limits 22.1 final

0.0(0)
studied byStudied by 1 person
0.0(0)
full-widthCall Kai
learnLearn
examPractice Test
spaced repetitionSpaced Repetition
heart puzzleMatch
flashcardsFlashcards
GameKnowt Play
Card Sorting

1/6

encourage image

There's no tags or description

Looks like no tags are added yet.

Study Analytics
Name
Mastery
Learn
Test
Matching
Spaced

No study sessions yet.

7 Terms

1
New cards
term image

e ^ 21

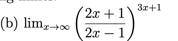
2
New cards
term image

3

2x+1/2x-1 = 1/x
1/x*3

3
New cards
term image

e^5

4
New cards
term image

1

xlnx=0
e^0 = 1

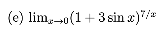
5
New cards
term image

e ^ 21
ignore sin

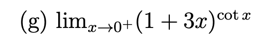
6
New cards
term image

e ^ 2
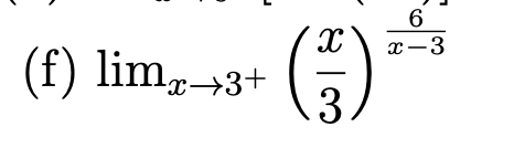
x/3 = x-3/3

7
New cards
term image



e^constant