1/13
Looks like no tags are added yet.
Name | Mastery | Learn | Test | Matching | Spaced | Call with Kai |
|---|
No study sessions yet.
wat is lossy compression
The compressed data is not the same as the original data, but a close approximation of it
Yields a much higher compression ratio than that of lossless compression
Measuring and comparing image quality (3 gebruikte maten)

(nogmaals) wat is quantization in de context van lossy compression?
Wat zijn de drie main forms van quatization?
Reduce the number of distinct output values to a much smaller set
e.g., from Analogue to Digital (cf. Chapter 5)
here: quantize already digitized samples to reduce dynamic range
Main source of the “loss” in lossy compression
Three main forms of quantization
uniform: midrise and midtread quantizers
non-uniform: companded quantizer, Lloyd-Max
Vector Quantization
uniform scalar quantization
A uniform scalar quantizer partitions the domain of input values into equally spaced intervals, except possibly at the two outer intervals.
length of each interval is referred to as the step size, denoted by the symbol Δ
the output or reconstruction value corresponding to each interval is typically taken to be the midpoint of the interval
Two types of uniform scalar quantizers:
midrise quantizers have even number of output levels.
midtread quantizers have odd number of output levels, including zero as one of them

non-uniform scalar quantization
Non-uniform step sizes can be beneficial when:
signal does not exhibit a uniform PDF
signal ranges are known to contain excess noise
there is a need to incorporate non-linear amplitude mapping
cf. A law (Chapter 5)
there is a desire to map a range of low-level signals to zero
Two common non-uniform quantizers
Deadzone (left) and Lloyd-Max (right)
Lloyd-Max minimizes distortion by adopting the quantizer to the PDF of the input signal

vector quantization
According to Shannon’s original work on information theory, any compression system performs better if it operates on vectors or groups of samples rather than individual symbols or samples
Form vectors of input samples by simply concatenating a number of consecutive samples into a single vector
VQ defines a set of code vectors with n components
instead of single reconstruction values as in scalar quantization
A collection of these code vectors form the codebook

Rate-Distortion Theory
Framework to study of trade-offs between Rate and Distortion
typical Rate Distortion Function:

Bit rate for any compressed sequence depends on
encoding algorithm
differential or not, intra vs. inter, supported motion estimation, available block sizes, ...
content
high spatio-temporal activity typically requires more bits
selected encoding parameters
resolution, frame rate, quantizer, block size choice, combining inter and intra, ...
Often, Rate-Quality curves are used

principles of decorrelating transforms
The rationale behind transform coding:
If C is the result of a linear transform A of the input vector X in such a way that the components of C are much less correlated, then C can be coded more efficiently than X
If most information is accurately described by the first few components of a transformed vector, then the remaining components can be coarsely quantized, or even set to zero, with little signal distortion

What did just happen?
rotating axes effectively decorrelates the data
x0 vs. x1 compared to c0 vs. c1
small values can be set to zero
→ sparse set of coefficients containing most of the information
remaining values can be quantized
compression (!)
This is the essence of transform-based data compression
unitary transforms (??)
A signal x can be approximated using a linear combination of basis functions bk (cf. Fourier analysis)

Typically, we want to compute the coefficients given the input data and a given set of basis funtions: c = A x, and hence: x = A^−1 c, which means that B = A^−1
A → transformation matrix
c → transform coefficients
columns of B (=A−1A−1) → basis functions of the transform

basic transforms: Walsh-Hadamard transform

veel vb dias en cursus
the Karhunen-Loève Transform (KLT) (????)
The Karhunen-Loève transform is a reversible linear transform that exploits the statistical properties of the vector representation
it optimally decorrelates the input signal
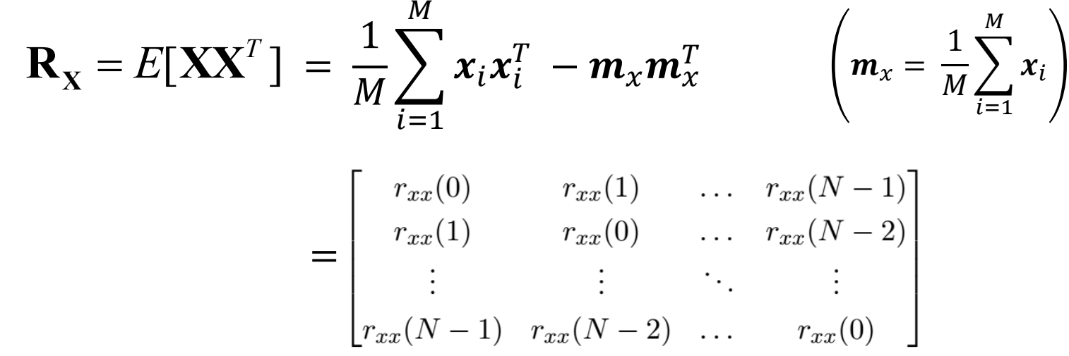
To understand the optimality of the KLT, consider the autocorrelation matrix Rx of the input vectors xi defined as


Discrete Cosine Transform
Most widely used unitary transform for image/video coding
Like Fourier, it provides frequency information about a signal, but
DCT is real-valued
DCT doesn’t introduce artifacts due to periodic extension of the signal
DCT is not as useful as the DFT for frequency-domain analysis
DCT performs exceptionally well for signal compression
DCT has very good energy compaction properties, and approaches the KLT for correlated image data
without the need to signal the transform basis functions
The DCT of x[n] can be derived by applying the DFT on the symmetrically extended (mirrored) signal x1[n]
this even extension cancels out the imaginary part of the DFT (sines)
Quantization of DCT coefficients
DCT itself does not provide compression
DCT concentrates energy of the signal in a few high-valued coefficients
retain important transform coefficients (no or little quantization)
coarser quantization for unimportant coefficients
or even remove small coefficients (set to zero)
Use of coefficient-dependent weighting of the quantizer step-size


DCT implementation
Trade-off between decorrelation performance and complexity
decorrelation performance depends on transform size, but also on autocorrelation surface characteristics (content, resolution, etc.)
typically between 4x4 and 16x16
JPEG uses 8x8
Efficient impelmentations exist to reduce the DCT complexity