Orgo 1, 2nd test Alkene and kynes

0.0(0)
studied byStudied by 4 people
0.0(0)
full-widthCall with Kai
GameKnowt Play
New
learnLearn
examPractice Test
spaced repetitionSpaced Repetition
heart puzzleMatch
flashcardsFlashcards
Card Sorting

1/36

encourage image

There's no tags or description

Looks like no tags are added yet.

Study Analytics
Name
Mastery
Learn
Test
Matching
Spaced

No study sessions yet.

37 Terms

1
New cards

Dehydrohalogenation

2
New cards

Alkylation

3
New cards

Dehydrohalogenation

4
New cards

Alkynation

5
New cards

Addition HCl

6
New cards

Addition Cl2

7
New cards

addition

8
New cards

mercuric sulfate

9
New cards

hydroboronation

10
New cards

catalytic hydrogenation

11
New cards

lithium

12
New cards

Addition HCl, HBr…

13
New cards

Halogens

14
New cards

Halohydrin

15
New cards

Oxymercuration - demercuration

16
New cards

Hydrogenation - Lindlar Catalyst

17
New cards

Epoxidation

18
New cards

Hydroxylation

19
New cards

Addition of Carbene

20
New cards

simmons smith

21
New cards

Hydroxylation by acid catalyzed epoxide

Trans Product

22
New cards

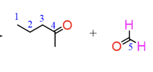
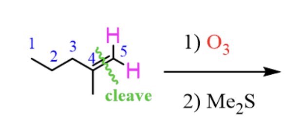
Ozone Cleavage

23
New cards

KMnO4 with all carbon groups

24
New cards

KMnO4 with hydrogens

25
New cards

Diol Cleavage

26
New cards

NBS reaction

27
New cards

NBS to allilic

28
New cards

OH with HX

29
New cards

OH with socl2

30
New cards

31
New cards

HF with OH

32
New cards

MG

33
New cards

34
New cards

RLi

35
New cards

Organometallic coupling

36
New cards

palladiam catalized

37
New cards