Chemistry Exam 1; Hydrocarbons-Alkanes, Alkenes, Alkynes, Aromatics

0.0(0)
studied byStudied by 0 people
full-widthCall with Kai
GameKnowt Play
learnLearn
examPractice Test
spaced repetitionSpaced Repetition
heart puzzleMatch
flashcardsFlashcards
Card Sorting

1/48

encourage image

There's no tags or description

Looks like no tags are added yet.

Study Analytics
Name
Mastery
Learn
Test
Matching
Spaced

No study sessions yet.

49 Terms

1
New cards

Alkene's have ______ bonds.

double

2
New cards

Alkene's end in ______.

-ene

3
New cards

Alkenes are a _______ hydrocarbon.

unsaturated

4
New cards

Unsaturated Hydrocarbons

Chains of hydrogen and carbon without all single bonds.

5
New cards

Alkene formula

CnH(2n-2)

6
New cards

Physical Properties of Alkenes

1. Insoluble in water

2. Soluble in nonpolar solvents

3. Lower density than water

4. Lower melting point than Alkanes

7
New cards

The two common alkenes;

Propylene(propene) and Ethylene(ethene)

8
New cards

Ethylene (ethene)

C2H4, Ch2=Ch2.

Ripens fruit faster.

<p>C2H4, Ch2=Ch2.</p><p>Ripens fruit faster.</p>
9
New cards

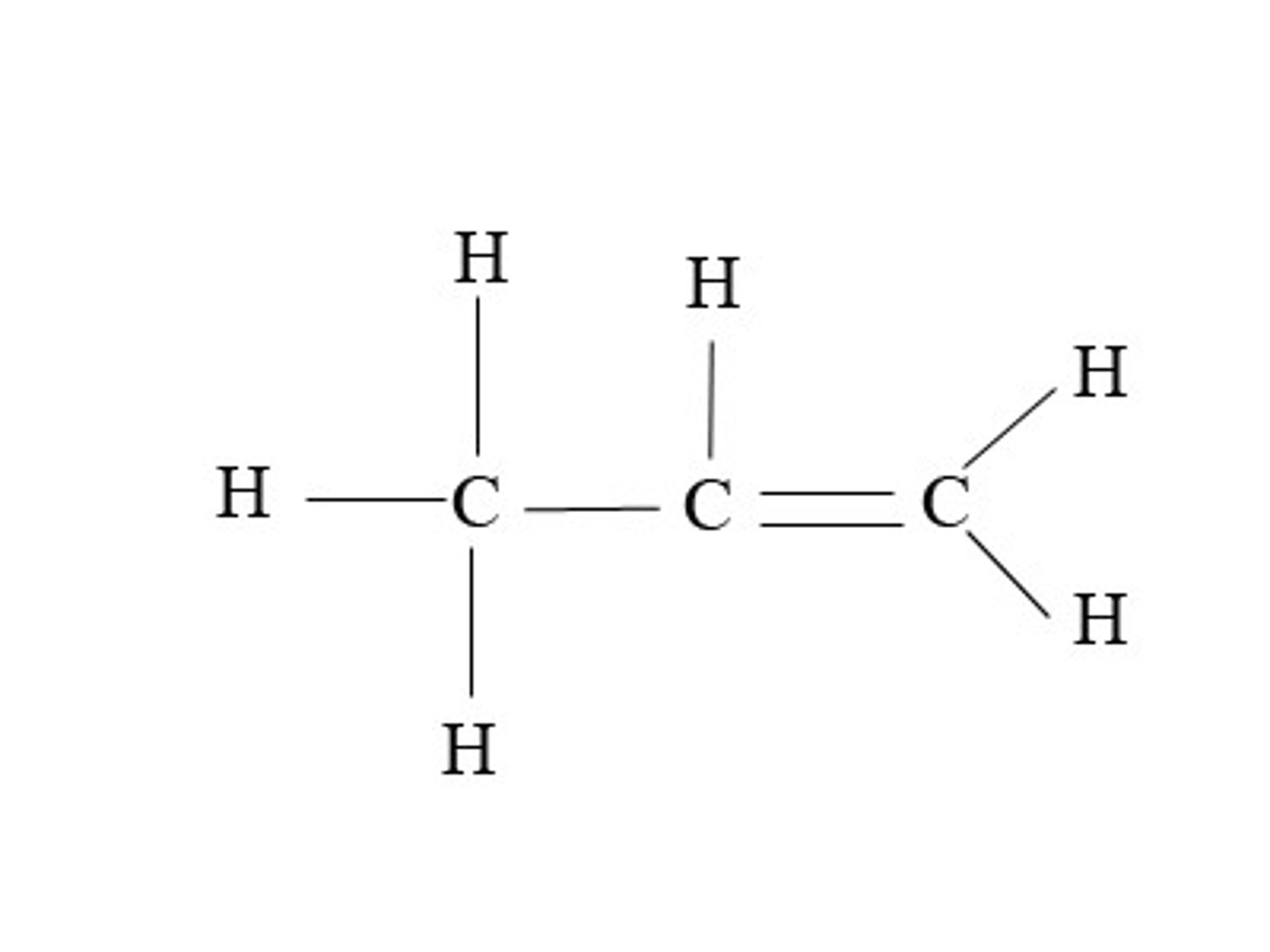
Propylene(propene)

C3H6, CH2=CH-CH3.

<p>C3H6, CH2=CH-CH3.</p>
10
New cards

Two naturally occurring alkenes;

Pheromones, and Terpenes

11
New cards

Purpose of Pheromones

Gives off signals by insects/animals during mating season.

12
New cards

Terpenes

A hydrocarbon chain with two or more 5-carbon isoprene units.

13
New cards

Example of Terpenes

Betacarotene; found in carrots.

14
New cards

Tertbutyl

l

CH3--C--CH3

l

CH3

15
New cards

Isopropyl

l

CH--CH3

l

CH3

16
New cards

Saturated hydrocarbons

All single bonds

<p>All single bonds</p>
17
New cards

Unsaturated hydrocarbons

1 or more multiple bonds

<p>1 or more multiple bonds</p>
18
New cards

Physical Properties of Hydrocarbons

1. Not soluble in water

2. Less dense than water

3. The larger the structure the higher the boiling point, because there are more bonds to break.

19
New cards

Combustion

The products of this reaction are always CO2 and H2O.

20
New cards

Two types of reactions for alkanes

1. Combustion

2. Halogenation

21
New cards

Halogenation is an example of a ___________ reaction. This is the only type of _________ reaction that alkanes can do.

Substitution

22
New cards

The diatomics of a halogenation reaction will be;

F2, Br2, Cl2, I2.

23
New cards

In a _______ reaction I'm always adding a _________ to form a halogenated (cyclo)alkane. To name them I'm using the element as a prefix- for example 'Chloro.'

halogenation; halogen

24
New cards

Methane is the simplest __________.

alkane

25
New cards

Alkanes end in _____.

-ane

26
New cards

Steps of naming alkanes

Find the longest carbon chain

# the carbon chain

name alkyl groups

What? Where? How many?

Alphabetize

#,# #-word

27
New cards

Alkene + _________ = ___________

This is a __________ reaction.

hydrogen; alkane

hydrogenation

28
New cards

What is the smallest cycloalkane?

Cyclopropane

29
New cards

Positional Isomers

Same carbon arrangement but hydrogens are arranged differently because of the placement of the double bond.

30
New cards

Skeletal Isomers

Cis and trans isomer

31
New cards

Cis isomer

knowt flashcard image
32
New cards

Trans isomer

knowt flashcard image
33
New cards

Symmetrical Addition

Hydrogenation and Halogenation

34
New cards

Unsymmetrical Addition

Hydrohalogenation and Hydration

35
New cards

Rules of naming Alkenes

End in -ene

Largest chain with double bond

# closest to the double bond

Give position of the double bond

If multiple double bonds; -diene, -triene, -tetrene

Cyclo- == bond is always between C1 and C2, but is not written.

Cyclo- multiple double bonds; lowest number possible

36
New cards

Functional Group

Part of the molecule where the reactivity occurs

37
New cards

Benzene

The simplest aromatic hydrocarbon.

<p>The simplest aromatic hydrocarbon.</p>
38
New cards

Aromatic Hydrocarbons

Unsaturated cyclic hydrocarbon which does not readily undergo addition reactions.

39
New cards

Benzene has______ bonds. Which are...?

Delocalized bonds; Covalent bond in which electrons are shared among more than 2 atoms.

40
New cards

Toluene and it's IUPAC

methylbenzene

<p>methylbenzene</p>
41
New cards

Xylene

Common name for isomers of dimethylbenzene.

<p>Common name for isomers of dimethylbenzene.</p>
42
New cards

Ortho-xylene

On carbons 1 and 2

<p>On carbons 1 and 2</p>
43
New cards

Meta-xylene

On carbons 1 and 3

<p>On carbons 1 and 3</p>
44
New cards

Para-xylene

On carbons 1 and 4

<p>On carbons 1 and 4</p>
45
New cards

Napthalene

Bad smelling mothball

<p>Bad smelling mothball</p>
46
New cards

Anthracene

knowt flashcard image
47
New cards

Phenanthrene

knowt flashcard image
48
New cards

________ __________ are the only hydrocarbons that can undergo alkylation.

Aromatic Hydrocarbons

49
New cards

AlCl3 is a catalyst of this type of reaction.

Alkylation