1/16
Looks like no tags are added yet.
Name | Mastery | Learn | Test | Matching | Spaced |
|---|
No study sessions yet.
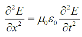
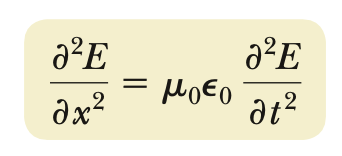
Wave equation (EM)

Gauss’s Law (electric)

Gauss’s Law (magnetic)

Faraday’s Law

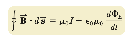
Ampere’s Law

displacement current

consequence of an added magnetic field component due to changing electric flux
Lorentz force law

electromagnetic wave equation

E & B are interchangeable
EM wave speed

E & B wave equations (terms of x & t)

E: j
B: k
E & B magnitude equations
Emax/Bmax = E/B = c
B = ε0μ0cE
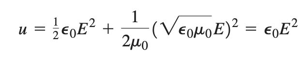
uavg (average energy density)

u = I/c
Poynting vector

direction and magnitude of power per unit area of EM wave
EM speed in matter
v = 1/(εμ)1/2 = 1/((KKm)(ε0μ0))1/2 = c/(KKm)1/2
K = dielectric constant = ε/ε0
Km = relative permeability = μ/μ0
EM wave intensity

remember energy density u for E & B!
flow rate of EM momentum
(1/A)(dp/dt) = S/c
Standing EM waves
Eqn:
Ey = -2Emaxsin(kx)sin(ωt)
Bz = -2Emaxcos(kx)cos(ωt)
Nodes:
xE = nλ/2 (n = 0, 1, 2, 3, …)
xB = nλ/4 (n = 1, 3, 5, …)
Wavelength:
λn = 2L/n
fn = c/λn = nc/2L