1/49
Looks like no tags are added yet.
Name | Mastery | Learn | Test | Matching | Spaced |
|---|
No study sessions yet.
2-methyl-2-pentene

methylcyclopentane

3-methylpentanal

4-methyl-2-pentanol

3-bromo-5-nitrobenzaldehyde
Give name to compound M:

4-ethyl-5-isopropyl-3,3-dimethyloctane

2-chloro-5-propyltoluene

1-bromo-1-methylcyclohexane

1,2-ethanediol

3,4-dimethylheptane

3-oxobutanoic acid

2,3-dibromo-4-oxobutanoic acid

cyclohexanecarboxylic acid

bromomethylbenzene

o-bromotoluene

2-nitrotoluene

4-chloro-2-nitromethylbenzene

methylbenzene

5-bromo-2-nitrotoluene

benzene

2-phenylcyclopropanamine

2-bromo-3-chloroheptane

5-methylheptanol

1-isopropyl-3,5-dimethylcyclohexane

propanal

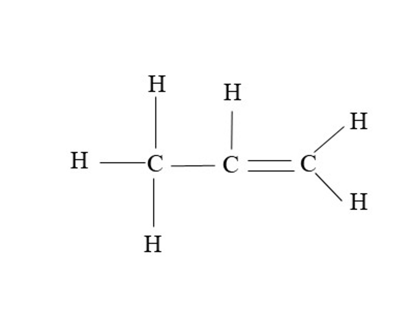
propene

but-3-ene-2-one

2,5-dimethyl-3-hexanol

pent-4-ene-2-ol

N-ethyl-2-pentanamine

6-aminohexanoic acid

methyl propanoate

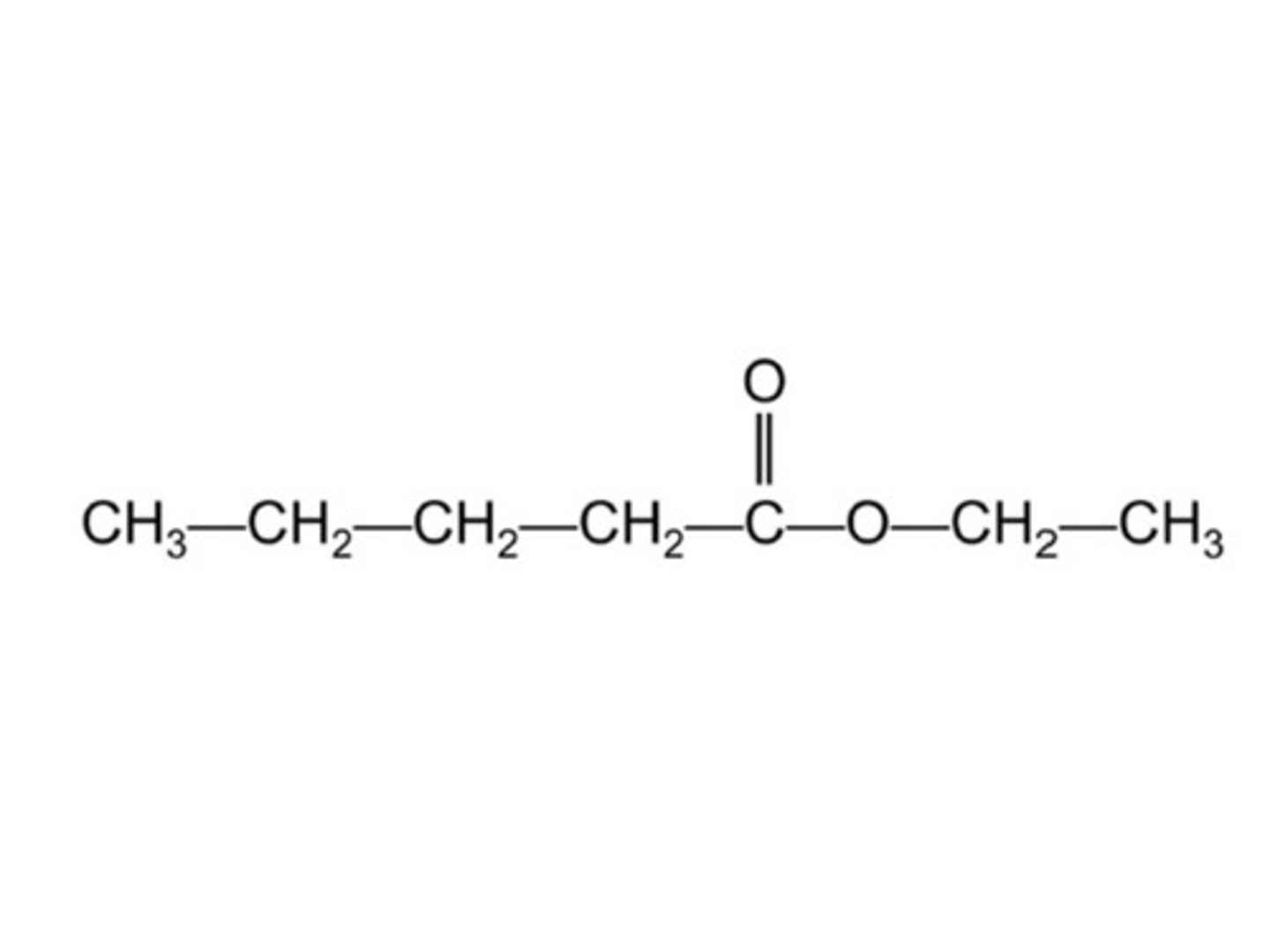
ethyl pentanoate

ethanoic propanoic anhydride

5-bromopentanoic acid

2,3-dibromo-5-methylcyclohexane

2,7,7-trimethyl-2-octanol

trimethylamine

2,6-diaminohexanoic acid

propanone

2-pentanone

3-pentanol

3-ethyl-4-methylheptane

benzyl bromide

benzaldehyde

aniline

benzoic acid

3-methylbenzoic acid

N-methylaniline

phenylethanone
