1/8
Looks like no tags are added yet.
Name | Mastery | Learn | Test | Matching | Spaced |
|---|
No study sessions yet.

Label this diagram
a - paper rider
b - tuning fork
c - Newton balance
d - tension adjusting screw
e - bridge
f - sonometer
Demonstrate the method of this experiment • 1
Place paper rider on string
Strike tuning fork and place on bridge
Demonstrate the method of this experiment • 2
Turn screw to adjust tension until resonance occurs and paper rider falls off
Strings frequency matches the tuning forks
Demonstrate the method of this experiment • 3
Measure T from the Newton balance
Repeat with other tuning fork frequencies
Define the headings used to graph this experiment
y - f - Hz
x - T rooted - N1/2
Define 2 precautions that are associated with this experiment • 1
Keep rider at the centre - where the antinode is
Define 2 precautions that are associated with this experiment • 2
Kee string length constant by not moving bridge

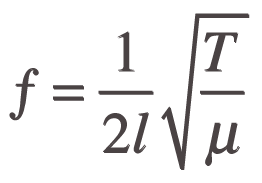
Label This Formula
Fundamental Frequency of Strings
f - fundamental frequency
l - length
T - tension
u - mass per unit length
What page of the log tables can you find the Fundamental Frequency formula?
59