Orgo I Functional Groups

0.0(0)
studied byStudied by 1 person
full-widthCall with Kai
GameKnowt Play
learnLearn
examPractice Test
spaced repetitionSpaced Repetition
heart puzzleMatch
flashcardsFlashcards
Card Sorting

1/15

encourage image

There's no tags or description

Looks like no tags are added yet.

Study Analytics
Name
Mastery
Learn
Test
Matching
Spaced

No study sessions yet.

16 Terms

1
New cards

Primary Alcohol

-OH group bound to 1 carbon that is bound to 1 carbon

<p>-OH group bound to 1 carbon that is bound to 1 carbon</p>
2
New cards

2º Alcohol

-OH bound to a carbon bound to 2 carbons

<p>-OH bound to a carbon bound to 2 carbons</p>
3
New cards

3º Alcohol

-OH bound to a carbon bound to 3 carbons

<p>-OH bound to a carbon bound to 3 carbons</p>
4
New cards

Ethers

R-O-R

<p>R-O-R</p>
5
New cards
6
New cards

Amines

Number of carbons bonded to N determines 1º 2º 3º

<p></p><p>Number of carbons bonded to N determines 1º 2º 3º</p>
7
New cards

Aldehydes

contains carbonyl group C=O

<p>contains carbonyl group C=O</p>
8
New cards

Ketones

Contains carbonyl group C=O

<p>Contains carbonyl group C=O</p>
9
New cards

Carboxylic Acids

knowt flashcard image
10
New cards

Esters

knowt flashcard image
11
New cards

Nitrile

knowt flashcard image
12
New cards

Acid Chloride

knowt flashcard image
13
New cards

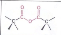
Acid Anhyde

knowt flashcard image
14
New cards

Arene (aromatic ring)

knowt flashcard image
15
New cards

Sulfoxide

knowt flashcard image
16
New cards

Thiol

knowt flashcard image