1/11
Looks like no tags are added yet.
Name | Mastery | Learn | Test | Matching | Spaced | Call with Kai |
|---|
No study sessions yet.

Label This Diagram
Electric Field Strength
a - high voltage source
b - metal plates
c - semolina
d - oil

Demonstrate Electric Fields • 1
Metal plates in oil
Connect high voltage source to metal plates

Demonstrate Electric Fields • 2
Semolina line up in the
direction of the field
Shows electric field pattern
Define Coulomb's Law
The force of attraction or repulsion between two charges is
proportional to their charges
inversely proportional to the square of the distance between them

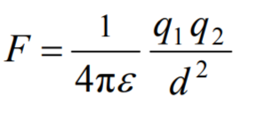
Label This Formula
Coulomb's Law
F - force
E - Permittivity
d - distance
q1 - charge of object 1
q2 - charge of object 2
What page of the log tables can you find the value of Permittivity?
47
What page of the log tables can you find the value of electronic charge (Q1)?
46
What page of the log tables can you find the Coulumbs Law Formula?
61
Define Electric Field Strength (E)
Electric Field Strength at a point is the force per unit charge at that point
State the SI Unit for Electric Field Strength
NC-1

Label This Formula
Electric Field Strength
E - Electric field strength
F - force
q - charge
What page of the log tables can you find the Electric Field Strength Formula?
61