1/38
Looks like no tags are added yet.
Name | Mastery | Learn | Test | Matching | Spaced |
|---|
No study sessions yet.
Quelles sont les etapes du dogme central de la biologie moleculaire ?
transcription de l’ADN → maturation de pre-ARNm → transport de l’ARNm vers le cytoplasme → traduction de l’ARNm pour donner la proteine
Quels facteurs font que la diversite des proteines est enorme ?
differents promoteurs, epissage alternatif, edition de l’ARN. Aussi des modifications post traductionnelles.
Quel est l’ensemble etudie ainsi que la discipline de l’ADN ?
Genome et Genomique
Quel est l’ensemble etudie ainsi que la discipline de l’ARNm ?
Transcriptome et transcriptomique
Quel est l’ensemble etudie ainsi que la discipline de la proteine ?
Proteome et proteomique
C est quoi la difference entre nucleotide et nucleoside ?
nucleotide avec groupe phosphate
Quelles sont les differentes modifications possibles des nucleosides et quand est ce que ces modifications sont faites ?
Methylation, isomeration, thiolation, reduction. Faites post-transcription
A quoi servent les modifications de l’ARN ?
Fonctions differentient et donc en modifiant cela permet de stabiliser la structure de l’ARN et a moduler la lecture des codons
Sur les purines, quel N se lie au sucre ? Et pour les pyrimidines ?
N9 et N1
Quelle est la base complementaire de A et de G?
T ou U pour A et C pour G
Pourquoi la degradation d une base azotee a lieue ?
Car lorsque la cellule meurt, il faut que la base se degrade avant qu on puisse la reutiliser
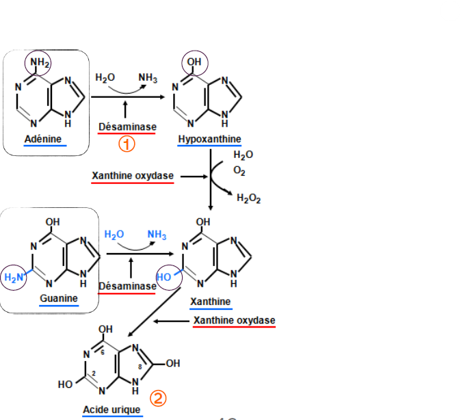
Comment est degrade l’Adenine ?
D’abord desaminee en hypoxanthine, puis oxydee en xanthine. La xanthine oxydase catalyse la formation de l’acide urique

Comment est degradee la guanine ?
desaminee en xanthine.La xanthine oxydase catalyse la formation de l’acide urique.

Quelles sont les pathologies associees a la degradation des bases azotees ?
La premiere c est le deficit d’adenosine desaminase, ce qui fait que les base azotees ne peuvent pas se degrader. La consequence c est que le corps devient tres vulnerable aux infections.
La deuxieme c est l’accumulation de l’acide urique, causee par un regime base trop sur la viande rouge et le vin. Consequence : Inflammation douloureuse provoquant la goutte.
Comment se passe la degradation des pyrimidines ?
Les pyrimidines sont plus solubles donc degradation plus facile. Ils produisent des metabolites non toxiques ensuite elimines sous forme de CO2 et NH3
Pourquoi l’ARN est plus instable que l’ADN et qu’est ce que cela explique ?
Car il comporte un groupe OH sur carbone 2 et donc explique que ADN souvent double helice alors que ARN simple brin et adopte formes variees
Que peut on dire des liaisons phosphoriques ?
Tres energetique, surtout liaison entre 2eme et 3eme groupe phosphate (ATP). La perte d’un groupement libere bcp d’energie.
Quels sont les noms des 5 nucleosides avec les bases differentes ?
Adenosine, Guanosine, Cytidine, Thymidine, Uridine
Comment se forme la liaison entre deux groupes acides phosphoriques ?
Condensation (perte d’une molecule d’eau)
Quel est la charge d’un nucleotide ?
Negative a cause du/des groupes phosphates
A quoi sert l’AMP cyclique ?
AMPc sert de messager secondaire dans la cellule pour transmettre signaux hormonaux ou neuronaux, comme donner effet appaisant. C’est les recepteurs d’adenosine sur la membrane cellulaire qui recoit l’adenosine de l’exterieur et permet de reguler l’AMPc produit. La caffeine agit contre car ressemble a adenosine et donc empeche la reception de l’adenosine par les recepteurs. Bloque l effet apaisant
Comment sont relies les bases complementaires entre nucleotides ?
Par liaison H
Comment sont appareiller les deux brins de l’ADN ?
L’orientation des brins est antiparalleles : 5’→3’ appareille a 3’→5’
Que permet la caracteristique reversible des liaisons H entre nucleotides de l’ADN ?
Permet la separation temporaire des deux brins lors de replication et transcription. Cela est du a leur faible energie et leur grand nombre donc permet de s ouvrir localement
Qu’est ce que la denaturation et comment y arriver ?
Separation des deux brins de l’ADN provoquee par : elevation temperature, variation extreme du pH, ou presenace d’agents denaturants
Comment la renaturation est possible et dequoi depend la vitesse de la renaturation ?
conditions redeviennent favorables et depend de la concentration ADN et la temperature d’hybridation
Explique l’effet hyperchrome et ce qu’est la temperature de fusion/hybridation et de quoi elle depend
Base azotees absorbent bien UV a 260nm. L’absorbance est plus forte quand les brins sont separes et quand la temperature augmente. La temperature de fusion est la temperature ou la moitie des 2 brins est separe. Tm depend des paires, car liaison G et C plus stable car 3 liaisons
Quels sont les formes principales de l’ADN, ainsi que leur abondance et leurs caracteristiques
ADN B : forme la plus courante, double helice a droite, stable, non immunogene (donne pas de reponse immunitaire)
ADN A: forme plus compacte, deshydrate
ADN Z : helice tourne a gauche, souvent regions riches en GC, immunogenes
Quelles sont les structures de l’ARN et que determinent ces structures ?
helice, tige-boucle (un repliement), et pseudonoeuds (bordel). Ca determine leur stabilite, leur fonction enzymatique et leur immunogenecite
C’est quoi un rybozyme (ARN catalytique) et son role ?
activite enzymatique (comme auto-epissage des introns ou capacite de clivage), catalyse des reactions sans proteine
C’est quoi un nucleosome?
Unite de la chromatine, constituee de 150 paires de base d’ADN entouree autour d’un octamere d’histones. Permet compaction ADN, regulation transcription et protection genome
C’est quoi les sequences non codantes du genome ?
La partie qui ne sert pas a la creation de proteines mais permet de :
reguler l expression d’autres genes
se repeter dans le genome
introns
transposons (genes sauteurs)
combien de paires de bases chez l humain
3 milliards
C est quoi le paradoxe de la valeur C ?
Absence de correlation entre quantite d’ADN et complexite d’un vivant
Les modifications sur l’histone permettent de faire quoi ?
Permettent de reguler l accessibilietes de l’ADN a la transcription. C’est grace au fait que les histones sont des proteines qui peuvent subir des modifications post traductionnelles
Quels sont les differents types d’ADN repetees ?
Sequences repetees simples, appelees ADN satellites, qui sont proches des centromeres
Sequences repetees dispersees : LINE et SINE