1/20
Looks like no tags are added yet.
Name | Mastery | Learn | Test | Matching | Spaced |
|---|
No study sessions yet.
Immediate Release (Conventional) Formula and Graph

Modified Release Formula and Graph

Bolus (Conventional) Graph and Formula

Constant Rate (Controlled Release)

Oral (Conventional Release) Graph

Oral (Modified) Graph

Bolus (Conventional) Graph

Bolus Modified Graph

Zero Order Release

First Order Delivery Formula

Total Dose Formula

Total Maintenance Dose

What is rate of drug release for exteneded release dosage forms

Noyes- Whitney Equation (Dissolution Rate)

Ficks First Law (Diffusion Controlled System)

Reservoir System: Mechanism

Reservoir System: Zero Oder Release

Rate of Drug Release

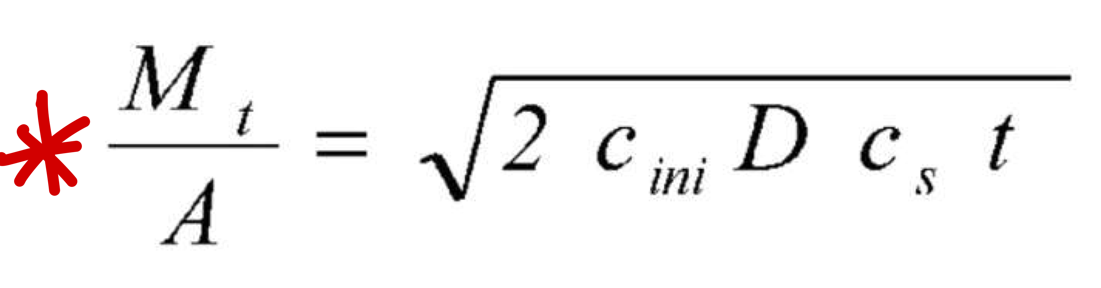
Higuchi Equation

Osmotic Controlled Delivery Systems: Mechanism of Drug Release
