1/111
Looks like no tags are added yet.
Name | Mastery | Learn | Test | Matching | Spaced |
|---|
No study sessions yet.

Product?


Reactant?


Reagents?


Description of reaction and mechanism
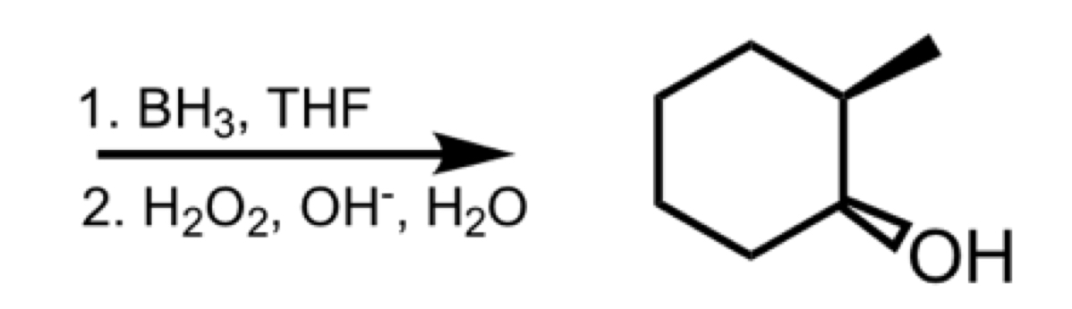
Mark addition of H and OH (no rearrangement)


Product?


Reactant?


Reagents?


Description of reaction and mechanism
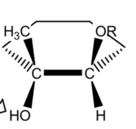
Mark addition of H and OR


Product?


Reactant?


Reagents?


Description of reaction and mechanism
Anti mark addition of OH (trans)

Product?


Reactant?


Reagents?


Description of reaction and mechanism
Anti mark addition of Br

Product?


Reactant?


Reagents?


Description of reaction and mechanism
Mark addition of Br

Product?


Reactant?


Reagents?


Description of reaction and mechanism
Addition of Br2 (trans)

Product?


Reactant?


Reagents?


Description of reaction and mechanism
Oxidation of alkene to an epoxide

Product?


Reactant?


Reagents?


Description of reaction and mechanism
Anti Mark epoxide ring opening (basic conditions) (trans sides)

Product?


Reactant?


Reagents?


Description of reaction and mechanism
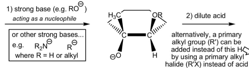
Mark epoxide ring opening (acidic conditions) (trans sides)

Product?


Reactant?


Reagents?


Description of reaction and mechanism
Mark addition of Br (less stable C) and OR (more stable C) trans with bromonium bridge forming in between

Product?


Reactant?


Reagents?


Description of reaction and mechanism
Formation of a cyclopropane

Product?


Reactant?


Reagents?


Description of reaction and mechanism
Cis addition of 2 H’s

Product?


Reactant?


Reagents?


Description of reaction and mechanism
Addition of 2 H’s per pi bond

Product?


Reactant?


Reagents?


Description of reaction and mechanism
Addition of 2 H’s to a pi bond CIS

Product?


Reactant?


Reagents?


Description of reaction and mechanism
Addition of 2 H’s to a pi bond TRANS

Product?


Reactant?


Reagents?


Description of reaction and mechanism
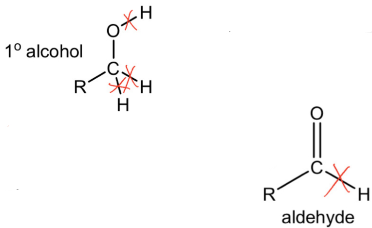
1 degree alcohol to aldehyde

Product?


Reactant?


Reagents?


Description of reaction and mechanism
2 degree alcohol to ketone

Product?


Reactant?


Reagents?


Description of reaction and mechanism
1 degree alcohol or aldehyde to carboxylic acid

Product?


Reactant?


Reagents?


Description of reaction and mechanism
Addition of 2 OH groups to a pi bond (CIS)

Product?


Reactant?


Reagents?


Description of reaction and mechanism
Splitting of pi bond (each replaced with double bond to O)

Product?


Reactant?


Reagents?


Description of reaction and mechanism
Splitting of pi bond (each replaced with double bond to O) (H becomes an OH)

Product?


Reactant?


Reagents?


Description of reaction and mechanism
Mark addition of H and X

Product?


Reactant?


Reagents?


Description of reaction and mechanism
Addition of X2 (trans product)

Product?


Reactant?


Reagents?


Description of reaction and mechanism
enol to keto via tautomerization

Product?


Reactant?


Reagents?


Description of reaction and mechanism
Mark addition of H2O to an alkyne