1/17
Looks like no tags are added yet.
Name | Mastery | Learn | Test | Matching | Spaced | Call with Kai |
|---|
No study sessions yet.

What functional group is this? what are the Rs?
Alkene, R= H or any carbon group

What functional group is this? what are the Rs?
ALKYNE, R= H or any carbon group

What functional group is this? what do the R’s represent?
ARENE, R= H or any carbon group

What functional group is this? what does R and X represent?
HALIDE, R=H or any carbon group, X=F.Cl,Br,I

What functional group is this? What does the R represent?
HYDROXYL, R=H or any carbon group

What functional group is this? what do the Rs represent?
ETHER, R=any carbon group

What functional group is this? What do the Rs represent?
THIOL, R= H or any carbon group

What carbon group is this? what do the Rs represent?
SULFIDE, R= any carbon group

What functional group is this? what do the Rs represent?
AMINE, R=H or any carbon group

What functional group is this? what does the R represent?
ALDEHYDE, R=any carbon group

What functional group is this? What do the Rs represent?
KETONE, R=any carbon group

What functional group is this? What does the R and R’ represent?
IMINE, R=H or any carbon group, R’=any carbon group

What functional group is this? What does the R represent?
NITRILE, R=any carbon group

What functional group is this? What does the R represent?
CARBOXYLIC ACID, R=H or any carbon group

What functional group is this? What does the R represent?
ACID CHLORIDE, R=H or any carbon group

What functional group is this? What does the R represent?
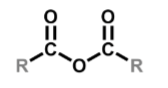
ACID ANHYDRIDE, R=H or any carbon group

What functional group is this? What does the R and R’ represent?
ESTER, R=H or any carbon group, R’=any carbon group

What functional group is this? What does the R and R’represent?
AMIDE, R=H or any carbon group, R’=H or any carbon group