1/13
Looks like no tags are added yet.
Name | Mastery | Learn | Test | Matching | Spaced |
|---|
No study sessions yet.

v



imaginario puro pq o b é diferente de zero

numero real

X real Y imaginaria

imaginario fica oposto ao original


real com real imaginaria com imaginaria


distributiva

divisão


cada 4 se repete

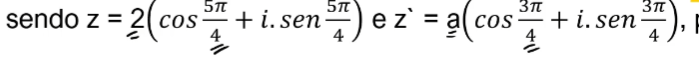
trigonometrica


divisão
Seja z = √3 (cos20º + i.sen20º) um número complexo na forma trigonométrica. Assim, z² é igual a
3(cos 40° + i.sen 40°).

distancia dos pontos
