1/14
Looks like no tags are added yet.
Name | Mastery | Learn | Test | Matching | Spaced |
|---|
No study sessions yet.
Theorem

Base case

Inductive hypothesis

Inductive step:

If deg(p) < deg(d),
If deg(p) ≥ deg(d)
Case 1

Case 2 part 1
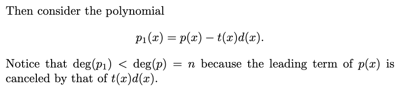
define t(x)

Case 2 part 2

Case 2 part 3

Case 2 part 4

Uniqueness part 1

Uniqueness part 2

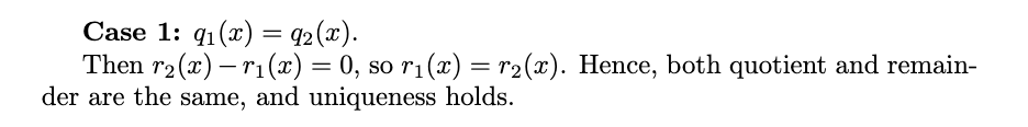
uniqueness case 1

uniqueness case 2 part 1

uniqueness case 2 part 2

uniqueness case 2 part 3
