1/32
Name | Mastery | Learn | Test | Matching | Spaced |
|---|
No study sessions yet.
Fg or ___
Weight, also known as the Force of Gravity
Fg =
Force due to gravity
Fn =
normal force
Ffr =
Friction Force
Fa =
Applied Force
Ft =
Force of tension
Net force is the _____ force.
leftover
Net force is calculated by, in other words, ______.
Winners - Losers
(minus)
A free body diagram (FBD) is a visual representation of all the ________ acting on an object.
external forces
We draw a _________ to represent an object in a free body diagram.
dot or box
The unit for force is _____.
N (newtons)
The unit for Weight or Fg is _____.
N (newtons)
Instead of using the word a "linear" to describe a pattern, we are enhancing our vocab to use the word:
directly proportional

These forces are…
balanced
If an object experiences an acceleration, the forces must be __________.
unbalanced
If an object experiences constant velocity, the forces are ________.
balanced

These forces are…
unbalanced
If an object was not moving at constant velocity, the forces are ________.

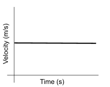
Describe the graph’s (1) slope, (2) velocity, and (3) acceleration.
slope = 0; object is not accelerating

Describe the graph’s (1) slope, (2) velocity, and (3) acceleration.
slope = positive; velocity is increasing and accelerating positively

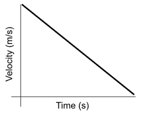
Describe the graph’s (1) slope, (2) velocity, and (3) acceleration.
slope = negative; velocity is decreasing and accelerating negatively
Newton's third law states that for every action force there is an ______ & ______ reaction force.
equal and opposite
When writing an action-reaction force pair, you need to include:
2 objects and directions
Finish this action-rection force pair: "hammer hits nail down" so...
nail hits hammer up
Action-Reaction force pairs are equal in...
magnitude (amount) and time
Action-Reaction force pairs are opposite in...
direction
A finger presses a doorbell button. Which pushes harder?
neither, same force!
A car collides with a bug. Why does the bug accelerate so much more than the car?
bug has less mass leading to more acceleration
ACTION: Earth pulling down on an apple
REACTION: ___________
The apple pulling up on the Earth.
The object for the force of gravity is _______.
Earth
Tension is always a _____.
pull
______ is the pulling force transmitted by a strong cable, chain, or rope.
Tension
The direction of tension is always _______.
away