1/94
Vokabelkarten zu den wichtigsten Trivialnamen und ihren systematischen Bezeichnungen bzw. Kurzbeschreibungen aus der Vorlesung Organische Chemie I.
Name | Mastery | Learn | Test | Matching | Spaced | Call with Kai |
|---|
No analytics yet
Send a link to your students to track their progress

Amyl-Gruppe
n-Pentylgruppe

Isobutan
2-Methylpropan

Isopentan
2-Methylbutan

Isooctan
2,2,4-Trimethylpentan

Allen
Propadien

Allyl-Gruppe
2-Propenyl-Gruppe

Vinylchlorid
Chlorethen

Vinyl-Gruppe
Ethenyl-Gruppe

Vinylidendichlorid
1,1-Dichlorethylen

Acetaldehyd
Ethanal

Aceton
Propanon

Acetophenon
1-Phenylethanon (Phenylmethylketon)

Acetoxy-Gruppe (AcO)
Acetat-Ester-Rest

Acrylaldehyd
Acrolein, Propenal

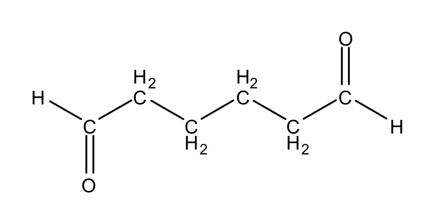
Adipinaldehyd
Hexan-1,6-dial

Benzaldehyd
Phenylmethanal

Crotonaldehyd
trans-2-Butenal

Formaldehyd
Methanal

Salicylaldehyd
2-Hydroxybenzaldehyd

Vinylacetat
Essigsäure-Vinylester

Allylalkohol
2-Propen-1-ol

Glycerin
Propan-1,2,3-triol

Acetessigsäure
3-Oxobutansäure

Acetylsalicylsäure (Aspirin)
2-Acetoxybenzoesäure

Acrylsäure
Prop-2-ensäure

Adipinsäure
Hexan-1,6-dicarbonsäure

Benzoesäure
Benzolcarbonsäure

Bernsteinsäure
Butan-1,4-dicarbonsäure (Succinylsäure)

Bernsteinsäureanhydrid
Dihydrofuran-2,5-dion


Brenztraubensäure
2-Oxopropansäure (Pyruvat in Salzform)


Citronensäure
2-Hydroxy-1,2,3-propantricarbonsäure

Crotonsäure
trans-2-Butensäure

Iso-Crotonsäure
cis-2-Butensäure

Fumarsäure
(E)-But-2-en-1,4-dicarbonsäure

Glutarsäure
Pentan-1,5-dicarbonsäure

Kohlensäure
H2CO3

Malonsäure
Propan-1,3-dicarbonsäure

Maleinsäure
(Z)-But-2-en-1,4-dicarbonsäure

Maleinsäureanhydrid
2,5-Furandion

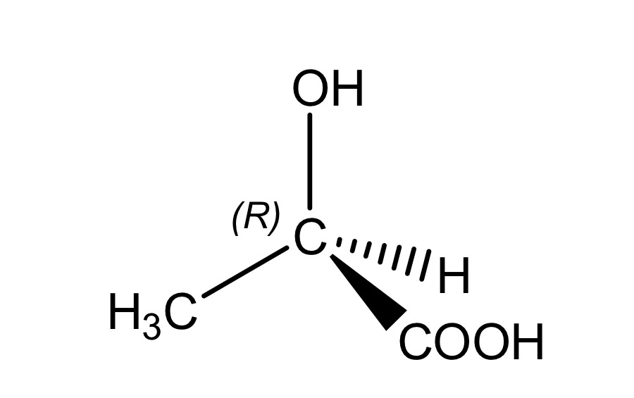
Milchsäure
(R)-2-Hydroxypropansäure

Oxalsäure
Ethan-1,2-dicarbonsäure

Phthalsäure
Benzol-1,2-dicarbonsäure

Phthalsäureanhydrid
Benzofuran-1,3-dion

Salicylsäure
2-Hydroxybenzoesäure

n-Valeriansäure
Pentansäure(Valerensäure)

iso-Valeriansäure
3-Methylbutansäure

Brenzcatechin
1,2-Dihydroxybenzol (Pyrocatechol)

Benzochinon
1,4-Benzochinon

Benzophenon
Diphenylketon

Cumol
Isopropylbenzol (2-Phenylpropan)

Hydrochinon
1,4-Dihydroxybenzol

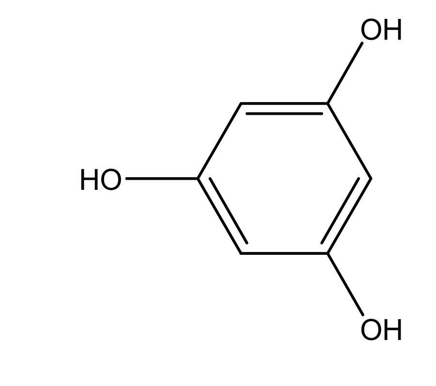
Phloroglucin
1,3,5-Trihydroxybenzol

Styrol
Phenylethen (Vinylbenzol)

Ethylbenzol
Phenylethan

Toluol
Methylbenzol

Phenol
Hydroxybenzol

Anilin
Aminobenzol (Phenylamin)

Anisol
Methoxybenzol (Methylphenylether)

ortho-Xylol
1,2-Dimethylbenzol

ortho-Kresol
2-Methylphenol

Anthracen
Polycyclischer aromatischer Kohlenwasserstoff
Benz(a)pyren
.

Naphtalin
Bicyclischer Aromat

Phenanthren
Polycyclischer Aromat (angewinkelte 3 Benzenringe)


Furan
Oxacyclopentadien

Imidazol
1,3-Diazol

Indol
Benzopyrrol (Fusion von Benzol & Pyrrol)

Pyridin
Azabenzol

Pyrimidin
1,3-Diazin (Basis von Cytosin/Uracil/Thymin)


Pyrrol
Fünfring-Heteroaromat mit NH


Thiophen
Fünfring-Heteroaromat mit S


Dioxan
1,4-Dioxan

Piperidin
Hexahydropyridin (gesättigter N-Sechsring)

Succinimid
Pyrrolidin-2,5-dion

N-Bromsuccinimid (NBS)
1-Brompyrrolidin-2,5-dion, Bromierungsmittel

Acetonitril
Ethanonitril (Methylcyanid)

Benzonitril
Cyanobenzol

N,N-Dimethylformamid (DMF)
Ameisensäure-N,N-Dimethylamid

Formamid
Ameisensäureamid

N-Methylacetamid
N-Methyl-Essigsäureamid

Norbornan
Bicyclo[2.2.1]heptan

Campher
1,7,7-Trimethylbicyclo[2.2.1]-2-heptanon

Acylium-Kation
elektrophiles Carboxykation

Allyl-Kation
resonanzstabilisiertes Carbokation

Chloroform
Trichlormethan (CHCl3)

DDT
Dichlordiphenyltrichlorethan, Insektizid

ETBE
Ethyl-tert-butylether, Ottokraftstoff-Additiv

Harnstoff
Carbonyldiamid

Isopren
2-Methylbuta-1,3-dien

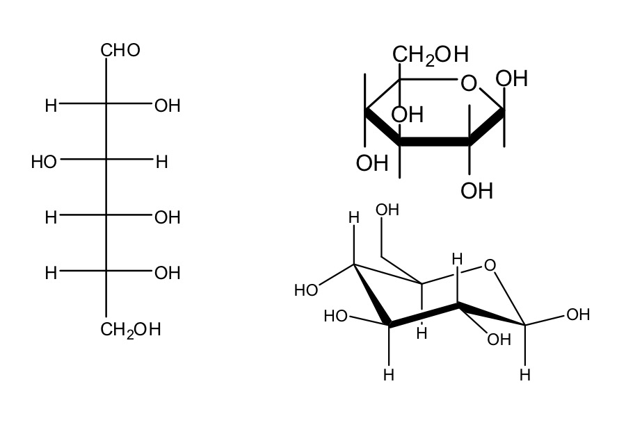
β-D-Glucose
Traubenzucker, Hexopyranose-Form

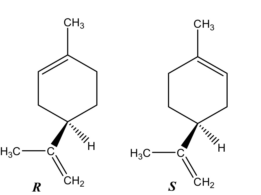
Limonen
4-Isopropenyl-1-methylcyclohex-1-en, Zitrusduft

Methoxy-Gruppe (OMe)
–OCH3-Substituent

Nikotin
3-((S)-1-Methylpyrrolidin-2-yl)pyridin, Alkaloid

Phosgen
Kohlensäuredichlorid (COCl2)

D-Sorbit
(2R,3R,4R,5S)-Hexan-1,2,3,4,5,6-hexaol