2.6 Fluid Mechanics

0.0(0)
studied byStudied by 0 people
0.0(0)
full-widthCall with Kai
GameKnowt Play
New
learnLearn
examPractice Test
spaced repetitionSpaced Repetition
heart puzzleMatch
flashcardsFlashcards
Card Sorting

1/18

encourage image

There's no tags or description

Looks like no tags are added yet.

Study Analytics
Name
Mastery
Learn
Test
Matching
Spaced

No study sessions yet.

19 Terms

1
New cards

What is the formula for pressure ?

unit : 1 Pa (=) 1 N.m^-2

<p>unit : 1 Pa (=) 1 N.m^-2</p>
2
New cards

On average, what is the air pressure ?

1013 hPa

3
New cards
4
New cards

How do you translate bar to pascal ?

knowt flashcard image
5
New cards

How compressible are solids and liquids ?

In most cases, we can assume that the mass density of solids and liquids is not very dependent on external pressure, they are almost incompressible

6
New cards

How compressible are gasses ?

Because of their significantly lower density, their volume is strongly dependent on external pressure, they are highly compressible

7
New cards

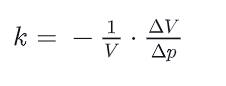
What is the expression of compressibility ?

knowt flashcard image
8
New cards

Why does pressure increase with depth in a fluid?

Each thin horizontal layer of fluid has a weight (ρ⋅V⋅gρ·V·gρ⋅V⋅g) that acts on the layer below. The deeper you go, the more layers are stacked above, so the pressure increases with depth.

9
New cards

What is the expression for the gravitational pressure ?

knowt flashcard image
10
New cards

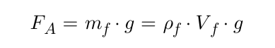
What is the buoyant force ?

When a body is immersed in a fluid, due to gravitational pressure, it experiences a force that counteracts thei weight force,

11
New cards

How is buoyancy developped ?

It is caused by the body experiencing a higher pressure from its underside than from its upper side (due to the height-dependence)

12
New cards

What is the Archimedes’ principle ?

The body only floats if the weight of the submerged body is less than the buoyant force

<p>The body only floats if the weight of the submerged body is less than the buoyant force</p>
13
New cards

Describe the movement of the flow field :

A flow field results from many individual particles with a spatial velocity distribution.

Mathematically it’s described as a vector field of velocity vectors for these same particles.

14
New cards

Name the 2 different types of flow :

Laminar and Turbulent

15
New cards

What are the 3 conservations laws of fluid mechanics :

  1. Law of conservation of mass (continuity equation, flow equation)

  2. Law of conservation of energy (Bernoulli equation)

  3. Law of Conservation of momentum

16
New cards

What is the general formula for volume flow ?

knowt flashcard image
17
New cards

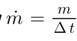
What is the formula for mass flow ?

knowt flashcard image
18
New cards

What is the formula for the volume flow using the area

knowt flashcard image
19
New cards

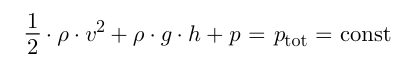
What is the bernoulli equation ? Describe the different parts of the equation & write the demonstration

The first summand is also referred to as dynamic pressure, the second as geodetic pressure (pressure at the bottom due to the gravitational pressure), and p as static pressure.

<p>The first summand is also referred to as dynamic pressure, the second as geodetic pressure (pressure at the bottom due to the gravitational pressure), and p as static pressure.</p>