1/142
Looks like no tags are added yet.
Name | Mastery | Learn | Test | Matching | Spaced | Call with Kai |
|---|
No analytics yet
Send a link to your students to track their progress
How does a computer understand input images?
A. The computer understands the image as a matrix of pixels.
B. The computer understands the image as a single color matrix.
C. The computer reads the input image as an integer array of values stored in the binary image.
D. All of the others
A
What is the input for computer vision?
A. Text
B. Audio
C. Video
D. Image
D
What characterizes mirror-like reflection?
A. Outgoing light is scattered in multiple directions
B. Outgoing light follows a linear projection model
C. Outgoing light reflects off the surface in a single direction
D. Outgoing light rotates around the surface normal by 90 degrees
C
How is an "illumination model' formed?
A. It refers to the source of visible electromagnetic radiation
B. It describes the linear projection model of light
C. It outlines the inputs, assumptions, and outputs for calculating surface color and brightness
D. It focuses on the off-axis distance of light sources
C
What is a common cause of distortion in camera images?
A. Linear projection model
B. Wide-angle lenses
C. Off-axis distance
D. linear magnification
B
When designing your own kernel for edge detection, what is an important consideration when choosing the weights within the kernel?
A. Assigning the highest weight to the center pixel ensures the most accurate gradient calculation.
B. The weights should be chosen to emphasize the type of edge you want to detect (e.g., stronger weights for sharper edges).
C. All weights within the kernel must be negative to achieve effective edge detection.
D. Using a random distribution of weights often leads to better edge detection results.
B
What is the effect of shifting a signal in the time domain on its Fourier transform?
A. The phase spectrum is shifted.
B. The magnitude spectrum is scaled.
C. The frequency components are attenuated.
D. The Nyquist frequency is altered.
A
In the context of mesh-based warping, what is a "mesh"?
A. A collection of vertices and edges
B. A visual distortion effect
C. A 2D matrix of pixel intensity
D. A type of texture map with 2D dimension
A
What is the purpose of the Bidirectional Reflectance Distribution Function (BRDF) in photometric image formation?
A. Modeling specular reflection
B. Describing light absorption
C. Encoding color information
D. Representing texture mapping
A
If we want to draw a shape and fill it inside we must write:
A. 1
B. fillnside = 1
C. fillnside = True
D. -1
C
What is the Nyquist frequency in the context of Fourier transform?
A. Half of the sampling frequency
B. The highest frequency in the signal
C. The frequency at which the signal becomes periodic
D. The frequency corresponding to the imaginary part of the spectrum
A
In Fourier transform, which of the following operators in signal domain will become the product operator of individual transformed functions in transformed signal domain?
A. Convolution
B. Correlation
C. Multiplication
D. Sum
A
How does the sampling rate affect the representation of frequencies in the Fourier transform of a signal?
A. A higher sampling rate increases frequency accuracy.
B. A lower sampling rate increases frequency accuracy.
C. It has no effect on frequency representation.
D. A higher sampling rate decreases frequency accuracy.
A
How can we compute convolution using correlation?
A. No difference exists, convolution and correlation produce the same results.
B. By rotating the kernel 180 degree around it's center before performing the correlation operation.
C. We can directly use the correlation result without any modifications.
D. By dividing the results of correlation by a constant factor
B
Which of the following algorithms will distribute the intensity of an image across the entire intensity range?
A. White patch
B. Gray world
C. Ground truth
D. Histogram equalization
D
How does the scale-invariance property benefit feature detection and matching algorithms?
A. It allows features to be detected regardless of their size.
B. It reduces the computational complexity of feature matching.
C. It enhances the overall image resolution.
D. It improves color consistency across images.
A
What is the typical size (dimensionality) of a descriptor vector generated by the SIFT algorithm?
A. 128
B. 64
C. 256
D. 512
A
Which of the following methods identifies edges in an image by zero-crossing technique?
A. First derivative
B. Second derivative
C. Prewitt operator
D. Robert operator
B
What is a key advantage of the Canny algorithm compared to simpler edge detection methods?
A. It is significantly faster to compute and requires minimal processing power.
B. It is highly sensitive to noise and can easily miss important edges.
C. It combines multiple steps to achieve robust edge detection, including noise reduction, gradient calculation, and non-maximum suppression.
D. It can directly identify the specific color of edges in the image.
C
What are the factors influencing the evolution of digital image processing? (2 options)
A. Computer development
B. mathematical progress
C. Social media trends
D. Narrow range of a specific application
A, B
What role does the edge linking process play in image processing after edge detection?
A. It introduces disorder to the detected edge pixels.
B. It randomly rearranges the order of edge pixels.
C. It organizes an unordered set of edge pixels into an ordered list of edges.
D. It eliminates edge information by breaking connections between neighboring pixels.
C
In Harris corner detector, after computing score R which determine if a window can contain a comer or not.
When is the window flat?
A. |R| is small
B. |R| is large
C. |RI < 0
D. cannot determine |R|
B
Which of the following employs energy forces and constraints to separate the pixels of interest from the image?
A. Active contours
B. Watershed
C. Graph-based segmentation
D. Region splitting
A
In Harris corner detector, after computing score R which determine if a window can contain a comer or not. When does the window contain a comer?
A. [R| is small and λ1,λ2 are small
B. [R| is large and λ1=λ2
C. |R| < 0 and \lambda_1 >> \lambda_2
D. cannot determine |R|
B
What is the core concept behind the Hough Transform?
A. It transforms edge points in the image space to a parameter space to identify lines.
B. It directly identifies lines in an image based on pixel intensity changes.
C. It segments the image into connected regions to form line segments.
D. It requires manually specifying the starting and ending points of lines to be detected.
A
Which of the following will segment an image based on gray-level similarity and texture similarity?
A. Region splitting
B. Watershed
C. Graph-based segmentation
D. Probabilistic aggregation
D
What are the two cues utilized by the probabilistic merging algorithm to determine region merging?
A. Saturation level and brightness similarity
B. Edge detection and contrast similarity
C. Gray-level similarity and texture similarity
D. Hue difference and pattern recognition
C
Compared to semantic segmentation models, instance segmentation models are generally
A. More complex and require additional training data to differentiate individual objects.
B. Less complex and require less training data.
C. Equally complex with similar training data requirements.
D. Simpler but require very high-resolution images for accurate results.
A
In K mean segmentation, what does "K" represent?
A. Number of clusters
B. Number of nearest neighbors
C. The kernel size of each cluster
D. Kernels in an image
A
How does a Gaussian Mixture Model represent each cluster?
A. By a parabolic line
B. By a decision tree
C. By a distribution
D. By a random selection
C
What purpose is RANdom SAmple Consensus (RANSAC) primarily designed to address in parameter estimation?
A. Overfitting
B. Outliers in the input data
C. Underfitting
D. Computational complexity
B
What does RANSAC stand for in the context of computer vision?
A. Random Sample Consensus
B. Random Assignment for Numerical Stability in Alignment and Classification
C. Robust Analysis for Noisy and Scattered Alignment of Components
D. Recursive Alignment and Sampling for Numerical Convergence
A
What is the primary goal of feature-based alignment in image processing?
A. Enhancing image resolution of an image patch
B. Removing noise from images
C. Estimating the motion between sets of matched points
D. Adjusting image brightness
C
Which of the following color is having the largest frequency in visible spectrum?
A. Red
B. Blue
C. Violet
D. Green
C
Which of these describes a desirable characteristic for features used in alignment?
A. They should be easily affected by lighting changes.
B. They should be distinctive and easily identifiable in both images.
C. They should be evenly distributed across the entire image.
D. They should be large and occupy a significant portion of the image.
B
What is bundle adjustment primarily used for in image processing?
A. Adding new images to a panorama
B. Adjusting the pose parameters for an image to reduce size of an image
C. Simultaneously adjusting pose parameters for a large collection of overlapping images
D. Aligning images in a sequential manner
C
Which type of information does Optical Flow NOT provide?
A. Acceleration of objects
B. Velocity of pixel motion
C. Direction of pixel motion
D. Location of keypoints
A
In what field is image stitching utilized to reconstruct torn paper?
A. Art restoration
B. Medical imaging
C. Forensic and investigative science
D. Archaeology
A
The lower limit of the dynamic range ratio can be determined by_
A. Contrast
B. Saturation
C. Noise
D. Brightness
C
Which technique is commonly used to detect keypoints and descriptors in images for panorama recognition?
A. SIFT
B. Histogram equalization
C. Fourier transform
D. PCA
A
How does the window size in HOG object detection affect the ability to detect small objects?
A. A larger window size might miss small objects entirely if they fall outside the window boundaries.
B. A smaller window size is ideal for all object sizes, including small ones.
C. Window size has no impact on the detection of objects of any size.
D. A larger window size improves the detection accuracy for small objects.
A
"Gaussian Mixture Model" models each cluster to a Gaussian distribution with a specific mean and variance
A. True
B. False
A
Which of the following applications of RANSAC algorithm?
A. Document processing
B. Medical applications
C. Creating panoramas image
D. All of the above
D
How is the Haar calculation performed for edge detection?
A. By measuring the sharpness of pixel values in darker and lighter regions
B. By computing the ratio of pixel intensities in darker and lighter regions
C. By finding the difference between averages of pixel values in darker and lighter regions
D. By comparing the histograms of pixel distributions in darker and lighter regions
C
Which of the following is incorrect about object tracking?
A. A way of identifying or confirming an individual's identity using their face.
B. Taking an initial set of object detections (such as an input set of bounding box coordinates).
C. Creating a unique ID for each of the initial detections.
D. Tracking each of the objects as they move around frames in a video, maintaining the assignment of unique IDs
A
In which type of object tracking method is the moving object represented by an embryonic object region, with emphasis on object shape and appearance?
A. Kernel Tracking
B. Point Tracking
C. Silhouette Tracking
D. Template Matching
A
What is a fundamental aspect of object tracking that involves assigning a distinct identifier to each detected object and subsequently monitoring their movements across consecutive video frames?
A. Object classification
B. Trajectory prediction
C. Instance segmentation
D. ID assignment maintenance
D
Which of these statements is incorrect about face recognition in traditional methods?
A. It typically requires pre-processing steps like normalization and alignment.
B. It often involves extracting facial features like eigenfaces or Fisherfaces.
C. It can achieve high accuracy in controlled environments with good lighting.
D. It can sasily identify individuals from large variations in pose and expression.
D
Some traditional face recognition systems require user enrollment, which involves:
A. Calibrating the camera for optimal lighting conditions.
B. Capturing multiple face images of an individual from different angles.
C. Training the recognition algorithm on a large dataset of faces.
D. Specifying facial landmarks for each enrolled individual.
B
_____ is used to identify different classes or clusters in the given data based on how similar the data is.
A. Feature descriptor
B. Watershed
C. Harris
D. K-means
D
What is the difference between Phong model of light sources and the reality?
A. Phong assumes infinite light sources, while in reality, shadows and inter-reflections occur
B. Phong assumes diffuse light only, while in reality, discrete light sources create shadows
C. Phong assumes continuous light sources, while in reality, inter-reflections are negligible
D. Phong assumes direct light paths, while in reality, sources may be shadowed, and inter-reflections occur
D
What are the two traditional methods suggested for modeling light effects based on surface characteristics?
A. Ray tracing for matte surfaces and radiosity for specular surfaces
B. Ray tracing for mostly specular surfaces and radiosity for mostly matte surfaces
C. Radiosity for both matte and specular surfaces
D. Ray tracing for both matte and specular surface
B
What is the transformation where the transformation matrix is as follows ?
200amp;0amp;2amp;0amp;1amp;2amp;1
A. Scale 2 and translate 1 along x axis, translate 2 along y axis
B. Scale 2 and translate 2 along x axis, translate 1 along y axis
C. Translate 2 along x axis, translate 1 along y axis
D. Scale 2 and translate 2 along x axis, keep unchanged to y axis
A
What is image processing generally focused on achieving?
A. Generating textual information from images
B. Extracting useful information and enhancing images
C. Converting images into audio signals
D. Creating three-dimensional representations of images
B
Which approach is employed to spread the range of intensity to make full use of possible values?
A. Contrast stretching
B. Gray world
C. Ground truth
D. Histogram equalization
D
What is the primary purpose of the Fourier transform in signal processing and image analysis?
A. Frequency analysis
B. Noise reduction
C. Edge detection
D. Color correction
A
How does the sampling rate affect the representation of frequencies in the Fourier transform of a signal?
A. A higher sampling rate increases frequency accuracy.
B. A lower sampling rate increases frequency accuracy.
C. It has no effect on frequency representation.
D. A higher sampling rate decreases frequency accuracy.
A
What is an advantage of utilizing a series of one-dimensional transforms over large, non-separable, two-dimensional filter kemels in image processing?
A. Improved color accuracy
B. Enhanced detail preservation
C. Increased computational efficiency
D. Reduced memory requirements
C
When preventing aliasing, what additional step may be required before applying a shearing transformation in image processing?
A. Downsampling in the both directions
B. Applying a non-separable filter kernel
C. Adjusting the color space transformation
D. Upsampling in the opposite direction
D
What is true about the Elliptical Weighted Average (EWA) filter?
A. It relies on an single-pixel computation
B. Affine mapping introduces a skewed two-dimensional coordinate system in the distance of each source pixel x
C. Ellipsoidal projection of a small pixel grid in source pixel onto destination pixel is computed
D. Gaussian filtering whose inverse covariance matrix is this ellipsoid is used
D
What is the Nyquist frequency in the context of Fourier transform?
A. Half of the sampling frequency
B. The highest frequency in the signal
C. The frequency at which the signal becomes periodic
D. The frequency corresponding to the imaginary part of the spectrum
A
Why is pre-filtering necessary to prevent aliasing in computer graphics?
A. To enhance image resolution
B. To reduce the computational cost
C. To minimize distortion during texture mapping
D. To maintain a consistent resampling rate
C
What does the "consensus" in RANSAC refer to?
A. The majority of inliers in the data set
B. The average value of the data points
C. The deviation of the model from the data
D. The total number of iterations performed
A
In the Harris Corner Detector, what property of corners is exploited for detection?
A. High gradient magnitude
B. High pixel intensity
C. Low gradient magnitude
D. Low pixel intensity
A
Which type of following spaces does the Hough Transform often use for representing lines in parameter space?
A. Polar space
B. Cartesian space
C. Transform space
D. Gradient space
A

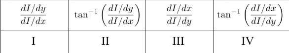
How is the orientation of the gradient computed? (I: intensity at pixels, x: x coordinate of pixel, y: y coordinate of pixel)
A.I
B. II
C. III
D. IV
B
Which of the following operators utilizes Laplacian of Gaussian?
A. Prewitt operator
B. Canny operator
C. Sobel (3x3)
D. Sobel (5x5)
B
How does SIFT handle rotations for keypoint matching?
A. By aligning keypoints based on dominant orientation
B. By rotating the entire image to a standard orientation
C. By using a fixed orientation for all keypoints
D. By discarding keypoints with varying orientations
A
What is true about image segmentation?
A. An image is broken into many regions using the characteristics of pixels to identify objects
B. The representation of an image is changed into something containing more complex information to analyze
C. Color is assigned to every pixel of an image
D. Not at all
A
What should we do if the goal is to detect dark lines against a light background using the basic masks in convolution based technique?
A. Apply gradient-based edge detection
B. Negate the mask values
C. Adjust the convolution kernel size
D. Increase the image resolution
B
What are the factors influencing the evolution of digital image processing? (2 options)
A. Computer development
B. mathematical progress
C. Social media trends
D. Narrow range of a specific application
A,B
Which of the following methods identifies edges in an image by zero-crossing technique?
A. First derivative
B. Second derivative
C. Prewitt operator
D. Robert operator
B
When dealing with image classification, what kind of challenges do we face with images?
A. Variations due to scaling
B. Variations due to illumination
C. Image occlusion
D. All the above
D
In K mean segmentation, what does "K" represent?
A. Number of clusters
B. Number of nearest neighbors
C. The kemel size of each cluster
D. Kernels in an image
A
How many colour channels does a Grayscale image have?
A. 1
B. 2
C. 3
D. 4
A
What is the purpose of the internal energy term in the Snake Model?
A. To penalize large deformations of the contour
B. To attract the contour towards object boundaries
C. To perform non-maximum suppression
D. To adjust the intensity of edge pixels
A
How many steps are there in the task of face recognition?
A. 1
B. 4
C. 2
D. 3
D
What is parallax in the context of imaging?
A. Shift in the position of objects with a change in viewpoint
B. Image distortion due to lens imperfections
C. Chromatic aberration in images
D. The blurring effect caused by motion during image capture
A
Which type of information does Optical Flow NOT provide?
A. Acceleration of objects
B. Velocity of pixel motion
C. Direction of pixel motion
D. Location of keypoints
A
Which of the following is an application of computer vision?
A. Security
B. Robotics
C. Medicine
D. All of the above
D
What is not true about image stitching?
A. It is the process of combining multiple photographic images with overlapping fields of view
B. It is used in forensic and investigate science for the reconstruction of torn paper
C. It is used to complete mapping of a particular place
D. It maps two pixels that have similar intensity from two adjacent images
D
The lower limit of the dynamic range ratio can be determined by ___
A. Contrast
B. Saturation
C. Noise
D. Brightness
C
____ is the process of combining multiple photographic images with overlapping fields of view to produce a
segmented panorama or high-resolution image.
A. Image preprocessing
B. Image subtraction
C. Image stitching
D. Image acquisition
C
What is not true object detection?
A. It is the task of detecting instances of objects of a certain class within an image
B. It allows to identify and locate objects in a video
C. It recognizes with a contour in the image
D. It detects instances of semantic objects of a certain class
C
____ is a parameter estimation approach designed to cope with a large proportion of outliers in the input data
A. RANSAC
B. Mean shift
C. K-mean
D. Canny edge detection
A
Which of the following disadvantages of Snake model?
A. Sensitive to local minima states
B. Not works perfectly even for binary images
C. dependent
D. All of the above
A
Cylindrical is used if the camera is level and we have only rotation around its vertical axis
A. True
B. False
A
How is the required minimum number of trials calculated in RANSAC algorithm, given P, the probability of success after S trails, p, the probability of inliers and k, the number of random samples inliers?
A. log(1-P)/log(1-p^k)
B. log(1-P)*log(1-p^k)
C. log[(1-P)(1-p^k)]
D. log[(1-P)/(1-p^k)]
A
What does RANSAC stand for in the context of computer vision?
A. Random Sample Consensus
B. Random Assignment for Numerical Stability in Alignment and Classification
C. Robust Analysis for Noisy and Scattered Alignment of Components
D. Recursive Alignment and Sampling for Numerical Convergence
A
What is the key idea behind the RANSAC algorithm for 2D alignment?
A. Iteratively estimating a model from a subset of inliers
B. Minimizing the sum of squared differences
C. Maximizing mutual information between images
D. Employing kernel density estimation for feature matching
A
The dynamic range of the imaging system is a quantitative relation where the upper limit can be determined by _____
A. Saturation
B. Contrast
C. Noise
D. Brightness
A
What system does the digital camera use to perform the digitization of images?
A. Sensor system
B. Number system
C. Logic system
D. Optical system
A
Which of the following methods of traditional detection?
A. YOLO
B. RCNN
C. Hog detector
D. Retina Net
C
Which of the following is not an Image filters used in OpenCV?
A. Box Filter
B. Bilateral Filter
C. Blue Blur
D. Build Pyramid
C
What is the range of the spectrum that humans can see as colors?
A. 200nm-500nm
B. 300nm-600nm
C. 400nm-700nm
D. 500nm-900nm
C
What is meant by image segmentation in image processing?
A. Image segmentation is the division of an image into regions or categories, which correspond to different objects or parts of objects.
B. Image segmentation is a method in which a digital image is broken down into various subgroups based their color or position
C. All of the others
D. None of the others
C
Choose the best answer about digital image
A. The digital image is a two-dimensional array of color
B. The digital image is a matrix of pixels.
C. The digital images are composed of a combination of colors.
D. The digital images are created from digital cameras through a mechanical system.
B
Choose the best answer about chromatic aberration:
A. Chromatic aberration is a failure of a lens to focus all colors to the same point.
B. Chromatic aberration the index of refraction of glass varies slightly as a function frequency.
C. Chromatic aberration is different wavelengths focus at slightly same distances.
D. All of the others
A
In Fourier transform, what is the abbreviation for DFT?
A. 49/50 - CAP Fourier Transform
B. Distribute Fourier Transform
C. Discrete Fourier Transform
D. Discontinous Fourier Transform
C
What are the fields related to computer vision?
A. Image processing, graphics algorithms, Cognitive sciences.
B. Robotics, Neurobiology, Information retrieval
C. All of the others
D. Not of others
c