1/39
Looks like no tags are added yet.
Name | Mastery | Learn | Test | Matching | Spaced | Call with Kai |
|---|
No analytics yet
Send a link to your students to track their progress
what are artificial neural networks
a collection of connected comutational units (neurons), arranged in interconnected layers
very popular for supervised and unsupervised learning
state of the art across many comlex domeins, mainly based on unstructured data
what do we mean when we say that Artificial neural networks are very powerful and flexible ?
more layers / neurons → more capacity / complexity
specialized architectures

XOR problem
a function that a perceptron cannot learn
exclusive or is a logical operation that is true if and only if its arguments differ
the perceptron
an algorithm for supervised learning of binary classifiers

what do we mean when we say that a perceptron with a (sigmoid) activation function can only model linear decision boudaries
the result of the perceptron will be a sigmoid function, but the classification that happens is stil a linear classification since the decison boundary is still linear
→ the function that goes through the activation function is still linear

what is the solution to the XOR problem
a non linear activation function in the hidden layer
input layer : raw features, no computation thus no activation function
in hidden layer : non linear activation function required to model complex non linear patterns (often ReLU)
in outpuut layer : classification (usually sigmoid), regression → usually none (linear)

notation X
is a matrix containing all the feature values (excluding labels) of all instances (m) in the dataset. There is one row per instance and the ith row is equal to the transoise if x(i)

multi-layerd perceptron also called
feedforward (fully connected) artificial neural network ANN
ANN recap : input layer
no computation, input data, #nodes = #features
ANN recap hidden layers
intermediate layers, everything in between input and output layers
ANN : recap : output layer
layers producing the final result
universal approximation theorem
a neural network with 1 hidden layer can represent any continuous function (under mild constraints and given enough width)

if we know the universal approximation theorem, why do we use more than 1 hidden layer ?
why deep and not wide learning
deep learning is
faster and easier to train
generalizes better (intuition : representation perspective)

Q : which decision boundary would this ANN learn
Logistic regression bc we only have one node with a logistic regression
what is training
updating the (trainable) parameters of the network to minimize the loss
which are the common loss functions that are used
regression : MSE
classification - cross entropy
gradient
a vector that describes the rate of change of a function
components of the vector are the partial derivatives of the loss with respect to the network parameters
points in the direction of greatest incease of a function
is zero at a local maximum or local minimum

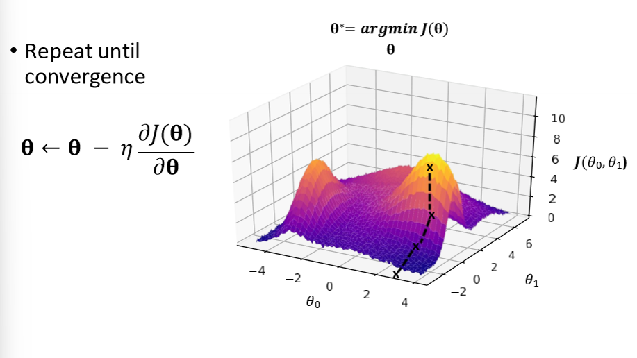
how does loss optimization work
gradient descent
randomly pick (theta1 and 2)
compute gradient (partial derivative of the loss function)
take step in the opposite direction (with n learning rate)
repeat until convergence

gradient descent, an algorithm
1) initialize weights randomly N(0, sigma²)
2) loop until convergence
3) compute partial derivative
4) update according to theta = theta - learning rate* partial derivative
5) return weights
what happens due to non-linearities :
non-convex optimization problem
optimisation gets stucj in a suboptimal point (parameter value)

gradient descent : solution to local minima
increase the learning rate
stochastic gradient descent (use mini batches)
gradient descent : solution to local minima : stochastic gradient descent
use minu-batches
calculate each update on a mini-batch → subset of full training set
since we calculate the loss for each subset, it will not be exactly the same
shuffle the observations in the training set, run through the whole training set in mini batches (1 epoc) then we shuffle again and we do the same thing
local minima in gradient descent is less a problem than it used to be,
with modern activations
and high dimensionallity → with more dimensions you can escape more easely the local minima
how to use gradient descent for huge networks
backpropagation : is a highly efficient method to compute the gradients (in neural network).
computed gradients can then be used for gradient descent to update parameters
backpropagation : GD
1) for each input in the batch, compute the network’s output
2) propagate the error term backwards to the preceding layers

batch gradient descent
update the weights (with GD) using the entire training set for each update
mini-batch gradient descent
update the weights using a subsample from the training set
1 epoch = 1 run of all training observations through the network
what happens when the learning rate is too high
oscillations, algorithm will diverge
what happens when the learning rate is too small
slow progress
if the training set = 10.000, validation set = 1.000, and mini-batch size = 100
how many epochs after 1.000 mini-batches ?
10 epochs
if you use the full dataset for each update, how are updates and epochs related
then the number of epochs = the number of updates
how can we avoid overfitting when training Gradient descent
→ they are prone to overfit
early stopping
esplicit regulkarization objectives
adjusting hyperparameters related to capacity, #neurons, layers

hyperparameters KNN
weigght initialization, activation function, loss, #layers, #neurons, early stopping rule, optimizer, explicit regularization terms
→ always use the validation set
focus on those for which the loss is sensitive
what type of preprocessing needs to happen ANN
categorical data
onehot encode
continuous data :
standardize/ normalize
what do you need to learn non linear patterns
you need non-linear activations / feature transformations
what do the hidden layers learn so that the data is linearly separable
a representation

pros neural networks
reduces the need for feature engineering
can fit any function (non-linear or otherwise)
extreme flexibility
state of the art performance across many domains
feature engineering
the crucial process of transforming raw data into meaningful input variables (features) that machine learning models can use to learn patterns and make accurate predictions
cons to neural networks
‘ black box’, bad interpretability
optimization is stochastic, solution possibly unstable
what can neural networks learn without requiring feature engineering
interaction effects and non-linear relationships