Virtuelle Entwicklung von Antriebssystemen

0.0(0)
studied byStudied by 0 people
full-widthCall with Kai
GameKnowt Play
learnLearn
examPractice Test
spaced repetitionSpaced Repetition
heart puzzleMatch
flashcardsFlashcards
Card Sorting

1/121

flashcard set

Earn XP

Description and Tags

Prüfungsfragen und Zusammenfassung aus den Folien

Study Analytics
Name
Mastery
Learn
Test
Matching
Spaced

No study sessions yet.

122 Terms

1
New cards

Nennen Sie je einen Vorteil und einen Nachteil eines seriellen Hybridantriebs gegenüber einem parallelen Hybridantrieb.

Vorteil seriell: VMot nicht direkt mit Antrieb verbunden: Betrieb mit optimaler Effizienz, entkoppelbar während Fahrbetrieb

Nachteil seriell: insgesamt schlechter Wirkungsgrad von Energie aus Kraftstoff über Verbrennung, Getriebe, etc in Batterie und dann zum Antrieb; höheres Gewicht und Komplexität im Vergleich mit BEV

2
New cards

Nennen Sie vier Hauptkomponenten eines Brennstoffzellenantriebsstrangs

H2-Speicher/ Tank, Brennstoffzellen-Stack, Elektroantrieb, HV-Batterie, Getriebe, On-Board-Ladegerät

3
New cards

Nennen Sie drei mögliche Modellarten für ein Brennstoffzellenmodell

semi-physikalische Modelle: komplexe Modelle für physikalische Zusammenhänge, hohe Rechenzeit → ungeeignet für Längsdynamiksim

Ersatzschaltbildmodell: schnell mit Messdaten kalibrierbar, schnelle Rechenzeit, hohe Modellkomplexität für Genauigkeit → geeignet für Längsdynamiksim.

Kennfeldmodell: schnelle Rechenzeit, geringe Modellkomplexität für ausreichend Genauigkeit → geeignet für Längsdynamiksim

4
New cards

Warum wird in der Längsdynamiksimulation für den Verbrennungsmotor lediglich ein Kennfeldmodell eingesetzt?

Kennfeldmodell: mittlere Genauigkeit, keine transienten Betriebszustände, schnelle Rechenzeit, geringe Modellkomplexität

vor allem Komplexität und Rechenzeit ergeben Eignung für Längsdynamiksimulation für einen Verbrennungsmotor

5
New cards

Nennen Sie die drei Hauptverlustarten in einer elektrischen Maschine

Ohm’sche Verluste/ Kupferverluste: elektrischer Widerstand der Wicklungen

mechanische Verluste: Lagerreibung, Lüfterwiderstand, Luftreibung

Eisenverluste/ Magnetisierungsverluste: im Eisenkern durch Wechselfeld; Hysterese- und Wirbelstrombverluste

6
New cards

In welchem Koordinatensystem wird eine PSM geregelt?

Synchronous dq-Koordinatensystem → ermöglicht Entkopplung von Drehmoment und Flussanteil

7
New cards

Nennen Sie die vier Verlustarten, aus denen sich in der Längsdynamiksimulation die Leistungsanforderung berechnet.

Luftwiderstand

Rollwiderstand

Steigwiderstand

Beschleunigungswiderstand

8
New cards

Sortieren sie die drei Antriebsarten: Verbrennungsmotorisches Hybrid (HEV), Brennstoffzellenfahrzeug (FCEV) und batterieelektrisches Fahrzeug (BEV) absteigend nach Ihrer gesamten Antriebsstrangeffizienz.

Absteigend: BEV, FCEV, HEV

9
New cards

In welcher Komponente einer E-Maschine treten die höchsten Verluste auf?

Wicklungsköpfe (Winding Heads) haben höchste Temperatur → höchste Verluste

10
New cards

Welche Probleme können aufgrund von Verlusten im Elektromotor auftreten und welche Gegenmaßnahmen gibt es?

sehr starke Temperaturentwicklung Begrenzung der Leistung nötig, um Bauteilschäden zu vermeiden

Gegenmaßnahmen: Verbesserung der Kühlung (Luft- oder Ölsprühen-kühlung) und Regelung mit Temperatursensoren in den Wicklungsköpfen und verknüpftem Simulationsmodell

11
New cards

Nennen Sie vier mögliche Optimierungsgrößen bzw. Zielgrößen für die Optimierung einer Betriebsstrategie.

Energieverbrauch

Emissionen

NVH (Noise, Vibration, Harshness): Geräusch, Vibrationen, Rauigkeit um Komfort zu verbessern

Fahrbarkeit

12
New cards

Was versteht man unter den Begrifflichkeiten „charge-sustaining-mode“ bzw. „charge-depleting-mode“?

charge-sustaining: System versucht über die gesamte Fahrt die Batterieladung auf dem selben Niveau zu halten oder auf ein bestimmtes Niveau zu bringen → Hauptantrieb mit Verbrenner

charge-depleting: System versucht über die gesamte Fahrt die Batterie leer zu fahren; optimal über die Fahrt verteilt, nicht direkt am Anfang (Stadt elektrisch, Laden + Überland mit Verbrenner) → möglichst viel elektrisch fahren

13
New cards

Nennen Sie den Unterschied zwischen einer Regelung mit Dynamic Programming (DP) und der Equivalent Consumption Minimization Strategy (ECMS).

Dynamic Programming (DP): globale Optimierung des Gesamtkraftstoffverbrauch über gesamten Fahrzyklus → zukünftiger Fahrverlauf muss bekannt sein → nicht echtzeitfähig

ECMS: lokale Minimierung der äquivalenten Kraftstoffkosten; wandelt elektrische Energie in äquivalenten Kraftstoffverbauch um (Äquivalenzfaktor Lambda) & minimiert Summe aus realem und äquivalentem Verbrauch → echtzeitfähig

DP liefert theoretisch optimale Strategien, ist aber nicht echtzeitfähig. ECMS ist praxisnah, in Echtzeit einsetzbar, und bildet daher die Basis vieler serienreifer Hybridregelungen.

14
New cards

Wie viele E-Maschinen werden minimal benötigt um eine seriell/parallel-Antriebstopologie darzustellen?

2 E-Maschinen: P1 & P2

<p>2 E-Maschinen: P1 &amp; P2</p>
15
New cards

Begriffe 0D-Modelle, 1D-CFD und 3D-CFD verstehen

0D-Modelle: keine örtliche Diskretisierung des Strömungsfeldes/ Drucks → Komponente lässt sich nicht sinnvoll mit einem Stromfaden beschreiben

1D-CFD: Strömungssimulation, Diskretisierung nur in Strömungsrichtung

3D-CFD: Strömungssimulation mit Diskretisierung in alle 3 Raumrichtungen

16
New cards

Untermodelle in der 0D/1D Simulation: Phänomenologische / quasidimensionale / empirische Ansätze

phänomenologische Ansätze: beschreiben physikalische/ chemische Effekte in Anlehnung an physikalische/ chemische Grundgleichungen (z.B. Modell für Befeuchter-Membran in FC)

quasidimensionale Modelle: physikbasierte Beschreibung von örtlichen Effekten (z.B. Flammenausbreitung) innerhalb eines 0D-Modells (z.B. Brennraum)

empirische Ansätze: erfahrungs- oder datenbasierte Untermodelle

17
New cards

Was sind klassische Anwendungsfelder der 0D/1D-Simulation?

Konzeptauslegung: belastbare Bewertungen versch. Antrieb- & Fahrzeugkonzepte weit vor erster Konstruktion; Vorgänger als Basis bei kleinen Änderungen; Erfahrungswerte bei komplett neuen Konzepten → geringe Kosten und Zeitgewinn im Vergleich zu Prototypen + Vermessung

Analyse: Messung + Verhalten und Zusammenhänge besser verstehen; Kalibrierung des Modells mit Messdaten; Nachsimulieren von untersuchten Potentialen → Erlangung von aufwändigen Kenngrößen

Softwareentwicklung: Kalibriertes Modell als Prüfstand betreiben für Grundbedatung der ECU-Software; Echtzeitfähigkeit für HiL (Hardware in the loop)

18
New cards

Abgrenzung/Unterschiede 1D- vs. 3D-CFD

1D vs 3D-CFD: Diskretisierung/ Betrachtung in 1 Raumrichtung statt 3; Ergebnis weniger detailliert, aber deutlich kürzere Rechenzeit

fast alle gasführenden Bauteile 1D modelliert, da meist keine Quer- und Diagonalströmungen → radiale Änderungen vernachlässigbar

19
New cards

Verstehen, welche Bauteile sich am Verbrenner oder Brennstoffzelle nicht 1D-Modellieren lassen -> 0D-Untermodelle dort notwendig

0D Untermodelle für Turbolader: Turbinen- und Verdichterkennfeld, Reibung, Wärmetransport & -übergang

Zylinder: Verbrennung, Emissionen, Wärmeübergang, Ladungswechsel

Drossel: Ein- & Auslassventile, Drosselklappe, AGR-Ventil, Drallklappe

<p>0D Untermodelle für <strong>Turbolader</strong>: Turbinen- und Verdichterkennfeld, Reibung, Wärmetransport &amp; -übergang</p><p><strong>Zylinder</strong>: Verbrennung, Emissionen, Wärmeübergang, Ladungswechsel</p><p><strong>Drossel</strong>: Ein- &amp; Auslassventile, Drosselklappe, AGR-Ventil, Drallklappe</p>
20
New cards

Grundidee der 1D-Diskretisierung

Bauteile werden in kurze Segmente geteilt zur Bewertung der instationären Strömungsvorgänge

Skalare Größen innerhalb von Subvolumen: Dichte, Druck, Temperatur, innere Energie

Vektorgrößen an Grenzen zwischen den Subvolumen: Massenstrom, Geschwindigkeit

21
New cards

Was beschreiben die Navier-Stokes-Gleichungen in 1D?

Durch welche Untermodelle werden sie in der Antriebssimulation ergänzt?

Navier-Stokes-Gleichungen beschreiben Massenerhaltung, Energieerhaltung (Kalorik und Wandwärme), Impulserhaltung (Wandreibung und Druckverluste) in einem Fluid

Untermodelle für Wandreibung, Wandwärmeübergang, Turbulenzen über Druckverluste

22
New cards

Erklärung von Untermodell für Navier Stokes Gleichungen: Druckverluste/ Turbulenzen

Modellierung über Widerstandsbeiwerte oder Reibungsbeiwerte

Verlust durch Strömungsablösung, Verwirbelung, Umwandlung Energie in Wärme durch innere Reibung und an Oberflächen; Carnotscher Stoßverlust an Rohrerweiterung, empirische Näherung bei Konizität, Krümmungen oder nicht-kreisförmige Querschnitte

Verlustbeiwerte aus Messungen oder Erfahrungswerten bei plötzlichen Strömungsverengungen (Ventile)

23
New cards

Erklärung von Untermodell für Navier Stokes Gleichungen: Wandreibung

Berechnung Rohrreibungszahl, empirische Formel für laminare & turbulente Strömung, Verwendung explizite Näherungsgleichung statt impliziter Zusammenhang bei turbulenter Strömung

24
New cards

Erklärung von Untermodell für Navier Stokes Gleichungen: Wandwärmeübergang

empirische Formeln für Wärmeübergangskoeffizienten, Korrekturfaktoren für Strömungsquerschnitte und Oberflächenrauhigkeiten, Energiebilanz mit Transportansatz für Wärmestrom, bekannte Stoffeigenschaften (Wärmeleitfähigkeit, spez. Wärmekapazität, …), Geometriegrößen

25
New cards

Unterschiede implizite/explizite Solver verstehen

Differenzenverfahren um System aus Differentialgleichungen zu lösen (jeweils 3 pro diskretes Teilvolumen)

explizit: gesuchte Größe im Subvolumen i in Zeitebene n+1 kann direkt aus Werten zum Zeitpunkt n aus Subvolumen i-1, i, i+1 berechnet werden

implizit: gesuchte Größe im Subvolumen i zum Zeitpunkt n+1 kann nicht direkt berechnet werden; nur möglich wenn Gleichungen für alle Netzpunkte aufgestellt und gelöst werden

<p><strong>Differenzenverfahren </strong>um System aus Differentialgleichungen zu lösen (jeweils 3 pro diskretes Teilvolumen)</p><p><strong>explizit</strong>: gesuchte Größe im <strong>Subvolumen i  in Zeitebene n+1</strong> kann <strong>direkt aus Werten zum Zeitpunkt n</strong> aus Subvolumen i-1, i, i+1 berechnet werden</p><p><strong>implizit</strong>: gesuchte Größe im <strong>Subvolumen i zum Zeitpunkt n+1</strong> kann <strong>nicht direkt berechnet</strong> werden; nur möglich wenn <strong>Gleichungen für alle Netzpunkte</strong> aufgestellt und gelöst werden</p>
26
New cards

Stabilitätsbedingungen von Simulationen

Verhältnis von zeitlicher zu räumlicher Diskretisierung \frac{\Delta t}{\Delta x} nicht frei wählbar (Von-Neumann-Stabilitätsanalyse)

→ von CFL-Zahl (Courant-Friedrich-Lewy-Zahl) festgelegt: CFL=a\cdot\frac{\Delta t}{\Delta x}

beschreibt Ausbreitungsverhältnis von numerischen zu physikalischen Störungen (bei strömungsmechanik: a=Schallgeschw.)

Hintergrund: numerische Ausbreitungsgeschw. von Informationen darf nicht schneller als entsprechende physikalische Ausbreitungsgeschw. sein

27
New cards

Unterschiede implizite/explizite Solver Auswirkung auf Stabilitätsbedingung → Praxis Verwendung

explizit: CFL <= 1: kleiner Zeitschritt/ Iteration nötig → geeignet für Druckpulsationen (Gasdynamik); Halbierung räumlicher Diskretisierung erfordert auch zeitliche Halbierung → Rechenzeit x4

implizit: CFL <= 10 - 1000: großer Zeitschritt/ Iteration möglich → Rechenzeitvorteile bei hoher räumlicher Auflösung & großer Berechnungszeitraum, aber zeitliche Auflösung grob (Kühlkreislaufberechnung); Halbierung räumlicher Diskretisierung erfordert keine zeitliche Halbierung → Rechenzeit x2

28
New cards

Konzept der Flow-Splits als wichtiges 1D-Element.

Impulserhaltung in allen 3 Dimensionen erforderlich → wird getrennt für jede Öffnung angesetzt; Strömungsgeometrie bestimmt durch Winkel der Öffnung, charakteristische Länge, Expansionsdurchmesser

in-phase: Massenströme kommen gleichzeitg (Abgassammelrohr)

out-of-phase: Massenströme kommen zeitlich komplett versetzt (Zwillings-Einlasskanal)

<p><strong>Impulserhaltung in allen 3 Dimensionen erforderlich</strong> → wird getrennt für jede Öffnung angesetzt; <strong>Strömungsgeometrie </strong>bestimmt durch Winkel der Öffnung, charakteristische Länge, Expansionsdurchmesser</p><p><strong>in-phase</strong>: Massenströme kommen <strong>gleichzeitg </strong>(Abgassammelrohr)</p><p><strong>out-of-phase</strong>: Massenströme kommen <strong>zeitlich komplett versetzt </strong>(Zwillings-Einlasskanal)</p>
29
New cards
<p>Aufbau einer Brennstoffzellen-Einzel-Zelle</p><p>Wie ist die Verschaltung zum Brennstoffzellen-Stack?</p>

Aufbau einer Brennstoffzellen-Einzel-Zelle

Wie ist die Verschaltung zum Brennstoffzellen-Stack?

Bipolar-Platten links und rechts außen; Membran trennt Zelle in der Mitte (H+ Transport von Anode zu Kathode); Kathode & Anode liegen an Membran & sind an Stromkreis angeschlossen (e- von Anode zu Kathode); Gasdiffusionslage zu Bipolar-Platten;

Kathodenseite geht Luft rein und Abgas + Wasser raus

Anodenseite geht Wasserstoff rein und raus

Reihenschaltung der einzelnen Zellen → Spannung addiert sich

<p><strong>Bipolar-Platten</strong> links und rechts außen; <strong>Membran </strong>trennt Zelle in der Mitte (<strong>H+ Transport</strong> von Anode zu Kathode); <strong>Kathode &amp; Anode</strong> liegen an Membran &amp; sind an Stromkreis angeschlossen (<strong>e- </strong>von Anode zu Kathode); <strong>Gasdiffusionslage </strong>zu Bipolar-Platten;</p><p><strong>Kathodenseite</strong> geht <strong>Luft rein und Abgas + Wasser raus</strong></p><p><strong>Anodenseite</strong> geht <strong>Wasserstoff </strong>rein und raus</p><p><strong>Reihenschaltung </strong>der einzelnen Zellen → Spannung addiert sich</p>
30
New cards

Diagramm Spannung über Stromdichte. Wo hat die Brennstoffzelle ihren besten Wirkungsgrad?

Charakteristischer Spannungsverlauf mit Aktivierungsverlusten, Ohmschen Verlusten und Transportverlusten.

bester Wirkungsgrad im linken oberen Bereich der Polarisationskurve mit niedriger Stromdichte wo Spannung noch hoch ist \eta=\frac{Uzelle}{U\operatorname{th}eoetis\operatorname{ch}} mit Utheoretisch = 1,23V

niedriger absoluter Leistungsoutput (P=U*I), deswegen Kompromiss aus Wirkungsgrad und Leistung

<p>Charakteristischer Spannungsverlauf mit <strong>Aktivierungsverlusten</strong>, <strong>Ohmschen Verlusten</strong> und <strong>Transportverlusten</strong>. </p><p><strong>bester Wirkungsgrad </strong>im <strong>linken oberen Bereich</strong> der Polarisationskurve mit niedriger Stromdichte wo Spannung noch hoch ist $$\eta=\frac{Uzelle}{U\operatorname{th}eoetis\operatorname{ch}}$$  mit Utheoretisch = 1,23V</p><p><strong>niedriger absoluter Leistungsoutput</strong> (P=U*I), deswegen Kompromiss aus Wirkungsgrad und Leistung</p>
31
New cards

Warum 1D-Simulation am Brennstoffzellen-Stack?

Rechenzeiteffizienz: 1D-Modelle nicht so rechenintensiv wie 3D Modelle

Systemintegration: erlaubt Kopplung zu anderen Komponenten z.B. Batterie, E-Maschine, Kühlung, Regelung

Fokus auf Stack-Durchströmung: Modellierung entlang der Gasflussrichtung; Effekte wie Stofftransport, Wasserhaushalt, Temperaturverlauf und Stromdichteverteilung ausreichend genau abgebildet

Parameteroptimierung: praktikabel für Betriebsstrategien, Lastpunktverschiebung, Fehlerbetrachtung, Alterungsanalysen

32
New cards

Wichtige Nebenaggregate & Aktuatoren der Brennstoffzelle benennen und erklären.

Verdichter: fördert Umgebungsluft zur Kathode unter Druck für höhere Reaktionsrate

Befeuchter incl. Varianten (Membranbefeuchter & Auskondensieren + Wassereinspritzung): sorgt für ausreichende Membranbefeuchtung für bessere Leitfähigkeit

Gegendruckventil Kathode: Aufrechterhaltung eines definierten Sauerstoffdrucks, Stabilisierung ggü Druckschwankungen

Purge-Ventil (Anodenabgasventil): Entlüftet Inertgase (N2, H2O-Dampf) aus der Anodenkammer um Leistungsabfall zu verhindern

Anoden-Rezirkulations-Gebläse: führt nicht verbrauchten H2 zurück zur Anode für bessere Brennstoffausnutzung

33
New cards

Unterschied Verdichter vs. Abgasturboaufladung für FCEV

Verdichter: Luftkompressor angetrieben von Elektromotor; präzise und schnell regelbar, aber Stromverbrauch reduziert Gesamteffizienz

Turbolader: nutzt Abgasenergie für Kompressor; effizient da keine elektrische Leistung, aber schlechte Dynamik und komplexer Aufbau

34
New cards

Brennstoffzellen-Stack und System. Wichtige Einflüsse / Auslegungs & Applikationsparameter verstehen:

Ladedruck, Kathodenstöchiometrie, Temperatur, Kathodenfeuchtigkeit, Membranfeuchtigkeit, Alterung.

35
New cards

Wirkung von Ladedruck im Brennstoffzellen-Stack und System

höherer Druck reduziert Aktivierungsverlust & verbessert Transport in die Membran

Leistung von Verdichter steigt auch

<p>höherer Druck <strong>reduziert Aktivierungsverlust</strong> &amp; verbessert <strong>Transport </strong>in die Membran</p><p><strong>Leistung </strong>von <strong>Verdichter </strong>steigt auch</p>
36
New cards

Wirkung von Kathodenstöchiometrie im Brennstoffzellen-Stack und System

höhere Stöchiometrie erhöht O2 Konzentration und vermeidet Mangel an Reaktanten

aber Verdichterleistung steigt auch; zu hohe Stöchiometrie folgt Effizienzverlust und größerer Luftbedarf → mehr Verdichterarbeit

<p>höhere Stöchiometrie erhöht <strong>O2 Konzentration</strong> und vermeidet Mangel an Reaktanten</p><p>aber <strong>Verdichterleistung </strong>steigt auch; zu hohe Stöchiometrie folgt <strong>Effizienzverlust </strong>und größerer Luftbedarf → mehr Verdichterarbeit</p>
37
New cards

Wirkung von Temperatur im Brennstoffzellen-Stack und System

höhere Temperatur erhöht Reaktionsgeschwindigkeit

aber reduziert auch Membranfeuchtigkeit

<p>höhere Temperatur erhöht <strong>Reaktionsgeschwindigkeit</strong></p><p>aber <strong>reduziert </strong>auch <strong>Membranfeuchtigkeit</strong></p>
38
New cards

Wirkung von Kathoden-Feuchtigkeit im Brennstoffzellen-Stack und System

höhere Feuchtigkeit senkt elektrischen Widerstand

39
New cards

Wirkung von Membran-Feuchtigkeit im Brennstoffzellen-Stack und System

höhere Feuchtigkeit erhöht Ionenleitfähigkeit, gleichmäßige Befeuchtung wichtig

zu hohe Feuchtigkeit verstopft Poren und überflutet Gasdiffusionsschicht

40
New cards

Wirkung von Alterung im Brennstoffzellen-Stack und System

langfristige Veränderungen durch Membranschäden, Katalysatorverarmung, Kohlenstoffkorrosion in GDL

> 5.000h bei PKW

<p>langfristige Veränderungen durch <strong>Membranschäden</strong>, <strong>Katalysatorverarmung</strong>, <strong>Kohlenstoffkorrosion </strong>in GDL</p><p>&gt; 5.000h bei PKW</p>
41
New cards

Verständnis lokal an einer 1D-diskretisierten Bipolarplatte.

knowt flashcard image
42
New cards

Erklärung von N2-Diffusion und der technischen Handhabung (Anoden-Rezirkulations-Gebläse, Purge-Ventil, Betriebsstrategie für Purge-Ventil)

N2 kommt in Kathode mit der Luft, aber kann durch Membran in Anode diffundierenverdrängt dort Wasserstoff

Purge-Ventil: Ablassventil im Anodenkreislauf → in definierten Intervallen Stickstoff, Wasserdampf und Wassertröpfchen ablassen

Betriebsstrategie: zyklisch, lastabhängig, sensor-/ modellbasiert

Zielkonflikt, da auch immer Wasserstoff verloren geht

<p><strong>N2 </strong>kommt in <strong>Kathode </strong>mit der Luft, aber kann <strong>durch Membran in Anode diffundieren</strong> → <strong>verdrängt dort Wasserstoff</strong></p><p>Purge-Ventil: <strong>Ablassventil </strong>im <strong>Anodenkreislauf</strong> → in definierten Intervallen <strong>Stickstoff, Wasserdampf und Wassertröpfchen </strong>ablassen</p><p><strong>Betriebsstrategie</strong>: <strong>zyklisch, lastabhängig, sensor-/ modellbasiert</strong></p><p>Zielkonflikt, da auch immer <strong>Wasserstoff verloren</strong> geht</p>
43
New cards

Brennstoffzellen-System im Fahrzeug: Komponenten Hybrid-Antriebsstrang skizzieren können

Brennstoffzellen-System, DC/DC-Wandler, Batterie, Nebenaggregate, DC/AC-Wandler, E-Maschine

<p>Brennstoffzellen-System, DC/DC-Wandler, Batterie, Nebenaggregate, DC/AC-Wandler, E-Maschine</p>
44
New cards

Hybrid-Betriebsstrategie: Lastgradienten begrenzen wg. Alterung

Begrenzung der Lastgradienten wichtig für die Alterung

<p><strong>Begrenzung </strong>der <strong>Lastgradienten </strong>wichtig für die <strong>Alterung</strong></p>
45
New cards

Leistungsgleichgewicht an Turbinenwelle anschreiben

Turbinenleistung = Verdichterleistung + mechanische Verlustleistung

Turbine wird von Abgas angetrieben

<p><strong>Turbinenleistung = Verdichterleistung + mechanische Verlustleistung</strong></p><p>Turbine wird von Abgas angetrieben</p>
46
New cards

Durchströmung Verbrenner ATL anzeichnen

axiale Anströmung & radiale Abströmung für Kompression bei Verdichter

radiale Anströmung & axiale Abströmung für Expansion bei Turbine

<p>axiale Anströmung &amp; radiale Abströmung für <strong>Kompression </strong>bei <strong>Verdichter</strong></p><p>radiale Anströmung &amp; axiale Abströmung für <strong>Expansion </strong>bei <strong>Turbine</strong></p>
47
New cards

Prinzip Heißgasprüfstand. Welche Größen muss ich messen, um Verdichter- und Turbinen-Wirkungsgrade zu bestimmen?

stationäre Durchströmung von Verdichter und Turbine an vielen Betriebspunkten

Verdichter-Wirkungsgrad: Totaldruckverhältnis \Pi c=\frac{pt2}{pt1}

Turbinen-Wirkungsgrad: Total-statisches Druckverhältnis \Pi T=\frac{pt3}{p4}

<p><strong>stationäre Durchströmung</strong> von Verdichter und Turbine an vielen Betriebspunkten</p><p><strong>Verdichter</strong>-Wirkungsgrad: <strong>Totaldruckverhältnis </strong>$$\Pi c=\frac{pt2}{pt1}$$ </p><p><strong>Turbinen</strong>-Wirkungsgrad: <strong>Total-statisches Druckverhältnis </strong>$$\Pi T=\frac{pt3}{p4}$$</p>
48
New cards

Idee & Unterschied „korrigierter“ und „reduzierter“ Kennzahlen.

korrigiert: auf genormte Umgebungsbedingungen umgerechnet für Unabhängigkeit von tatsächlicher Temperatur, Druck und Feuchte; z.b. korrigierte Drehzahl, Massenstrom, Volumenstrom → üblich für Verdichter

reduziert: zusätzlich zu korrigiert auch auf geometrische Größen normiert (z.b. Laufraddurchmesser), um verschiedene Baugrößen zu vergleichen; z.b. reduzierte Drehzahl, Massenstrom, Volumenstrom → üblich für Turbine

49
New cards

Verdichter- und Turbinenkennfeld skizzieren

Unterschied zw. Verdichter und Turbine hieraus verstehen

Verdichter: korrigierter Massenstrom auf x-Achse und Wirkungsgrad auf y-Achse; zu hoher Massenstrom durch Stopfgrenze, zu kleiner Massenstrom durch Pumpgrenze, max Massenstrom und Wirkungsgrad durch Drehzahlgrenze limitiert

Turbine: Wirkungsgrad auf x-Achse und reduzierter Massenstrom/ Durchsatz auf y-Achse; besserer Wirkungsgrad bei höherem Durchsatz aber asymptotisch bei 1,2; nach oben limitiert durch Stopfgrenze, nach unten durch Drehzahlgrenze

<p><strong>Verdichter</strong>: <strong>korrigierter Massenstrom</strong> auf x-Achse und <strong>Wirkungsgrad </strong>auf y-Achse; zu hoher Massenstrom durch <strong>Stopfgrenze</strong>, zu kleiner Massenstrom durch <strong>Pumpgrenze</strong>, max Massenstrom und Wirkungsgrad durch <strong>Drehzahlgrenze </strong>limitiert</p><p><strong>Turbine</strong>: <strong>Wirkungsgrad </strong>auf x-Achse und <strong>reduzierter Massenstrom/ Durchsatz</strong> auf y-Achse; besserer Wirkungsgrad bei höherem Durchsatz aber <strong>asymptotisch bei 1,2</strong>; nach oben limitiert durch <strong>Stopfgrenze</strong>, nach unten durch <strong>Drehzahlgrenze</strong></p>
50
New cards

Notwendigkeit einer Ladedruckregelung durch 2 Ansätze

Regelung der Turbinenleistung über 2 Ansätze

Wastegate (WG): Regelung des Turbinenmassenstroms; niedrige Kosten, hohes Abgastemp. Limit, stark abfallendes Wirkungsgradverhalten über Abgasmassenstrom (zunehmende Verschwendung)

Variable Turbinengeometrie (VTG): Regelung der spez. Enthalpieentnahme; breites Plateau von Wirkungsgradverhalten, hohe Kosten, niedriges Abgastemp. Limit

51
New cards

1D-Modellierung ATL

Strömungsmodell liefert u.a. momentane DruckverhältnisseThermodynamikmodelle von Verdichter und Turbine errechnen daraus neue Massenströme → werden wieder an Strömungsmodell weitergegeben

ATL-Mechanikmodell errechnet mittels instationärem Leistungsgleichgewicht die ATL-Drehzahl für Thermodynamikmodell & nächstes Mechanikmodell

<p><strong>Strömungsmodell </strong>liefert u.a. <strong>momentane Druckverhältnisse</strong> → <strong>Thermodynamikmodelle </strong>von Verdichter und Turbine errechnen daraus <strong>neue Massenströme</strong> → werden wieder an Strömungsmodell weitergegeben</p><p><strong>ATL-Mechanikmodell</strong> errechnet mittels i<strong>nstationärem Leistungsgleichgewicht</strong> die <strong>ATL-Drehzah</strong>l für Thermodynamikmodell &amp; nächstes Mechanikmodell</p>
52
New cards

Aufbereitung Heißgasprüfstandskennfelder: Problematik T4-Messung

Turbineneintrittstemperatur T4 kann nicht zuverlässig gemessen werden → Turbinenwirkungsgrad muss statt mit Turbinenleistung mit Verdichterleistung berechnet werden → enthält Reibungsverluste

53
New cards

3 Schritte der Aufbereitung von Heißgasprüfstandskennfelder

Reibungskorrektur: Ermittlung Wirkungsgrade mittels Reibleistungsmodell zur Korrektur von Lager- und Dichtungsreibung

Wärmestromkorrektur: Berücksichtigung von Wärmeaustausch zwischen heißem Abgas, Turbinengehäuse, Welle, Kompressor; Verluste von T3-T5 Temperaturdifferenz in Gehäuse & Kompressor

Extrapolation: Ergänzung von nicht gemessenen Kennfeldbereichen, z.b. sehr niedrige oder sehr hohe Drehzahlen/ Druckverhältnisse

54
New cards

Abgasturboaufladung mit mehreren ATL: Mehrstufig, parallel, sequentiell anzeichnen + Unterschiede

Mehrstufig: Hochdruck + Niederdruck-ATL hintereinander geschaltet, Bereitstellung hoher Druckverhältnisse (hoch aufgeladene Dieselmotoren)

Parallel: beide Lader gleichzeitig von versch. Zylinderbänken gespeist; einfache Steuerung, schnelles Ansprechverhalten (große Ottomotoren)/ schneller als 1 großer Lader für das gleiche Abgasvolumen

Sequentiell: 2 Lader unterschiedlicher Größe last- und drehzahlabhängig zuschalten, kaum Turboloch + Breite Massenstromspreizung, aber aufwändig und komplex (große Dieselmotoren)

55
New cards

Motorprozessrechnung: Zweige Simulation und Analyse

Simulation: Vorausberechnung von Verbrennung, Zylinderdruck, Verbrauch, Emissionen → wird in Motorenentwicklung benötigt (ökonomischer & ökologischer Aspekt) und um Realität besser zu begreifen

Analyse: Rückrechnung der Verbrennung aus gemessenem Zylinderdruckverlauf: Wann verbrennt wie viel Kraftstoff? → benötigt weil manche Größen nicht direkt messbar sind

<p><strong>Simulation</strong>: <strong>Vorausberechnung </strong>von <strong>Verbrennung, Zylinderdruck, Verbrauch, Emissionen</strong> → wird in Motorenentwicklung benötigt (ökonomischer &amp; ökologischer Aspekt) und um Realität besser zu begreifen</p><p><strong>Analyse</strong>: <strong>Rückrechnung </strong>der Verbrennung aus <strong>gemessenem Zylinderdruckverlauf</strong>: Wann verbrennt wie viel Kraftstoff? → benötigt weil manche Größen <strong>nicht direkt messbar</strong> sind</p>
56
New cards

Thermodyn. System Brennraum: Systemgrenze + Terme 1. HS

Brennraum ist System → Grenzen sind Zylinderwand, Kolben, Zylinderkopf, Ventile

Terme: Brennwärme (+), Ansaugenergie (+), Wandwärme (-), Abgasenergie (-), Volumenänderungsarbeit (-), Leckage (-)

<p><strong>Brennraum </strong>ist System → Grenzen sind Zylinderwand, Kolben, Zylinderkopf, Ventile</p><p>Terme: <strong>Brennwärme (+), Ansaugenergie (+), Wandwärme (-), Abgasenergie (-), Volumenänderungsarbeit (-), Leckage (-)</strong></p>
57
New cards

Besonderheit dR/dphi erklären können

R: spezifische Gaskonstante

dR/dphi = 0 wenn R als konstant angenommen wird, aber in realen Gasgemischen im Motor ändert sich die Zusammensetzung und molare Masse → R nicht mehr konstant und dR/dphi ≠ 0

hier trotzdem vereinfachend = 0

58
New cards

Numerische Lösung einer DGL mit dem Euler-Cauchy-Verfahren erklären

Lösung einer DGL mit einem bekannten Anfangspunkt + Bewegung in kleinen Schritten h vorwärts mit Tangentenapproximation

yn+1=yn+h\cdot f(xn,yn) mit y^{\prime}(x)=f(x,y)

kleine Schrittweiten sehr wichtig für Genauigkeit

<p>Lösung einer DGL mit einem bekannten Anfangspunkt + Bewegung in kleinen Schritten h vorwärts mit Tangentenapproximation</p><p>$$yn+1=yn+h\cdot f(xn,yn)$$ mit $$y^{\prime}(x)=f(x,y)$$ </p><p>kleine Schrittweiten sehr wichtig für Genauigkeit</p>
59
New cards

Grundidee/Unterschied Runge-Kutta-Verfahren zu Euler-Cauchy kennen

Nutze mehrere Steigungsabschätzungen innerhalb eines Schrittes, gewichte diese und bilde den Mittelwert → 4 Funktionsauswertungen pro Schritt → höhere Genauigkeit

k1 Steigung am Anfang berechnet wird verwendet um nächste Steigung k2 zu berechnen

60
New cards

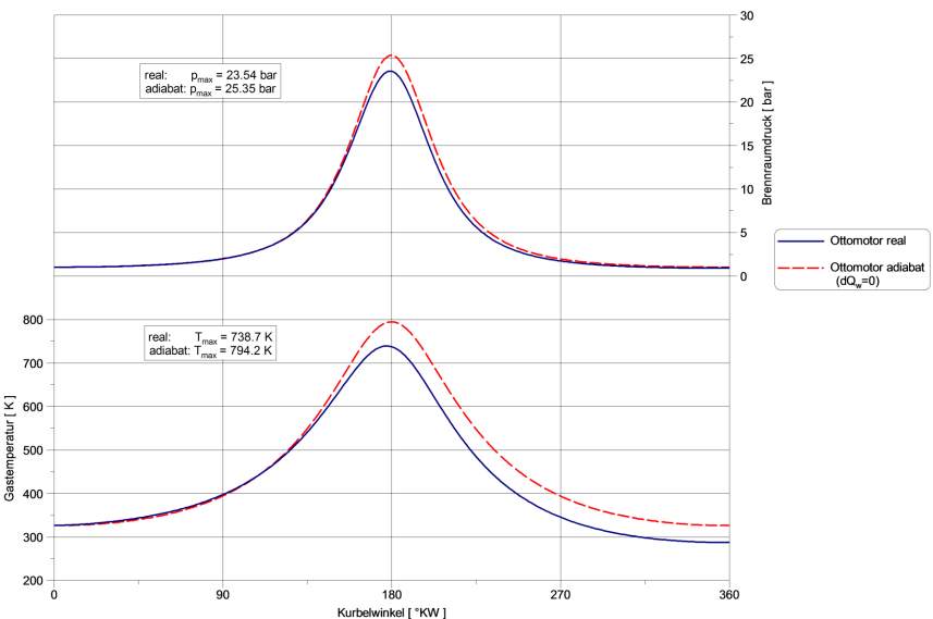
Thermodynamik geschleppter Motor: Kurvenverläufe interpretieren/erklären können

Brennraumdruck + Gastemperatur über Kurbelwinkel max bei OT durch Kompression

<p>Brennraumdruck + Gastemperatur über Kurbelwinkel max bei OT durch Kompression</p>
61
New cards

Wärmeaustauschmechanismen: laminar / turbulent / Strahlung + Bedeutung im Brennraum

Wärmeleitung bei laminarer Strömung: direkte Energieübertragung bei Kontakt → Wandwärmeverluste

Konvektion bei turbulenter Strömung: Wärmeübetragung durch Strömung eines Fluids kombiniert mit Wärmeleitung innerhalb des Fluids → Kühlung durch Luftstrom

Strahlung im wesentlichen zwischen Festkörpern: Wärmeübertragung durch elektromagnetische Wellen (infrarot) → glühende Flammengase auf Kolben, Ventile, Zylinderkopf

62
New cards

Newtonscher Wärmeübergangsansatz

Wärmestromdichte proportional zur Temperaturdifferenz und Oberfläche

63
New cards

Grundidee: Herleitung von alpha aus Ähnlichkeitstheorie von turbulenter Rohrströmung

Ähnlichkeitstheorie: Beschreibung komplexer Strömungs- und Wärmeübertragungsphänomene in Rohren mit dimensionslosen Kennzahlen: Reynolds-Zahl, Prandtl-Zahl, Nusselt-Zahl

Übertragung im Motorbrennraum mit Wärmeübergangskoeffizienten: \alpha=\frac{Nu\cdot\lambda}{d}

64
New cards

Begriffe Woschni/Bargende kennen

Woschni: praktische Vorhersage des momentanen Wärmeübertragungskoeffizienten \alpha(t) im Hubkolbenmotor aus der vom Druckverlauf abgeleiteten Gasgeschwindigkeit

Bargende: Verbesserung der Woschni-Gleichung um Transienten und lokale Unterschiede im Brennraum genauer zu erfassen durch Einführung eines instationären Modells für Gasgeschwindigkeit

65
New cards

Verläufe von dQw und Alpha über KW skizzieren können

siehe Bild

<p>siehe Bild</p>
66
New cards

Drehzahl und Last-Einfluss der Wandwärme

Lastabhängigkeit: Wandwärme steigt mit höherer Last

Drehzahlabhängigkeit: Wandwärme nimmt ab mit steigender Drehzahl

67
New cards

Wofür Druckverlaufsanalyse (DVA)?

Indizierung: Messung des Zylinderdrucks über dem Kurbelwinkel zur Bestimmung der Volumenänderungsarbeit mit Berechnungsziel Brennverlauf

<p><strong>Indizierung</strong>: Messung des Zylinderdrucks über dem Kurbelwinkel zur Bestimmung der <strong>Volumenänderungsarbeit </strong>mit <strong>Berechnungsziel Brennverlauf</strong></p>
68
New cards

Brennverlauf, Summenbrennverlauf, 50%-Umsatz/Schwerpunkt kennen

durchgehend: Brennverlauf; gestrichelt: Summenbrennverlauf; 50%-Umsatz bei 50% Massenanteil; Schwerpunkt: mittlere Lage der Verbrennung

Brennverlauf: Änderungsrate des verbrannten Kraftstoffs; Summenbrennverlauf: integrale Darstellung des Brennverlaufs → aufsummierter Massenanteil; 50%: Hälfte der Verbrennung abgeschlossen → 8-10° KW; Schwerpunkt: gewichtetes Mittel aller KW mit Wärmefreisetzung → kurz nach dem 50% Punkt

<p><strong>durchgehend</strong>: Brennverlauf; <strong>gestrichelt</strong>: Summenbrennverlauf; 50%-Umsatz bei <strong>50% Massenanteil</strong>; Schwerpunkt: <strong>mittlere Lage der Verbrennung</strong></p><p><strong>Brennverlauf</strong>: <strong>Änderungsrate </strong>des verbrannten Kraftstoffs; <strong>Summenbrennverlauf</strong>: <strong>integrale Darstellung</strong> des Brennverlaufs → aufsummierter Massenanteil; <strong>50%</strong>: Hälfte der Verbrennung abgeschlossen → <strong>8-10° KW</strong>; <strong>Schwerpunkt</strong>: <strong>gewichtetes Mittel</strong> aller KW mit Wärmefreisetzung → kurz nach dem 50% Punkt</p>
69
New cards

Notwendigkeit Nulllinienfindung + Methoden: Grob deren Funktion

Druckaufnehmer misst keinen absoluten Druck, sondern relativen Signalverlauf um elektrische Nulllinie; Drift des Sensors über Zeit verschiebt Nulllinie

korrigierter Verlauf = gemessener Verlauf ps + Nulllinienverschiebung \Delta pn

Methoden: Fixpunkt-, mittlerer Saugrohrdruck, thermodynamische Nulllinienfindung, gemessener Saugrohrdruck, Summenbrennverlaufskriterium

<p>Druckaufnehmer misst <strong>keinen absoluten Druck</strong>, sondern relativen <strong>Signalverlauf um elektrische Nulllinie</strong>; <strong>Drift</strong> des Sensors über Zeit verschiebt Nulllinie</p><p><strong>korrigierter Verlauf</strong> = gemessener Verlauf $$ps$$ + Nulllinienverschiebung $$\Delta pn$$ </p><p>Methoden: <strong>Fixpunkt</strong>-, <strong>mittlerer</strong> <strong>Saugrohrdruck</strong>, <strong>thermodynamische </strong>Nulllinienfindung, <strong>gemessener </strong>Saugrohrdruck, <strong>Summenbrennverlaufskriterium </strong></p>
70
New cards

Nulllinienfindung: Verständnis Einsatzzweck und Genauigkeit

siehe Bild

<p>siehe Bild</p>
71
New cards

Verständnis Thermodynamik … Otto … Einflüsse auf Brennverlauf (Warum ist das so und praktische Relevanz): AGR

Abgasrückführung: geringerer Brennverlauf bei höherer AGR

<p>Abgasrückführung: geringerer Brennverlauf bei höherer AGR</p>
72
New cards

Verständnis Thermodynamik … Otto … Einflüsse auf Brennverlauf (Warum ist das so und praktische Relevanz): Kolbenform

Omega- & Topfkolben haben größten Brennverlauf (gute Durchmischung durch Swirl), dann Linsenkolben (Squisch-Effekt durch Quetschflächen an der Seite), Flachkolben am geringsten (Flammenausbreitung von Kolben in der Mitte verhindert)

<p><strong>Omega</strong>- &amp; <strong>Topfkolben</strong> haben größten Brennverlauf (gute Durchmischung durch Swirl), dann <strong>Linsenkolben </strong>(Squisch-Effekt durch Quetschflächen an der Seite), <strong>Flachkolben </strong>am geringsten (Flammenausbreitung von Kolben in der Mitte verhindert)</p>
73
New cards

Verständnis Thermodynamik … Otto … Einflüsse auf Brennverlauf (Warum ist das so und praktische Relevanz): ZZP

Zündzeitpunkt: früher und stärkerer Brennverlauf mit früherem Zündzeitpunkt

<p>Zündzeitpunkt: <strong>früher und stärkerer Brennverlauf mit früherem </strong>Zündzeitpunkt</p>
74
New cards

Verständnis Thermodynamik … Otto … Einflüsse auf Brennverlauf (Warum ist das so und praktische Relevanz): Abmagerung

Lambda größer → mageres Gemisch → geringerer Brennverlauf

<p>Lambda größer → mageres Gemisch → geringerer Brennverlauf</p>
75
New cards

Grundverständnis Zyklenschwankung

Unterschiede im Brennverlauf je Arbeitsspiel trotz gleicher Bedingungen: Drehzahl, Last, Gemisch, Einspritzzeitpunkt

Grund: Gemischbildung (lokale Lambda-Schwankungen, Strömungsturbulenz); Zündung (minimale Variation ZZP & Entflammungsgeschw.); Einspritzung (Menge, Strahlausbreitung, orientierung); thermische Randbedingungen

76
New cards

Unterschied DVA & APR

DVA (Druckverlaufsanalyse): Messung Druckverlauf für Brennverlauf

APR (Arbeitsprozessrechnung): Messung Brennverlauf für Druckverlauf

<p><strong>DVA (Druckverlaufsanalyse)</strong>: Messung Druckverlauf <strong>für Brennverlauf</strong></p><p><strong>APR (Arbeitsprozessrechnung)</strong>: Messung Brennverlauf <strong>für Druckverlauf</strong></p>
77
New cards

APR am 1. HS erklären können

Einsatz von Brennverlaufsmodellen um Druckverlauf pz zu bestimmen

Daraus dann: innere Arbeit Wi, indizierter Mitteldruck pmi, indizierte Leistung Pi, indizierter Wirkungsgrad ni, indizierter spezifischer Verbrauch bi, Verbrennungsgeräusch LVG

<p>Einsatz von <strong>Brennverlaufsmodellen </strong>um <strong>Druckverlauf pz zu bestimmen</strong></p><p>Daraus dann: <strong>innere Arbei</strong>t Wi, <strong>indizierter Mitteldruck</strong> pmi, <strong>indizierte Leistung</strong> Pi, <strong>indizierter Wirkungsgrad</strong> ni, <strong>indizierter spezifischer Verbrauch</strong> bi, <strong>Verbrennungsgeräusch </strong>LVG</p>
78
New cards

Unterschied Ersatzbrennverlauf und Brennverlaufsmodell

Ersatzbrennverlauf: Ablauf der Verbrennung dQb/dphi als feste mathematische Funktion über °KW z.b. Dreiecks- oder Vibe-Funktion

Brennverlaufsmodell: versuchen wichtigen chem und phys Vorgänge stark vereinfacht abzubilden; Beschreibung wichtigster Phänomene

79
New cards

Wirkungsgradoptimale SWP mit Ersatzbrennverlauf: Zusammenhänge erklären können / Verschiebung der Verluste, Änderung Spitzendruck

SWP/SPL - Schwerpunkt der Verbrennung/ Wärmefreisetzung

variabel bei Dreiecks-Funktion: Flächeninhalt, Brennbeginn, Brenndauer, Lage des Maximums → Verbrennungsmaximum bestimmt Lage des Schwerpunkts (SWP/ SPL)

lange Brenndauer & späte SPL → höhere Wandwärmeverluste (Qw)

frühe SPLhoher Spitzendruck pmax (ähnlich für versch. Brenndauer), aber schnellere Abnahme mit späterer SPL

<p><strong>SWP/SPL</strong> - Schwerpunkt der Verbrennung/ Wärmefreisetzung</p><p>variabel bei Dreiecks-Funktion: Flächeninhalt, Brennbeginn, Brenndauer, <strong>Lage des Maximums → Verbrennungsmaximum bestimmt Lage des Schwerpunkts (SWP/ SPL)</strong></p><p><strong>lange Brenndauer &amp; späte SPL → </strong>höhere Wandwärmeverluste (Qw) </p><p><strong>frühe SPL</strong> → <strong>hoher Spitzendruck</strong> pmax (ähnlich für versch. Brenndauer), aber <strong>schnellere Abnahme mit späterer SPL</strong></p>
80
New cards

Drehzahl & Lastabhängigkeit der wirkungsgradoptimalen SWP-Lage

optimaler Bereich von 6 bis 10 °KW

höhere Drehzahl & Last → frühere SPL/SWP & kürzere Brenndauer (40 - 70 °KW lang)

<p><strong>optimaler Bereich von 6 bis 10 °KW</strong></p><p><strong>höhere Drehzahl &amp; Last → frühere SPL/SWP &amp; kürzere Brenndauer</strong> (40 - 70 °KW lang)</p>
81
New cards

Grundverständnis: 1-zonige vs 2-zonige Berechnung

1-zonig: homogener Zustand von p & T im Zylinder; von Verbrennung erfasstes Volumen VV proportional zur erfassten Masse mV; keine Aussage über Abgasentstehung & Wandwärmeverluste

2-zonig: Aufteilung in verbrannte (𝑇𝑉) und unverbrannte Zone (𝑇𝑈𝑉); p zu jedem Zeitpunkt ortsunabhängig, d.h. im Brennraum konstant; Kompression (𝜑𝐸𝑆 − 𝜑𝑉𝐵) 1-zonig, Verbrennung (𝜑𝑉𝐵 − 𝜑𝑉𝐸) 2-zonig, Expansion (𝜑𝑉𝐸 − 𝜑𝐴Ö) 1-zonig;

82
New cards

Quasidim. Brennverlaufsmodellierung Otto / Entrainment: Grundgleichung und relevante Einflüsse

3 Bereiche während Verbrennung: Unverbrannt (homogenes Luft-, Kraftstoff- und Restgasgemisch), Verbrannt (verbranntes Abgas), “Flammenzone” (Trennung der Zonen durch Flammenfront mit endlicher Dicke und zerklüfteter Struktur)

Einflüsse: Turbulenz, Brennraumgeometrie, Dichte & Druck, Lambda, ZZP

Entrainment: Flammenausbreitungsgeschwindigkeit aus laminar und turbulenter Geschwindigkeit mit Kalibrierungsfaktor

83
New cards

Quasidim. Brennverlaufsmodellierung Otto / Entrainment: relevante Einflüsse auf Lam. Flammengeschwindigkeit & ottomotorische Verbrennung ausführlicher

Lasteinfluss: hohe Last → kleinere laminare Flammengeschw. (sL)/ hohe Temp. & Druck → hohe sL

Lambda: max von sL bei ca. 0,9 → dann fallend je höher Lambda

Restgasgehalt (EGR): max von sL bei ca 0,9 → kleiner & mehr Richtung 1,0 bei höherer EGR

Kraftstoff: sL-Verlauf immer ähnlich (max bei 0,9 dann fallend); Methanol, Ethanol, Benzin, …

<p><strong>Lasteinfluss</strong>: hohe Last → kleinere laminare Flammengeschw. (sL)/ hohe Temp. &amp; Druck → hohe sL</p><p><strong>Lambda</strong>: max von sL bei ca. 0,9 → dann fallend je höher Lambda</p><p><strong>Restgasgehalt </strong>(EGR): max von sL bei ca 0,9 → kleiner &amp; mehr Richtung 1,0 bei höherer EGR</p><p><strong>Kraftstoff</strong>: sL-Verlauf immer ähnlich (max bei 0,9 dann fallend); Methanol, Ethanol, Benzin, …</p>
84
New cards

Quasidim. Brennverlaufsmodellierung Otto / Entrainment: Beschreibung der Flammenoberfläche

kugelförmige Ausbreitung von der Zündkerze in Brennraum

Turbulenzballen unterschiedlicher Größenordnungen in turbulenten Strömungsfeldern → sorgen für gefaltete Struktur der turbulenten Flamme

<p><strong>kugelförmige Ausbreitung</strong> von der Zündkerze in Brennraum</p><p><strong>Turbulenzballen </strong>unterschiedlicher Größenordnungen in <strong>turbulenten Strömungsfeldern</strong> → sorgen für <strong>gefaltete Struktur</strong> der turbulenten Flamme</p>
85
New cards

Quasidim. Brennverlaufsmodellierung Otto / Entrainment: Änderung des ottomot. Brennverlaufs durch relevante Einflussgrößen verstehen (Last- / Drehzahl, Restgasgehalt, Lambda, Zündzeitpunkt)

höhere Last → höherer Druck & Temp. → höhere Flammengeschw. → schnelle Verbrennung

höhere Drehzahl → stärkere Turbulenz → schnelle Entrainment-Geschw. ABER weniger Zeit pro °KW → längere Brenndauer in °KW, aber schneller in echt

Restgas wirkt verdünnend & kühlend → Flammengeschw. sinkt → längerer Zündverzug, flacher Hauptverlauf

Lambda: stöchiometrisch höchste Flammengeschw., fett → langsamer & mehr Ruß, mager → langsamer

ZZP: früh → Zündung näher an OT → höherer Druck, aber Klopfgefahr

<p>höhere <strong>Last </strong>→ höherer Druck &amp; Temp. → höhere Flammengeschw. → schnelle Verbrennung</p><p>höhere <strong>Drehzahl </strong>→ stärkere Turbulenz → schnelle Entrainment-Geschw. ABER weniger Zeit pro °KW → längere Brenndauer in °KW, aber schneller in echt</p><p><strong>Restgas </strong>wirkt verdünnend &amp; kühlend → Flammengeschw. sinkt → längerer Zündverzug, flacher Hauptverlauf</p><p><strong>Lambda</strong>: stöchiometrisch höchste Flammengeschw., fett → langsamer &amp; mehr Ruß, mager → langsamer</p><p><strong>ZZP</strong>: früh → Zündung näher an OT → höherer Druck, aber Klopfgefahr</p>
86
New cards

Volllastbegrenzung Ottomotor

weiche Grenze: Abgastemp., Klopfen, Zylinderspitzendruck

harte Grenze: Ladedruck/ Abgasgegendruck, max Anfettung, max zulässige SWP Lage

auslegbare Parameter: Hubraum, Aufladesystem, Nenndrehzahl, Verdichtungsverhältnis, Nockenform + VVT, Brennverfahren/ Turbulenz

<p><strong>weiche </strong>Grenze: Abgastemp., Klopfen, Zylinderspitzendruck</p><p><strong>harte </strong>Grenze: Ladedruck/ Abgasgegendruck, max Anfettung, max zulässige SWP Lage</p><p>auslegbare <strong>Parameter</strong>: Hubraum, Aufladesystem, Nenndrehzahl, Verdichtungsverhältnis, Nockenform + VVT, Brennverfahren/ Turbulenz</p>
87
New cards

Steuerzeiten Teillast: Ladungswechselverluste vs. gute Verbrennung

Abhängig von Drehzahl/ Getriebeübersetzung, Verdichtungsverhältnis, Reibung, Hybridisierung, alternative Brennverfahren

Steuerzeitenoptimierung Teillast: Entdrosselung durch internes AGR

Steuerzeitenoptimierung Volllast: Spülung durch Frischluft → Reduktion der Klopfneigung + Erhöhung der Gesamtmasse

88
New cards

Nockenkontur-Auslegung VL+TL

stets möglich geforderte Nennleistung darzustellenVentilhubkurve für Nennleistung ausgelegt, ausgehend davon Potential für Ventilhubumschaltung

89
New cards

Optimales Hub-Bohrungsverhältnis: Reibung vs. Verbrennung

große Bohrungen reduzieren Reibung, aber schlechtere Verbrennung

Fazit: Hub/Bohrungsverhältnis möglichst langhubig

<p>große Bohrungen <strong>reduzieren Reibung</strong>, aber <strong>schlechtere Verbrennung</strong></p><p>Fazit: Hub/Bohrungsverhältnis möglichst <strong>langhubig</strong></p>
90
New cards

Opt. Verdichtungsverhältnis: VL vs. TL

hohes Verdichtungsverhältnis optimiert therm. Wirkungsgrad, aber Klopfneigung steigt an

Fazit: generelle Verdichtungserhöhung bei Berücksichtigung von Realfahrzyklus nur bedingt sinnvoll

<p>hohes Verdichtungsverhältnis <strong>optimiert therm. Wirkungsgrad</strong>, aber <strong>Klopfneigung </strong>steigt an</p><p>Fazit: generelle <strong>Verdichtungserhöhung </strong>bei Berücksichtigung von Realfahrzyklus nur <strong>bedingt sinnvoll</strong></p>
91
New cards

Saugmotor vs. moderates Downsizing vs. extremes Downsizing. Einflüsse im Last-Drehzahl-Kennfeld. Warum änderst sich das Kennfeld in dieser Weise?

Last-Drehzahl-Kennfeld: Drehzahl in rpm auf x-Achse & BMEP in bar auf y-Achse (Last)

Sauger = 2.2L; moderat = 1 Turbo mit 1.6L; extrem = 2 Turbo mit 1.2L Motor

<p>Last-Drehzahl-Kennfeld: Drehzahl in rpm auf x-Achse &amp; BMEP in bar auf y-Achse (Last)</p><p>Sauger = 2.2L; moderat = 1 Turbo mit 1.6L; extrem = 2 Turbo mit 1.2L Motor</p>
92
New cards

Auslegung Getriebeabstufung in der Simulation. Warum notwendig? Warum zeigen unterschiedliche Konzepte unterschiedliches Transientverhalten. Methodik zur Ermittlung der Getriebeabstufung als Basis von Längsdynamiksimulationen

notwendig, da Turboloch Auswirkungen auf Verbrauch hat, Beschleunigungsoptimierung bei vergleichbaren oder besseren Motorbedingungen

zusätzlicher Einfluss von Luftspülung (Scavenging) durch variable Ventilsteuerung (VVT) auf Beschleunigung → bessere Beschl bei gleichem Brennverfahren und Klopfverhalten

Methodik: 1. Gang für Anfahrzugkraft, höchster Gang für vmax & Verbrauch; Zwischenstufen je nach Anforderungen und Geometrie

93
New cards

Wissen welche drei „Grundpfeiler“ für Motorensimulationen verwendet werden

reale Arbeitsprozessrechnung: Daten am Prüfstand messen (Druck, Luft-& Kraftstoffmassenstrom) → Energiegleichgewicht, Verbrennungsberechnung, Wandwärmestrom, …

1D-CFD Simulation: 0D/1D Diskretisierung mit einfachen Elementen → versch Motorstrategien analysieren, einzelne Komponenten optimieren

3D-CFD Simulation: feine Diskretisierung des Volumens → genaue Auswertung der Strömungen, aber nur kleiner Teil des Motors

94
New cards

Ablauf / Arbeitsschritte bei der Vernetzung von Motoren beschreiben und erklären

Geometrie (CAD): unnötige Bauteile entfernen, Volumen und Flächen erzeugen

Surface Mesh: Meshs in verschiedene Oberflächen legen, weil 3D Mesh als Extrusion daraus

Volume Mesh: Mesh in nicht beweglichen Volumen erzeugen (Brennraum, Ventile, Einlass, Auslass) → hexahedral

Meshmotion: Bewegung von Mesh in 4 Takten der Verbrennung einstellen (manuell/ mesh-file (Brennraum, Einspritzung, Einlass, Auslass, …))

Assembly: Zusammenfügen von allen Teilen

<p><strong>Geometrie </strong>(CAD): unnötige Bauteile entfernen, Volumen und Flächen erzeugen</p><p><strong>Surface Mes</strong>h: Meshs in verschiedene Oberflächen legen, weil 3D Mesh als Extrusion daraus</p><p><strong>Volume Mesh</strong>: Mesh in nicht beweglichen Volumen erzeugen (Brennraum, Ventile, Einlass, Auslass) → hexahedral</p><p><strong>Meshmotion</strong>: Bewegung von Mesh in 4 Takten der Verbrennung einstellen (manuell/ mesh-file (Brennraum, Einspritzung, Einlass, Auslass, …))</p><p><strong>Assembly</strong>: Zusammenfügen von allen Teilen </p>
95
New cards

Erklären welche optischen Messverfahren zur Spray Analyse es gibt und was damit damit gemessen wird

Mie Streuung: Zeitlupen-Video-Analyse; Messung von Kegelwinkel, axiale & radiale Penetration

Phasen-Doppler-Anamometrie (PDA): Messung von Geschw. und Größe der Tropfen durch ein bestimmtes Messvolumen → Position im Vergleich zu Ziel und Bedingungen → Kopplung zur Validierung von CFD

Schlieren-Messung (gasförmige Brennstoffe):

96
New cards

Inputgrößen für das Lagrange Einspritzmodell für flüssige Kraftstoffe nennen und den Begriff „Parcel“ erklären können

Spray-Richtung und Ausgangspunkt, Tröpchen-Geschw., Massenstrom, Durchmesser, Kraftstoff Dichte, Temperatur, Oberflächenspannung, Viskosität, krit. Temp., spez. Wärmekap., Verdampfungswärme, Sättigungsdruck, Parcel Anzahl

Parcel: Reduktion des Berechnungsaufwands, beinhaltet eine Gruppe von Tröpfchen mit gleichen Eigenschaften

97
New cards

Erhaltungsgleichungen zwischen den zwei Phasen (euler und lagrange) kennen und die Atomisierungsmechanismen zuordnen

Massenerhaltung: Verdunstung, Verdampfung

Impulserhaltung: Aerodynamische Effekte, Kollisionen

Energieerhaltung: Wärmeaustausch

98
New cards

Unterschiede Primary Breakup / Secondary Breakup

Primärzerfall: Bildung von Verbindungen & Tröpfchen aus kohärenter Flüssigkeitsphase an Düsenöffnung, auch interne Kavitation → nicht in Sprühkammer messbar

Sekundärzerfall: tritt weiter hinten auf vor allem durch aerodynamische Interaktionen zwischen Flüssigkeit und Gas → wichtige Informationen (Durchmesser (SMD), Geschw., Penetration) in Sprühkammer messbar

<p><strong>Primärzerfall</strong>: Bildung von Verbindungen &amp; Tröpfchen aus kohärenter Flüssigkeitsphase an Düsenöffnung, auch interne Kavitation → nicht in Sprühkammer messbar</p><p><strong>Sekundärzerfall</strong>: tritt weiter hinten auf vor allem durch aerodynamische Interaktionen zwischen Flüssigkeit und Gas → wichtige Informationen (Durchmesser (SMD), Geschw., Penetration) in Sprühkammer messbar</p>
99
New cards

Welche Größen beeinflussen den aerodynamischen Tropfenzerfall

Dichte des Umgebungsgases, Tröpfchen Durchmesser, relative Geschw., Oberflächenspannung

100
New cards

Modellierungsansätze für Gaseinblasung verstehen und Anforderungen an Netzfeinheit erklären können

detaillierter Injektor & Lagrange Injektor: entweder detaillierte Sim auch innerhalb von Düse, oder praktischer Anspruch mit hoher Flexibilität

Netzfeinheit: relevant für beide Injektorarten, feineres Mesh erlaubt höhere Auflösung → besser für Messung des Sprühwinkels

<p><strong>detaillierter Injektor &amp; Lagrange Injektor</strong>: entweder detaillierte Sim auch innerhalb von Düse, oder praktischer Anspruch mit hoher Flexibilität</p><p><strong>Netzfeinheit</strong>: relevant für beide Injektorarten, feineres Mesh erlaubt höhere Auflösung → besser für <strong>Messung des Sprühwinkels</strong></p>