1/11
Looks like no tags are added yet.
Name | Mastery | Learn | Test | Matching | Spaced | Call with Kai |
|---|
No analytics yet
Send a link to your students to track their progress

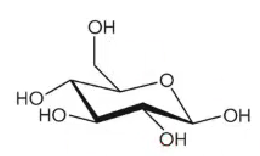
glucose (glc)

Galactose (Gal)

Mannose (man)

N-acetylgalactosamine (GalNAc)

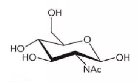
N-acetylglucosamine (glcNAc)

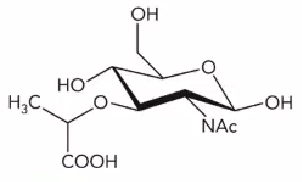
N-acetylmuramic acid (MurNAc)

Xylose (xyl)

Glucuronic acid (GlcA)

Fucose (Fuc)

Iduronic acid (IdoA)

N-acetylneuraminic acid (Neu5Ac); sialic acid
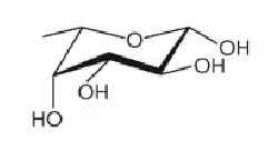
Galactose (gal)