1/128
Looks like no tags are added yet.
Name | Mastery | Learn | Test | Matching | Spaced | Call with Kai |
|---|
No analytics yet
Send a link to your students to track their progress
sin2x =
2sinxcosx
Pythagorean Identities

sin(-x) =
-sinx
sin (A ± B)
sin (A + B) = sinAcosB + cosAsinB
sin (A - B) = sinAcosB - cosAsinB
Law of Cosines
a² = b² + c² - 2bc⋅cosA
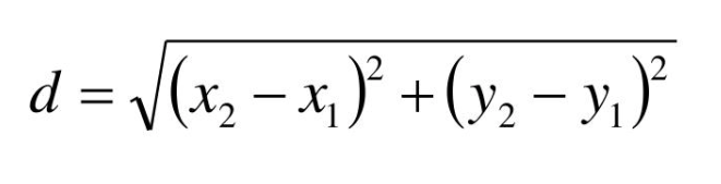
Distance Between 2 Points

Midpoint Formula

Laws of Logarithms — ln(ab) =
ln(a) + ln(b)
Laws of Logarithms — ln(0) =
undefined
Laws of Logarithms — ln(a/b) =
ln(a) - ln(b)
Laws of Logarithms — ln(1) =
0
Laws of Logarithms — ln(an) =
(n)ln(a)
Laws of Logarithms — ln(e) =
1
Laws of Logarithms — ln(1/a) =
-ln(a)
Definition of a Limit

Limit Laws—limx→a(f ± g) =
limx→a (f) ± limx→a (g)
Definition of Continuity at a Point

Intermediate Value Theorem Conditions
If:
f is continuous on a closed interval [a,b]
f(a) does NOT equal f(b) —→ start point doesn’t equal end point
k is between f(a) and f(b)
Then there exists a number c between a and b for which f(c) = k
Definition of |x|

Squeeze Theorem

cos²x =

sinAcosB =

Definition of VA

Definition of HA

Average Rate of Change (AROC)
the slope of the secant line between 2 points

Common limits—limx→-∞ ex =
0
Common limits—limx→∞ ex →
∞
Common Limits—limx→0+ ln(x) →
-∞
Common limits—limx→∞ ln(x) →
∞
Common limits—limx→0 (ex - 1) / x =
1
Common limits—limx→0 sin(x)/x =
1
Common limits—limx→0 1-cos(x)/x =
0
Common limits—limx→a x =
a
Common limits—limx→+-∞ (1 + (c/x))x =
ec
graph of 1/x

graph of arctan(x)

Definition of the derivative
will give an equation

Alternate form of definition of the derivative
will give a number

Normal Line
the line perpendicular to the tangent line at the point of tangency

3 reasons a function (f) won’t be differentiable at a point x = a
f is not continuous at x = a
the graph of f has a “corner” or a “cusp” at x = a
the graph of f has a vertical tangent at x = a
d/dx (ex) =
ex
d/dx (lnx) =
1/x
d/dx (logax) =

d/dx (ax) =
axln(a)
d/dx (constant) =
0
d/dx ( constant ⋅ f) =
constant ⋅ f’
d/dx (f±g) =
f’ ± g’
What does the maximum or minimum values refer to?
Refer to the y-value
s(t) =
position
v(t) =
instantaneous velocity — can be found by finding the derivative of the position function s’(t)
abs(v(t)) =
Speed — simply the absolute value of velocity
a(t) =
Acceleration — find 2nd derivative of position function s’’(t)
d/dx [f(x)g(x)]
f’g + fg’
d/dx [f(x)/g(x)]

d/dx (sinx) =
cosx
d/dx (cosx) =
-sinx
d/dx (tanx) =
sec² x
d/dx (cotx) =
-csc² x
cos2x =
cos²x - sin²x
2cos²x -1
1 - 2sin²x
d/dx (cscx) =
-cscx ⋅ cotx
d/dx (secx) =
secx ⋅ tanx
cos (A ± B)
cos (A + B) = cosAcosB - sinAsinB
cos (A - B) = cosAcosB + sinAsinB
Limit Laws—limx→a (c ⋅ f) =
c ⋅ limx→a (f)
Limit Laws—limx→a (f/g) =
limx→a (f)/limx→a (g)
Limit Laws—limx→a (fg) =
limx→a (f) ⋅ limx→a (g)
Limit Laws—limx→a (n√f(x) )=

Limit Laws—limx→a (f(g(x)) =
f(limx→a (g(x)))
Limit Laws—limx→a (k) =
k
Limit Laws—limx→a (x) =
a
cosAsinB =

sinAsinB =

cosAcosB =

cos(-x) =
cosx
tan(-x) =
-tanx
sin²x =

Particle is at rest when . . .
v(t) = 0
speed is increasing if:
v and a have the same sign
speed is decreasing if:
v and a have opposite signs
Linear approximation
y - y1 = m (x - x1)
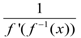
d/dx [f-1(x)] =

d/dx (sin-1x) =

d/dx (cos-1x) =

d/dx (tan-1x) =

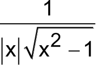
d/dx (csc-1x) =

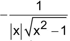
d/dx (sec-1x) =

d/dx (cot-1x) =

L’Hopitals Rule

Extreme Value Theorem
If cont. [a,b]
Then f has an absolute max and min on [a,b]
Stationary point
f’(c) = 0
Singular point
f’(c) is undefined
Rolle’s Theorem
If:
1. f is cont. on []
Differentiable on ()
f(a) = f(b)
Then:
- there is at least one number c on () such that f’(c) = 0
Mean Value Theorem
If:
1. f is cont. []
Differentiable on ()
Then:
- there exists a number c between a and b such that f’(c) = (f(b) - f(a)) / b - a
Test for increasing and decreasing
f’ > 0 means f is increasing
f’ < 0 means f is decreasing
relative extrema must occur at . . .
must occur at critical points
1st derivative test for relative extrema
f(c) MUST exist
If f’ changes from + to -, then f is a relative max
If f’ changes from - to +, then f is a relative min
If f’ does NOT change signs, neither max nor min
definition of a point of inflection
a point of the graph f where the concavity of f change
Test for inflection point:
a function has an inflection point at (c, f(c)) iff f’’ changes sign from positive to negative or negative to positive @ x=c
2nd derivative test for relative extrema
given f’(c)=0, then:
1. if f’’(c) < 0 then there’s a max
2. if f’’(c) > 0 then there’s a min
3. if f’’(c) = 0 then the test fails
∫ xndu =

∫ dx =
x + C