1/322
Looks like no tags are added yet.
Name | Mastery | Learn | Test | Matching | Spaced |
|---|
No study sessions yet.

Name
4-ethyl-4,6-dimethyl-5-propylnonane


Name
4-ethyl-2,3,4-trimethylheptane


Name
4-ethyl-4-isopropylheptane


Name
4-ethyl-5-propyloctane


Name
1-chloro-3-iodooctane

Name
dichlorodifluoromethane

Name
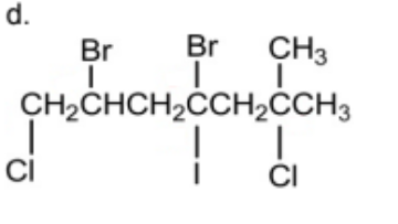
2,4-dibromo-1,6-dichloro-4-iodo-6-methylheptane

Name
4,6-dibromo-1,1,1-trichlorononane
General formula for alkanes?
CnH2n+2
General formula for cycloalkanes?
CnH2n

name
methylcyclooctane

name
1-ethyl-2-methylcyclohexane

name
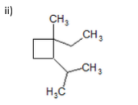
1-ethyl-2-isopropyl-1-methylcyclobutane

Name
1,3-diethyl-5-methylcyclohexane

name
1-ethyl-2,3-dimethylcyclopropane

name


name


name

Draw:
3-ethyl-5,5-dimethylhept-2-ene

Draw:
3,4,5-trichloropenta-1,3-diene


Name


Name


Name




Name
3-chloro-2-methylhexane

Name
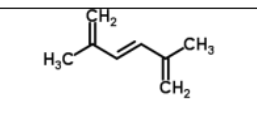
2,5-methylhex-1,3,5-triene
draw:
3-isopropylhex-3-ene


Name:
3,3-dimethylpent-1-en-5-yne

name
4,4-dimethylhex-2-yne

name
5-fluoro-6-iodooct-1-yne

name
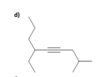
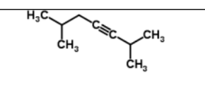
2,6-dimethylhept-3-yne
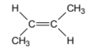
Between a cis geometric isomer and a trans isomer which one has a higher boiling point and why
cis does (groups on same side)
because cis isomers are polar and have a slight dipole moment that trans isomers do not have
Draw all the constitutional isomers of:
C4H10

Draw all the constitutional isomers of:
C5H12

Draw all the constitutional isomers of:
C4H8


name


name


geometric isomer or not?


geometric isomer or not


geometric isomer


1) determine whether geometric isometric is possible
2) name the molecule


1) determine whether geometric isometric is possible
2) name the molecule
cis-4-chlorohex-2-ene


1) determine whether geometric isometric is possible
2) name the molecule


1) determine whether geometric isometric is possible
2) name the molecule


1) determine whether geometric isometric is possible
2) name the molecule


1) determine whether geometric isometric is possible
2) name the molecule


1) determine whether geometric isometric is possible
2) name the molecule


1) determine whether geometric isometric is possible
2) name the molecule

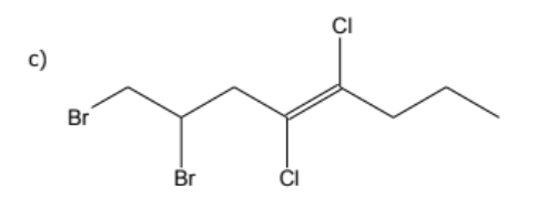
draw:
cis-1,1,1-trichloro-5-methylhex-3-ene

Why is the name
cis-4-bromo-2-methylpent-2-ene
incorrect?










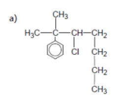
name


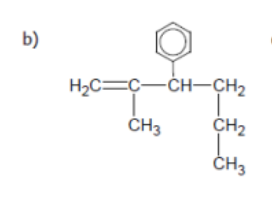
name


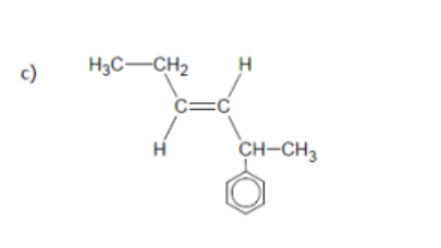
name


name


name


name


draw


draw


draw


draw


draw


draw


draw


draw


name


name


name




name
toluene

name
aniline

name
phenol

name
benzoic acid

name
o-dibromobenzene

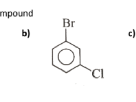
name
m-dibromobenzene

name
p-dichlorobenzene

name
p-bromoiodobenzene

name
m-chloronitrobenzene

name
o-methylnitrobenzene

name
o-methylnitrobenzene

name
4-bromophenol

name
3-nitrobenzoic acid

name
2-iodoaniline

name
1,2,4-tribromobenzene

name
2-chloro-4-nitrophenol

name
2,4,6-trinitrotoluene
Draw:
p-dinitrobenzene

draw:
m-bromonitrobenzene

draw:
o-chlorobenzoic acid

draw:
m-nitrotoluene

draw:
p-bromoaniline

draw:
m-iodophenol

draw:
1,3,5-trimethylbenzene

draw:
4-chloro-2,3-dinitrotoluene

draw:
2-amino-5-bromo-3-nitrobenzoic acid

draw:
2,4,6-trinitrophenol


1) Examine table 1 on the right. How is the data organized? Is this a useful way to organize data?
2) You are searching for a trend in boiling points. Reorganize the data to make it more useful
3) Which substance(s) are gases (have already boiled) at room temperature (22 degrees Celsius)?
4) Which substance(s) boil between room temperature and body temperature (37 degrees Celsius)
5) Define intermolecular forces
6) What can u infer about the intermolecular forces among decane molecules compared to those in butane?
