 Call Kai
Call Kai Learn
Learn Practice Test
Practice Test Spaced Repetition
Spaced Repetition Match
Match1/10
Ch. 27 Electromagnetic Induction and Waves
| Name | Mastery | Learn | Test | Matching | Spaced | 
|---|
No study sessions yet.

Max voltage difference between to ends of the magnetic bar





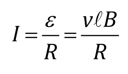
induced emf (epsilon)
induced emf = the absolute value of the change in magnetic flux over the change in time


E induced


B induced


speed of electromagnetic wave (c)


intensity of a wave a distance r from an isotropic source
Psource = power of the source
4pir² is the surface area of a sphere


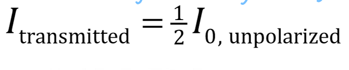
intensity of unpolarized light transmitted through a single polarizer


intensity of polarized light transmitted through a second polarizer


wavelength at peak intensity (lambda peak)
the wavelength at peak intensity is inversely proportional to temperature
