electronics

0.0(0)
studied byStudied by 0 people
0.0(0)
full-widthCall with Kai
GameKnowt Play
New
learnLearn
examPractice Test
spaced repetitionSpaced Repetition
heart puzzleMatch
flashcardsFlashcards
Card Sorting

1/11

encourage image

There's no tags or description

Looks like no tags are added yet.

Study Analytics
Name
Mastery
Learn
Test
Matching
Spaced

No study sessions yet.

12 Terms

1
New cards

What is biasing

knowt flashcard image
2
New cards

Base bias characteristics

Advantage:Circuit simplicity.

Disadvantage:Q-point shift with temp.

Applications:Switching circuits only.

3
New cards

Base Bias equation

knowt flashcard image
4
New cards

Voltage-Divider Bias Characteristics

Advantages:The circuit Q-

point values are stable

against changes in hFE.

Disadvantages:Requires

more components than most

other biasing circuits.

Applications:Used primarily

to bias linear amplifier.

<p><span>Advantages:The circuit Q-</span></p><p><span>point values are stable</span></p><p><span>against changes in hFE.</span></p><p><span>Disadvantages:Requires</span></p><p><span>more components than most</span></p><p><span>other biasing circuits.</span></p><p><span>Applications:Used primarily</span></p><p><span>to bias linear amplifier.</span></p>
5
New cards

Voltage-Divider Bias equations

knowt flashcard image
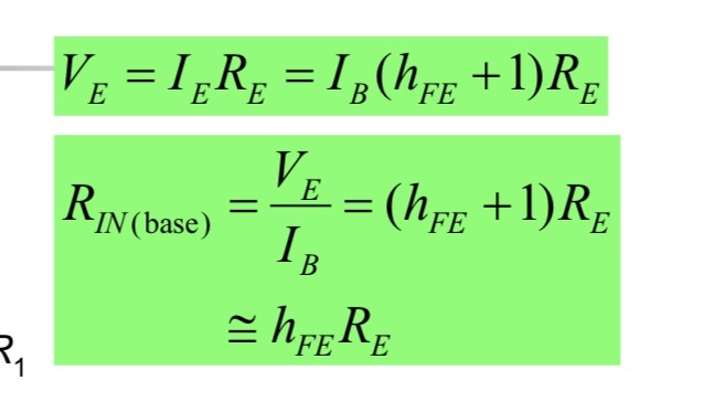
6
New cards

Base Input Resistance

knowt flashcard image
7
New cards

Emitter-bias Characteristics

Advantage:The circuit Q-point

values are stable against changes in

hFE.

Disadvantage:Requires the use of

dual-polarity power supply.

Applications:Used primarily to bias

linear amplifiers.

8
New cards

Emitter-biAs

knowt flashcard image
9
New cards

Collector-Feedback

Characteristics

Advantage:A simple circuit

with relatively stable Q-point.

Disadvantage:Relatively poor

ac characteristics.

Applications:Used primarily to

bias linear amplifiers.

10
New cards

Collector-Feedback

knowt flashcard image
11
New cards

Emitter-Feedback

Characteris

Advantage:A simple circuit

with relatively stable Q-point.

Disadvantage:Requires more

components than collector-

feedback bias.

Applications:Used primarily to

bias linear amplifiers.

12
New cards

Emitter-Feed

knowt flashcard image