1/14
Looks like no tags are added yet.
Name | Mastery | Learn | Test | Matching | Spaced | Call with Kai |
|---|
No analytics yet
Send a link to your students to track their progress
What is the equation for n (porosity)
n=Vi/V
What is the equation for ne (effective porosity)
ne=VMW/V
What is the equation for θ (moisture content)
θ=Vw/V
What is the equation for ρB (Bulk soil density)
ρB=ms/V
What is the equation for uc (mean linear contaminant velocity)
uc=u/R
what does u represent
mean linear velocity
What does fs represent
Fraction Sorbed (fraction of contaminant associated with the solid phase)
What does R represent
Retardation factor
What does Cw represent?
Aqueous phase concentration

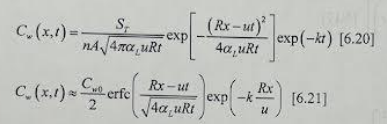
Which of these equations is for instantaneous release
6.20

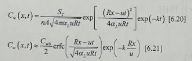
Which of these equations is for semi-infinite step release
6.21
What does αL represent?
Longitudinal Dispersivity
What does uv represent
mean linear velocity through the vadose zone
what two types of dispersion are dominant when it comes to groundwater?
Mechanical dispersion and molecular diffusion
at the pore scale, what three factors primarily affects flow
Pore size, path length, and friction in the pores