kin 232 quiz 2

0.0(0)
studied byStudied by 0 people
full-widthCall with Kai
GameKnowt Play
learnLearn
examPractice Test
spaced repetitionSpaced Repetition
heart puzzleMatch
flashcardsFlashcards
Card Sorting

1/218

flashcard set

Earn XP

Description and Tags

fats + protein + hydration

Study Analytics
Name
Mastery
Learn
Test
Matching
Spaced

No study sessions yet.

219 Terms

1
New cards

role of water in body

-maintain homeostasis (pH, temp, etc)

-facilitate enzymatic reactions for energy production

-helps maintain blood volume (supports CV fin, nutrient transport, and o2 delivery)

-transports nutrients and removes waste

-sweat cools body

-protects joints, lubricates movement, and hydrates cells

-water helps food breakdown and absorption

-electrolyte balance for muscle contractions and nerve function for nerve signalling

2
New cards

most of water comes out as

urine

3
New cards

factors that affect the individual need for fluid

  1. body size and comp

  2. physical activity

  3. environmental factors (heat/altitude)

  4. health status

  5. medications

  6. some herbal supplements

4
New cards

recommended amount of fluids

2.7 for women

3.7 for men

5
New cards

How caffeine works

crosses the blood brain barrier

blocks adenosine receptors

increases neural activity

6
New cards

how caffeine crosses blood-brain barrier

it is fat-soluble so can quickly reach brain and affect CNS

7
New cards

caffeine as an Adenosine Receptor Antagonist

blocks adenosine receptors, therefore keeping you alert and energized

8
New cards

what does adenosine do for the body

promotes sleepiness and relaxation

9
New cards

caffeines increase in neural activity

stimulates the release of dopamine and norepinephrine, increasing focus, concentration, and wakefulness

also impacts serotonin

10
New cards

caffeine stimulates the release of

dopamine and norepinephrine

11
New cards

peak levels of caffeine

45min after consumption

12
New cards

how long does caffeine last

about 5 hours

13
New cards

maximum amount of caffeine according to health Canada

no more than 400mg/day on a regular basis

14
New cards

energy drinks are marketed to

enhance mental and physical performance

15
New cards

common ingredients in energy drinks

caffeine, ginseng, taurine, herbal extracts

16
New cards

main use of hydration during exercise

thermoregulation

17
New cards

muscle contractions during exercise result in ____.

most is transferred to ___.

metabolic heat production

most is transferred to the core

18
New cards

what detects the rise in body temp

thermoreceptors in brain and skin

19
New cards

what happens when thermoreceptors detect increasing heat

hypothalamus responds by increasing blood flow to the skin, initiating sweating

20
New cards

how sweating works

vasodilation increases blood flow to skin, helping transfer heat from core to skin by evaporation

21
New cards

what detects hypo hydration?

mostly the brain and kidneys

22
New cards

when do we start to see increases in plasma osmolality

around 2% dehydration

23
New cards

osmoreceptors

detect changes in osmolality

in kidney

24
New cards

how kidneys react to dehydration

release renin to vasoconstriction blood vessels to conserve sodium and water

25
New cards

baroreceptors

in brain

detect changes in pressure due to dehydration

26
New cards

how brain reacts to dehydration

after baroreceptors detect dehydration, brain releases ADH which causes the feeling of thirst.

thirst sends signal to kidneys to release renin

27
New cards

role of renin in dehydration

vasoconstricts blood vessels to conserve sodium and water

28
New cards

effect of vasoconstriction conserving sodium and water on urine

decreased urine output due to increased water reabsorption = concentrated urine

29
New cards

dehydration range for exercising

want to be around 2 or 3%

30
New cards

effects of mild dehydration (2%) on exercise performance

high fatigue and RPE

impaired attention and psychomotor skills

impair immediate memory skills

impair neuromuscular control

decrease accuracy, power and strength

decrease muscular endurance

decrease motivaation

decrease sprint performance

31
New cards

effects of more severe dehydration (3-4%) on exercise performance

decreased swear rate and evaporative heat loss

increased body temp

decreased blood volume

decreased blood pressure

cardiovascular strain

altered metabolic and CNS functioning

32
New cards

gold standard of assessing hydration status

plasma osmolality

measures concentration of solutes in plasma

33
New cards

commonly used tools for hydration status assessment

urine osmolality

urine specific gravity

changes in body weight

urine colour chart

34
New cards

urine osmolality uses what device

osmometer

35
New cards

cons to urine specific gravity for hydration status assessment

prone to human error

36
New cards

on an osmometer, a high number signifies

high dehydration %age

37
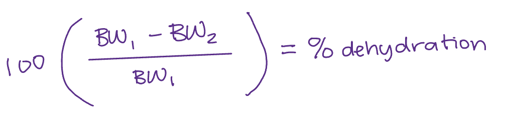
New cards

how to calculate dehydration percentage

knowt flashcard image
38
New cards

best fluid for short exercise (<45min)

water

39
New cards

nutrition and hydration for longer duration, steady state, high intensity exercise (45-75min)

maybe small amounts of CHOs, drink water

40
New cards

nutrition and hydration during start and stop sports (1-2.5hrs)

30-60g/h of carbs, an isotonic drink

41
New cards

nutrition and hydration during ultra endurance exercise (>2.5hrs)

up ti 90g/h of mixed carbs, and an isotonic drink

42
New cards

tonicity

amount of CHO in a fluid

43
New cards

hypotonic fluids

lower osmolality than blood

<6% CHOs

hydration is the goal, not calories

44
New cards

isotonic fluids

similar osmolality to human blood

6-8% carbs

used for most sporting situations

45
New cards

hypertonic fluids

higher osmolality than human blood

>8%carbs

high caloric intake is the goal, dehydration is not a concern (drag racing cars)

46
New cards

tonicity calculation

CHO (g) / volume

47
New cards

how to calculate sweat rate during exercise

[(pre exercise weight - post exercise weight) + fluid intake]/duration in hours

48
New cards

how much fluid to replace post exercise

150% of fluid deficit (1.5L for every 1kg body weight lost acutely)

49
New cards

side effects of overhydration

confusion, blurred vision, poor coordination, rapid breathing, vomiting

50
New cards

over hydration can result in

cellular edema and hyponatremia → dangerously low blood plasma levels

51
New cards

dangerously low plasma sodium levels

<135mmol/L

52
New cards
53
New cards

how do proteins differ from CHO and fats

they contain nitrogen

54
New cards

how do amino acids differ from each other

their R side chain determines AA size, shape, composition, electrical charge, and pH

55
New cards

how many essential amino acids

9

56
New cards

without enough essential amino acids the body could…

enter a diseased state

57
New cards

BCAAs

Branched-Chain Amino Acids

58
New cards

what are BCAAs (Branched-Chain Amino Acids)

subset of essential amino acids that are necessary for muscle health and metabolism

59
New cards

key BCAAs

leucine, isoleucine, and valine

60
New cards

leucine

a BCAA, key for protein synthesis and muscle recovery

essentially the master switch for creating or healing proteins or muscles

61
New cards

isoleucine

supports energy regulation and immune function → not as important in protein synthesis

62
New cards

valine

important for muscle metabolism and tissue repair → not as important in protein synthesis

63
New cards

most important BCAA in protein synthesis

leucine

64
New cards

primary protein structure

sequence of AAs that forms at least one polypeptide chain

65
New cards

secondary protein structure

coiling or folding of polypeptide chains

result of hydrogen bonding between amino acid chains

66
New cards

tertiary protein structure

three dimensional shape caused by weak interactions between side groups

67
New cards

quaternary protein structure

final 3D structure formed by all the polypeptide chains that form the protein

has a chaotic shape → important for making the protein do its role

68
New cards

denaturing of proteins

shape comes apart, can’t function properly

69
New cards

things that can denature protein

pH

stress

disease

temperature

70
New cards

mechanical digestion of proteins in the mouth

chewing

71
New cards

chemical digestion of protein in the mouth

nonexistent

72
New cards

digestion of protein in the stomach

first, hydrochloric acid denatures proteins into long polypeptide chains

then pepsin breaks these proteins into smaller polypeptides

73
New cards

role of hydrochloric acid in protein digestion

denatures proteins into their long polypeptide chains

74
New cards

role of pepsin in protein digestion

begins breaking down proteins into smaller polypeptides

75
New cards

digestion of protein in small intestine

enzymes from pancreas and from the brush border of the small intestine break polypeptides down even more than the stomach did, turning them into free amino acids and smaller peptides

76
New cards

enzymes from pancreas that help protein digestion

trypsin and chymotrypsin

77
New cards

absorption of proteins

amino acids and small peptides are absorbed by enterocytes that line the small intestine

78
New cards

transport of proteins

once absorbed, amino acids enter bloodstream and are transported to the liver and other tissues for use in protein synthesis and other metabolic processes

79
New cards

storage of protein

not really a thing. excess gets excreted

80
New cards

4 things that can happen to amino acids

undergo deamination

have their carbon skeletons enter the Krebs cycle

be incorporated into body proteins or used to synthesize other nitrogen-containing compounds (nonessential AAs)

rare but sometimes oxidized for energy

81
New cards

functions of protein

structure and motion

transportation

chemical messaging

catalysis

immune function

82
New cards

proteins used for structure and motion

collagen, keratin, contractile fibres of muscle

83
New cards

protein used for transport

hemoglobin

84
New cards

role of nucleus in protein synthesis

DNA contains info needed to make protein

85
New cards

steps in protein synthesis

recognition of need

transcription

translation

86
New cards

transcription

DNA is unwound and transcribed to produce mRNA which carries the recipe for a protein

87
New cards

role of mRNA in protein synthesis

carries the recipe for a protein

88
New cards

translation

the mRNA instructions are read by ribosomes to assemble amino acids into a polypeptide chain, which ultimately forms a protein

89
New cards

role of ribosomes in protein synthesis

they read the mRNA instructions to assemble amino acids into a polypeptide chain, ultimately forming a protein

90
New cards

impact of insufficient amounts of an AA on protein synthesis

will stop or slow the formation of the protein

91
New cards

what happens when body is missing a nonessential AA needed for protein synthesis

body will either make it or will take it from the amino acid pool in the liver (will travel through the bloodstream)

92
New cards

what happens when body is missing an essential AA needed for protein synthesis

synthesis will stop, the incomplete protein will be broken down / degraded. AAs will be sent to the amino acid pool to be used elsewhere

93
New cards

protein intake guidelines

RDA = 0.8g/kg

10-35% of energy intake

94
New cards

protein intake recommendation for athletes

1.6g/kg

95
New cards

criteria to determine quality of protein

bioavailability - how much of the protein that we consume is absorbed and used by the body

amino acid profile - the essential and nonessential AAs that it contains

96
New cards

bioavailability of protein

how much of the protein that we consume will be absorbed and used by the body

97
New cards

complete protein source

contains all 9 essential AAs

98
New cards

complete protein source examples

meat, fish, eggs, dairy, quinoa, soy

99
New cards

reference food for DIAAS content of food

whey isolate = 100%

100
New cards

DIAAS score grades

100%+ excellent

75-99% good

less than 75% no claim