DAT Bootcamp - Organic Chemistry Reactions

0.0(0)
studied byStudied by 1 person
full-widthCall with Kai
GameKnowt Play
learnLearn
examPractice Test
spaced repetitionSpaced Repetition
heart puzzleMatch
flashcardsFlashcards
Card Sorting

1/168

encourage image

There's no tags or description

Looks like no tags are added yet.

Study Analytics
Name
Mastery
Learn
Test
Matching
Spaced

No study sessions yet.

169 Terms

1
New cards

Hydrohalogenation of Alkene

knowt flashcard image
2
New cards

Halogenation of Alkene

knowt flashcard image
3
New cards

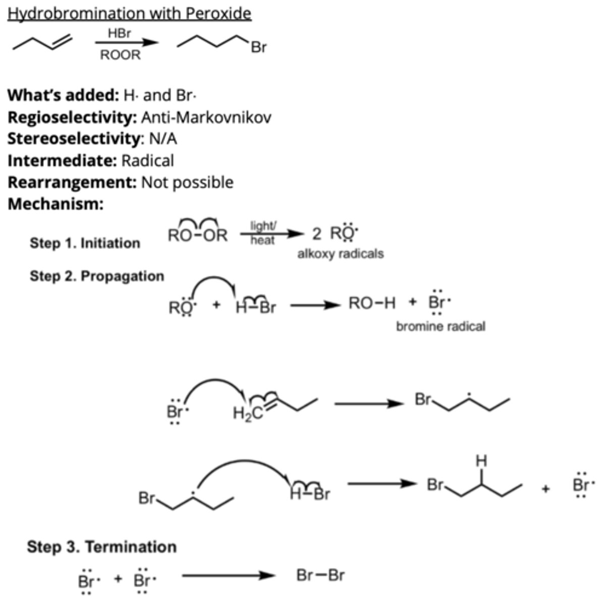
Hydrobromination of Alkene with Peroxide

knowt flashcard image
4
New cards

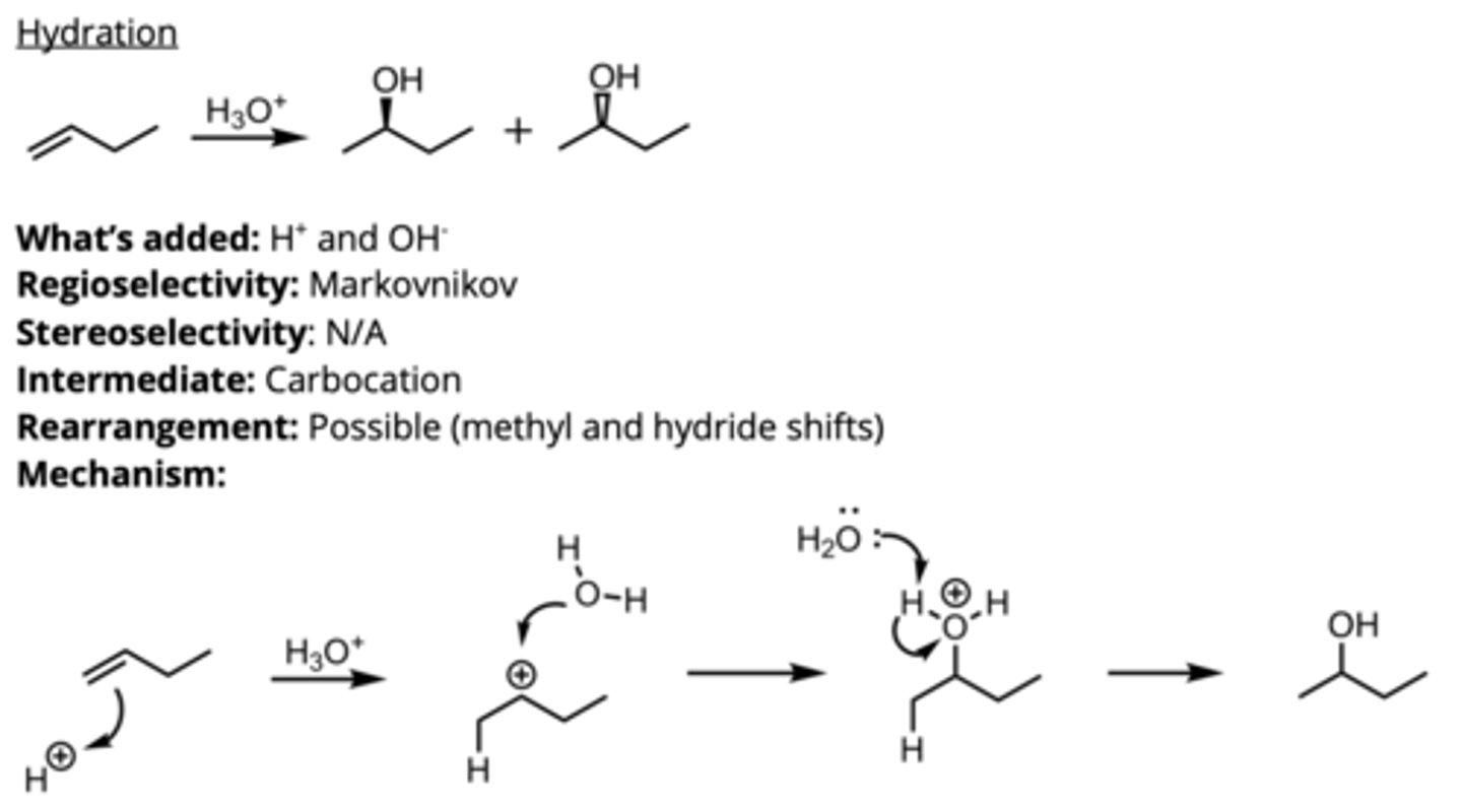
Hydration of Alkene

knowt flashcard image
5
New cards

Bromination of Alkene in H2O

knowt flashcard image
6
New cards

Oxymercuration-Demercuration of Alkene

knowt flashcard image
7
New cards

Hydroboration-Oxidation of Alkene

knowt flashcard image
8
New cards

Syn-Dihydroxylation of Alkene

knowt flashcard image
9
New cards

Anti-Dihydroxylation of Alkene

knowt flashcard image
10
New cards

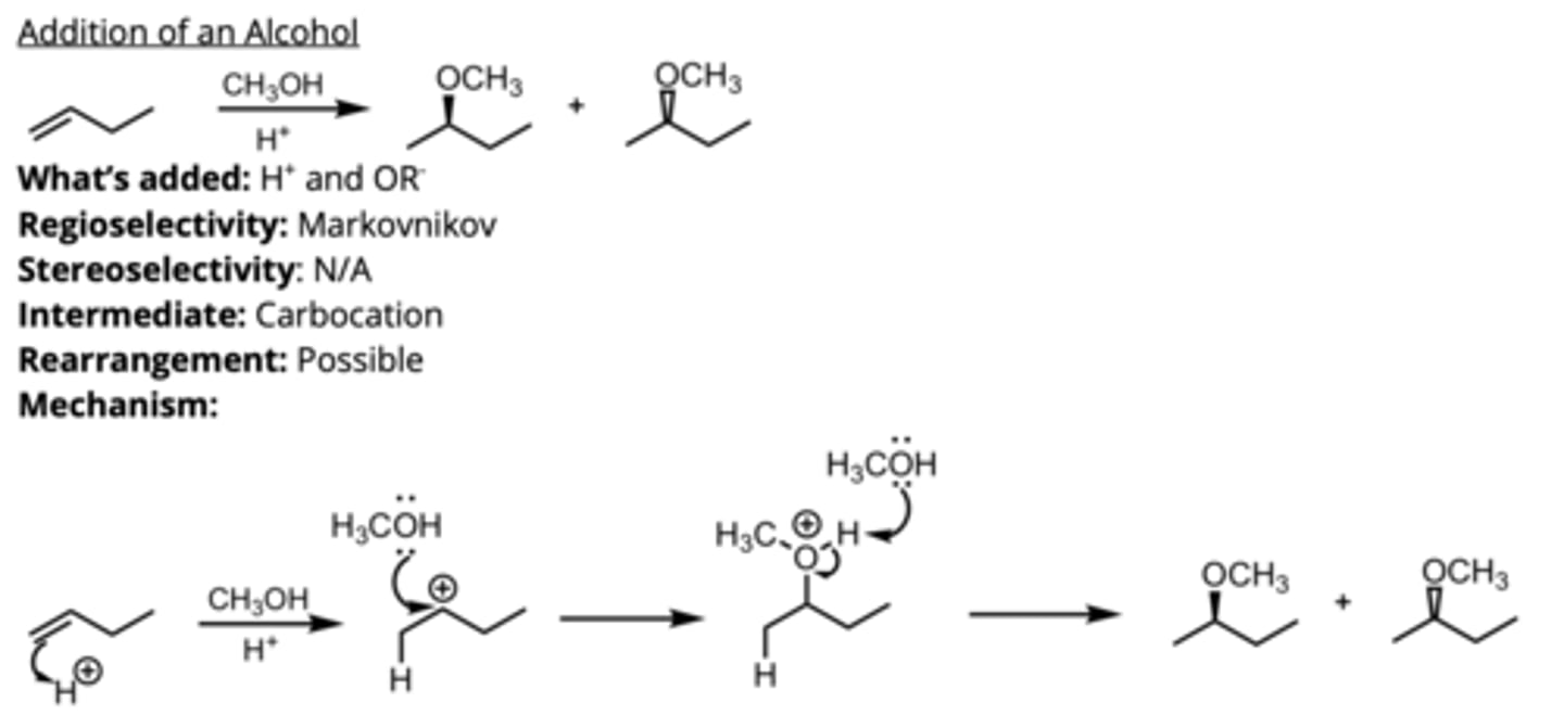
Addition of an Alcohol to Alkene

knowt flashcard image
11
New cards

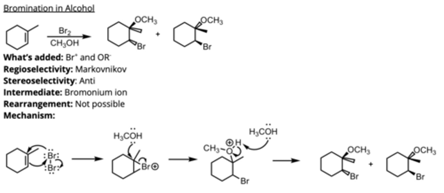
Bromination of Alkene in Alcohol

knowt flashcard image
12
New cards

Alkoxymercuration-Demercuration of Alkene

knowt flashcard image
13
New cards

Epoxidation of Alkene

knowt flashcard image
14
New cards

Catalytic Hydrogenation of Alkene

knowt flashcard image
15
New cards

Ozonolysis of Alkene in Reducing Conditions

knowt flashcard image
16
New cards

Ozonolysis of Alkene in Oxidizing Conditions/Oxidative Cleavage

knowt flashcard image
17
New cards

Catalytic Hydrogenation of Alkyne

knowt flashcard image
18
New cards

Reduction of Alkyne to Cis-Alkene

knowt flashcard image
19
New cards

Reduction of Alkyne to Trans-Alkene

knowt flashcard image
20
New cards

Hydrohalogenation of Terminal Alkyne with HBr

knowt flashcard image
21
New cards

Hydrohalogenation ok Internal Alkyne with HBr (Internal Alkyne)

knowt flashcard image
22
New cards

Halogenation of Alkyne with Br2

knowt flashcard image
23
New cards

Hydration of an Internal Alkyne

knowt flashcard image
24
New cards

Hydration of a Terminal Alkyne (Markovnikov)

knowt flashcard image
25
New cards

Hydration of a Terminal Alkyne (Anti-Markovnikov)

knowt flashcard image
26
New cards

SN2 Addition of an Acetylide Ion to an Alkyl Halide

knowt flashcard image
27
New cards

Addition of an Acetylide Ion to a Ketone

knowt flashcard image
28
New cards

SN2 Addition of an Acetylide Ion to an Epoxide

knowt flashcard image
29
New cards

Ozonolysis/Oxidative Cleavage on an Internal Alkyne

knowt flashcard image
30
New cards

Ozonolysis/Oxidative Cleavage on a Terminal Alkyne

knowt flashcard image
31
New cards

Free Radical Halogenation using Bromine (more selective)

knowt flashcard image
32
New cards

Free Radical Halogenation using Chlorine (less selective)

knowt flashcard image
33
New cards

Allylic/Benzylic Bromination

knowt flashcard image
34
New cards

Addition of a Grignard Reagent to an Aldehyde/Ketone

knowt flashcard image
35
New cards

Addition of a Grignard Reagent to an Ester/Acyl Chloride

knowt flashcard image
36
New cards

Fischer Esterification

knowt flashcard image
37
New cards

Alkene Hydrohalogenation

knowt flashcard image
38
New cards

Alkene Halogenation

knowt flashcard image
39
New cards

Alkene Hydrobromination with Peroxide

knowt flashcard image
40
New cards

Alkene Hydration

knowt flashcard image
41
New cards

Alkene Bromination in H2O

knowt flashcard image
42
New cards

Alkene Oxymercuration-Demurcuration

knowt flashcard image
43
New cards

Alkene Hydroboration- Oxidation

knowt flashcard image
44
New cards

Alkene Syn-Dihydroxylation

knowt flashcard image
45
New cards

Alkene Anti-Dihydroxylation

knowt flashcard image
46
New cards

Alkene Addition of an Alcohol

knowt flashcard image
47
New cards

Alkene Bromination in Alcohol

knowt flashcard image
48
New cards

Alkene Alkoxymercuration- Demurcuration

knowt flashcard image
49
New cards

Alkene Epoxidation

knowt flashcard image
50
New cards

Alkene Catalytic Hydrogenation

knowt flashcard image
51
New cards

Alkene Ozonolysis (Reducing Conditions)

knowt flashcard image
52
New cards

Alkene Ozonolysis (Oxidizing Conditions)/Oxidative Cleavage

knowt flashcard image
53
New cards

Alkyne Catalytic Hydrogenation (Catalytic Reduction)

knowt flashcard image
54
New cards

Alkyne Reduction to cis-Alkene

knowt flashcard image
55
New cards

Alkyne Reduction to Trans- Alkene

knowt flashcard image
56
New cards

Alkyne Hydrohalogenation with HBr (Terminal Alkyne)

knowt flashcard image
57
New cards

Alkyne Hydrohalogenation with HBr (Internal Alkyne)

knowt flashcard image
58
New cards

Alkyne Halogenation with Br2

knowt flashcard image
59
New cards

Hydration of an Internal Alkyne

knowt flashcard image
60
New cards

Hydration of a Terminal Alkyne (Markovnikov)

knowt flashcard image
61
New cards

Hydration of a Terminal Alkyne (Anti-Markovnikov)

knowt flashcard image
62
New cards

SN2 Addition of an Acetylide Ion to an Alkyl Halide

knowt flashcard image
63
New cards

SN2 Addition of an Acetylide Ion to a Ketone

knowt flashcard image
64
New cards

SN2 Addition of an Acetylide Ion to an Epoxide

knowt flashcard image
65
New cards

Ozonolysis/Oxidative Cleavage on an Internal Alkyne

knowt flashcard image
66
New cards

Ozonolysis/Oxidative Cleavage on a Terminal Alkyne

knowt flashcard image
67
New cards

Free Radical Halogenation using Bromine (more selective)

knowt flashcard image
68
New cards

Free Radical Halogenation using Chlorine (less selective)

knowt flashcard image
69
New cards

Allylic/Benzylic Bromination

knowt flashcard image
70
New cards

Diene Addition to a Dienophile (Alkene)

knowt flashcard image
71
New cards

Diene Addition to a Dienophile (Alkyne)

knowt flashcard image
72
New cards

Diene Addition to a cis Dienophile

knowt flashcard image
73
New cards

Diene Addition to a trans Dienophile

knowt flashcard image
74
New cards

Diene Addition to a substituted Dienophile

knowt flashcard image
75
New cards

Addition of a Grignard Reagent to an Aldehyde

knowt flashcard image
76
New cards

Addition of a Grignard Reagent to a Ketone

knowt flashcard image
77
New cards

Addition of a Grignard Reagent to an Ester

knowt flashcard image
78
New cards

Addition of a Grignard Reagent to an Acyl Chloride

knowt flashcard image
79
New cards

Addition of a Grignard Reagent to CO2

knowt flashcard image
80
New cards

Addition of a Grignard Reagent to an Epoxide (adds to the less subs. side)

knowt flashcard image
81
New cards

Addition of a Grignard Reagent to a Carboxylic Acid

knowt flashcard image
82
New cards

Addition of a Grignard Reagent to an Amide

knowt flashcard image
83
New cards

Addition of a Grignard Reagent to a Nitrile

knowt flashcard image
84
New cards

EAS Friedel-Crafts Alkylation (Rearrangement Possible)

knowt flashcard image
85
New cards

EAS Friedel-Crafts Acylation (No Rearrangement Possible)

knowt flashcard image
86
New cards

EAS Bromination

knowt flashcard image
87
New cards

EAS Chlorination

knowt flashcard image
88
New cards

EAS Nitration

knowt flashcard image
89
New cards

EAS Sulfonation

knowt flashcard image
90
New cards

EAS Formylation

knowt flashcard image
91
New cards

EAS with an ortho/para- directing group on Benzene

knowt flashcard image
92
New cards

EAS with a meta-directing group on Benzene

knowt flashcard image
93
New cards

Friedel-Crafts Alkylation/Acylation with a meta-directing group or an amine on Benzene

knowt flashcard image
94
New cards

Side-Chain Oxidation of Benzene to form Benzoic Acid

knowt flashcard image
95
New cards

Wolff-Kishner Reduction

knowt flashcard image
96
New cards

Clemmensen Reduction

knowt flashcard image
97
New cards

Acetylation of Aniline using Acetic Anhydride

knowt flashcard image
98
New cards

Diazonium Salt Reactions

knowt flashcard image
99
New cards

Reduction of an Aldehyde to a 1 ̊Alcohol

knowt flashcard image
100
New cards

Reduction of a Ketone to a 2 ̊Alcohol

knowt flashcard image