ORGO 2, Test 2 Things I don't know

0.0(0)
studied byStudied by 0 people
0.0(0)
full-widthCall with Kai
GameKnowt Play
New
learnLearn
examPractice Test
spaced repetitionSpaced Repetition
heart puzzleMatch
flashcardsFlashcards
Card Sorting

1/37

encourage image

There's no tags or description

Looks like no tags are added yet.

Study Analytics
Name
Mastery
Learn
Test
Matching
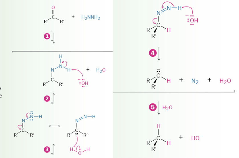
Spaced

No study sessions yet.

38 Terms

1
New cards

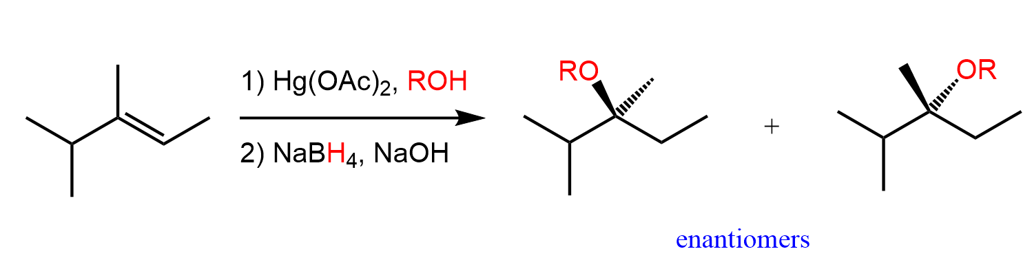
CH 18: Alkoxymercuration/demercuration for addition of ROH

2
New cards

Concerted:

Pericyclic:

Sigmatropic:

  • Concerted – all bond breaking happens at same time (diels alder)

  • Pericyclic – transition state involves cyclic redistribution

  • Sigmatropic – sigma bonds migrate across pi system ex: Claisen

3
New cards

alkene with peroxyacid

4
New cards

Vicinal halohydrin in base to form epoxide (alkene)

5
New cards

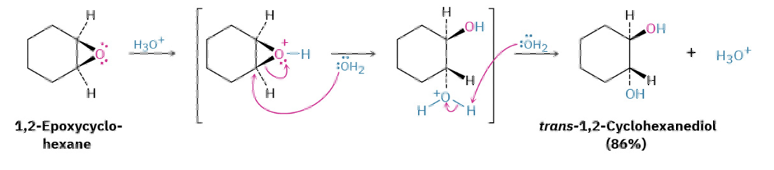
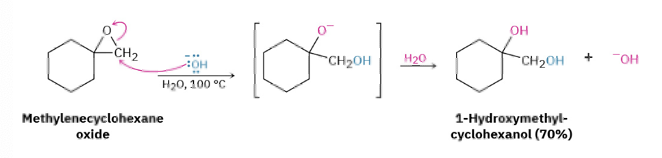
Ring opening for epoxide with Acid vs Base

6
New cards

Sythesis of thiols by alkylation and hydrolysis of thiourea (halide)

7
New cards

Oxidation of thiols to disulfides and reverse reaction

8
New cards

sythesis of aldehydes from primary alcohols

PCC, PDC, DMP

9
New cards

Syhthesis of ketone from alkene

O3

10
New cards

Synthesis of aldehyde from ester

DIBAL orrrr,1)LiAl4 2) H2O —> [O]

11
New cards

Ketones by alkyne

12
New cards

Ketone synthesis by organocooperate

13
New cards

Synth Ketones by oxidation of secondary alc

14
New cards

(Not mechanism) oxidation aldehyde

15
New cards

What are:

  • imines

  • cyanohydrins

  • enamines

  • hydrates

  • hemiacetals

  • acetals

  • hydrazones

  • oximes

  • phorphorus ylids

  • R=NR

  • OHRCN

  • R=CNR2

  • R(OH)2

  • R(OH)(OR)

  • R(OR)2

  • R=NNH2

  • R=NOH

  • PPh3

16
New cards

structure and mech of addition HCN to aldehyde or ketone

17
New cards

prod and mech formation of imines

18
New cards

Hydrazine with ketone

19
New cards

Phenylhydrazine in acid

20
New cards

Semicarbazide synthesis

21
New cards

Formation of enamines

22
New cards

hydroxylamine with ketone/ald

23
New cards

Wolff Kishner reduction

24
New cards

Acid catalyzed formation acetals

25
New cards

Conversion acetals to ketone or ald

26
New cards

Acetals with protecting groups

27
New cards

Wittig reaction

28
New cards

1,4 reacting nucleophiles

Amines (NH2)

CN-

RS-

Enolates (- charge O + C that resonate)

Orgaocuperates

enamines (—NH—)

29
New cards

1,2 reacting nucleophiles

Organolithium, Grignard reagents, organosodium, NaBH4, and LiAlH4 add to the C=O

30
New cards

PKa alcohol, phenol, carbox acid

16, 10, 5

31
New cards

Oxidation of aldehydes

Na2Cr2O7/H2SO4, KMnO4, CrO4, Tollens’ (Ag), Benedict Reagent (Cu) specifically for aldehyde to carboxylic acid, won’t do oxygen

32
New cards

Oxidation of benzylic CH groups (

33
New cards

Formation carbox acid with grinyard or organosoduum (mechanism too)

34
New cards

catalyzed hydrolysis of nitrile (mechansim too) (basic and acidic)

35
New cards

Products and reagents dehydration of amides

36
New cards

Provide products, missing reagents, or a mechanism for the dehydration of primary amides

37
New cards

Provide products and a mechanism for the reaction of a nitrile with a Grignard

follow by aq acidic workup

38
New cards

Provide products and a mechanism for the reduction of nitriles

primary amine with addition LiAlH4