino acid and the tRNA often occurs between:

COOH terminus of amino acid and 3’ end of tRNA

18
New cards

DNA from Leu+ bacteria is mixed with leu-bacteria. The bacteria are then plated on minimal media (with no Leucine).

Selection

19
New cards

Mutagenized bacteria are plated on rich media and then replica-plated to minimal media. Colonies that grow on rich media, but not on minimal media, are picked.

Screen

20
New cards

Phage are irradiated with UV light

Mutagenesis

21
New cards

Original DNA sequence: a b c d e f g

Classify the following arrangement:

a b c l m d e f g

Insertion

22
New cards

Original DNA sequence: a b c d e f g

Classify the following arrangement:

a b c d e c d e f g

Duplication

23
New cards

Original DNA sequence: a b c d e f g

Classify the following arrangement:

a b c f g

Deletion

24
New cards

Original DNA sequence: a b c d e f g

Classify the following arrangement:

a b e’ d’ c’ f g

Inversion

25
New cards

The change of A to G is:

A transition

26
New cards

The change of A to C is:

A transversion

27
New cards

A substitution of Leucine for Valine in the protein product:

a missense mutation

28
New cards

An alteration of an Arginine codon for a stop codon:

a nonsense mutation

29
New cards

The alteration of an Alanine codon for another Alanine codon:

A silent mutation

30
New cards

Could be caused by a two base-pair insertion:

Frameshift mutation

31
New cards

The genetic makeup of an organism:

Genotype

32
New cards

The physical and behavioral characteristics of an organism:

Phenotype

33
New cards

Applies, typically, to a gamete:

Haploid

34
New cards

Applies, typically, to a zygote, an embryo or an adult:

Diploid

35
New cards

Applies to the bacterium with a duplication:

Diploid

36
New cards

Might be used to construct a genetic map:

Recombination test

37
New cards

Might be used to determine whether two mutations affected the same gene:

Complementation test

38
New cards

Might be used to increase the frequency of mutations:

Mutagen

39
New cards

Might be used to isolate rare mutants from a larger population:

Selection

40
New cards

Might be used to characterize a single mutation:

Test of dominance (aka complementation by wildtype)

41
New cards

How F plasmid moves horizontally from cell to cell:

Conjugation

42
New cards

How bacteriophage P1 moves horizontally from cell to cell:

Transduction

43
New cards

Involves naked DNA:

Transformation or natural transformation

44
New cards

Involves a protein tube or “sex pilus”:

Conjugation

45
New cards

Involves degradation of one strand of DNA:

Conjugation

46
New cards

Involves rolling circle replication:

Conjugation

47
New cards

Involves an “Origin of Transfer”:

Conjugation

48
New cards

Is commonly used to introduce a plasmid into E.coli:

Transformation

49
New cards

Was discovered by Griffith in 1928:

Transformation or natural transformation

50
New cards

Involves phage particles that don’t contain phage DNA:

Transduction

51
New cards

What is the relationship between LacZ and glucose:

Enzyme and product

52
New cards

What is the relationship between Adenylate cyclase and cAMP:

Enzyme and product

53
New cards

What is the relationship between LacI and Allo-lactose:

Repressor and Inducer

54
New cards

What is the relationship between TrpR and Tryptophan:

Repressor and Corepressor

55
New cards

What is the relationship between CAP and cAMP:

Activator and Coactivator

56
New cards

What is the regulatory pattern of Lac operon in E. coli:

Negative Feedback Loop

57
New cards

What is the regulatory pattern of the Trp operon in E. coli:

Negative Feedback Loop

58
New cards

What is the regulatory pattern of the SOS regulon in E. coli:

None of the above

59
New cards

What is the regulatory pattern of the sporulation in Bacillus subtilis:

Cascade

60
New cards

What is the regulatory pattern of the gene expression in Bacteriophage T4:

Cascade

61
New cards

Transposon:

May be mutagenic

62
New cards

Prions:

Transmissible agent that contains no nucleic acid

63
New cards

Conjugal Plasmid:

Involves a direct cell to cell bridge or contact

64
New cards

Viroid:

Transsmissible agent that contains no protein

65
New cards

Homing endouclease:

Inteins or introns

66
New cards

Alkane

CH4

67
New cards

Alcohol

CH3CH2OH

68
New cards

Aldehyde

CH3CHO

69
New cards

Carboxylic Acid

CH3COOH

70
New cards

Amine

CH3CH2NH2

71
New cards

Ethylamine

CH3CH2NH2

72
New cards

Ethanol

CH3CH2OH

73
New cards

Ethanal

CH3CHO

74
New cards

Ethanoic Acid (aka Acetic Acid)

CH3COOH

75
New cards

Ethane

CH4

76
New cards
<p></p>

Autosomal Dominant

77
New cards
<p></p>

Autosomal Recessive

78
New cards
<p></p>

X-linked

79
New cards
<p></p>

Autosomal Dominant

80
New cards
<p></p>

X-Linked

81
New cards
<p></p>

AMP (adenosine monophosphate)

82
New cards
<p></p>

dATP (2’ deoxy adenosine monophosphate)

83
New cards
<p></p>

ATP (adenosine triphosphate)

84
New cards
<p></p>

ddATP (2’, 3’ dideoxy adenosine triphosphate)

85
New cards
<p></p>

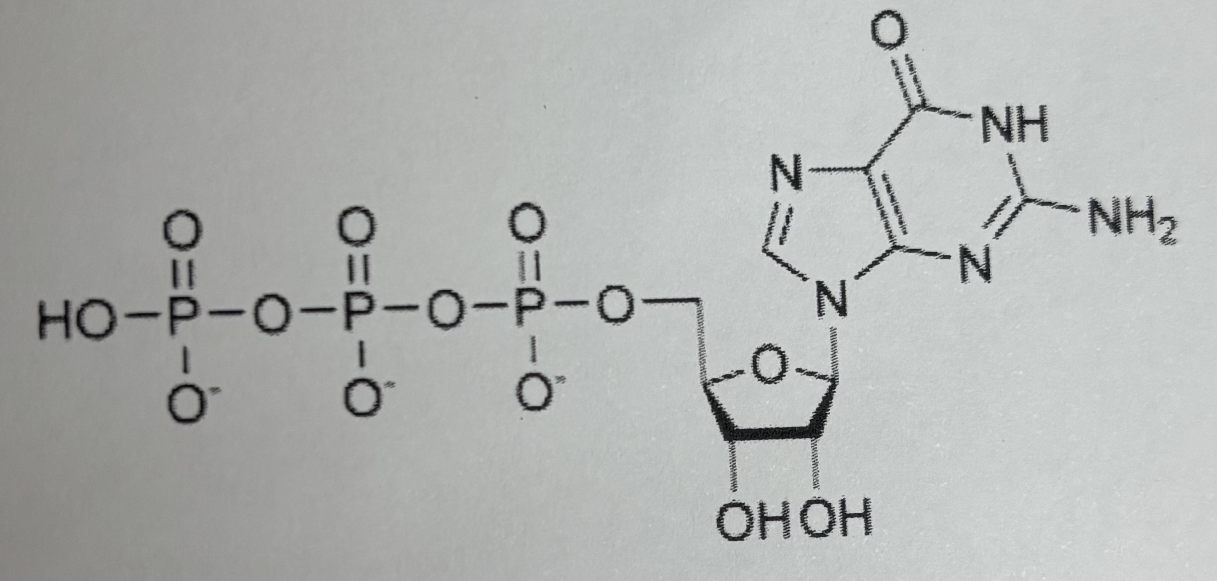
GTP (Guanosine triphosphate)

86
New cards
<p>Is Victoria a carrier?</p>

Is Victoria a carrier?

Yes

87
New cards
<p>Is Alice a carrier?</p>

Is Alice a carrier?

Yes

88
New cards
<p>Is Beatrice a carrier?</p>

Is Beatrice a carrier?

Yes

89
New cards
<p>Is Elizabeth a carrier?</p>

Is Elizabeth a carrier?

Maybe

90
New cards
<p>Is Anne a carrier?</p>

Is Anne a carrier?

No