Chpt18 SICECNE

0.0(0)
studied byStudied by 0 people
0.0(0)
full-widthCall with Kai
GameKnowt Play
New
learnLearn
examPractice Test
spaced repetitionSpaced Repetition
heart puzzleMatch
flashcardsFlashcards
Card Sorting

1/64

encourage image

There's no tags or description

Looks like no tags are added yet.

Study Analytics
Name
Mastery
Learn
Test
Matching
Spaced

No study sessions yet.

65 Terms

1
New cards

A ___ is a group of individuals of the same species that mate and produce offspring

Population

2
New cards

A ___ ___ consists of all genes present in a population, including all alleles for each gene

Gene pool

3
New cards

Why do members of a population share a gene pool?

Because they interbreed with one another

4
New cards

The number of times an allele occurs in a gene pool, as a percentage of the total occurrence of all alleles for that gene in that gene pool, is called ___ ___

Allele frequency

5
New cards

When calculating allele frequency, dose it really matter whether the trait is recessive or dominant?

No

6
New cards
<p>What is this circle graph showing us in the mice population?</p>

What is this circle graph showing us in the mice population?

Allele frequency

7
New cards

What can we say for sure is happening when there is a change in allele frequencies in a population over time?

Evolution

8
New cards

A change in allele frequency over time is caused by-

Natural selection

9
New cards

When an individuals genotype is combined with environmental conditions during its lifetime, what is produced?

Phenotype

10
New cards

A ____ includes all physical, physiological, and behavioral characteristics of an organism, such as eye color or height.

Phenotype

11
New cards

Natural selection dose not act on an individuals genotype, it instead acts on its-

Phenotype

12
New cards

Mutation, genetic recombination during sexual reproduction, and lateral gene transfer all produce-

Genetic variation

13
New cards

What type of genetic variation is a heritable change in genetic information?

Mutations

14
New cards

Different from a mutation, what type of genetic variation is the reason we differ so much from our parents?

Genetic recombination

15
New cards

What process during meiosis where paired chromosomes swap lengths of DNA at random is a mechanism to produce genetic recombination?

Crossing over

16
New cards

When genes are pass between two individuals without an offspring being produced, is a type of genetic variation called

Lateral gene transfer

17
New cards

A single gene that controls only two or three alleles can be categorized as?

A single-gene trait

18
New cards
<p>This graph is displaying what kind of trait?</p>

This graph is displaying what kind of trait?

A single-gene trait

19
New cards

Traits controlled by two or more genes, each gene having two or more alleles, is called?

Polygenic trait

20
New cards

Unlike single gene traits, what can produce a wider range of both genotypes and phenotypes?

Polygenic traits

21
New cards
<p>This is an example of which kind of trait?</p>

This is an example of which kind of trait?

Polygenic trait

22
New cards
<p>On another note, polygenic traits when graphed can also be known as?</p>

On another note, polygenic traits when graphed can also be known as?

Normal distribution

23
New cards

When natural selection produces a change in allele frequencies, what type of trait is it acting on?

Single-gene traits

24
New cards

When natural selection affects the relative fitness of phenotypes, what type of trait is it acting on?

Polygenic traits

25
New cards

What are the three types of selection for polygenic traits?

Directional selection, stabilizing selection, and disruptive selection

26
New cards
<p>This is an example of?</p>

This is an example of?

Directional selection

27
New cards
<p>This is an example of?</p>

This is an example of?

Stabilizing selection

28
New cards
<p>This is an example of?</p>

This is an example of?

Disruptive selection

29
New cards

What type of selection results in the range of phenotypes shifting

Directional selection

30
New cards

Which type of selection results in the narrowing of the curve?

Stabilizing selection

31
New cards

What type of selection can result in one species breaking off into two separate species?

Disruptive selection

32
New cards

What type of selection is the most damaging to intermediate phenotypes?

Disruptive selection

33
New cards

When allele frequency is changed at random, it is referred to as

Genetic drift

34
New cards

Genetic drift is more likely to happen in a large or small population?

Small

35
New cards

What can cause a dangerous allele to be more frequently passed down, simply by chance?

Genetic drift

36
New cards

Say that a natural disaster were to cause a population to suddenly and unexpectedly reduce in size. What kind of genetic drift would this be?

Bottleneck effect

37
New cards

___ ___ (a type of genetic drift) is a change in allele frequency following a dramatic reduction in the size of a population.

Bottleneck effect

38
New cards

Migration of a small subgroup in a population which causes a change in allele frequencies is best known as?

Founder effect

39
New cards

What would you call a population that is not evolving and allele frequencies in its gene pool are not changing?

Genetic equilibrium

40
New cards

What is the principle that states allele frequencies in a population should remain constant unless one or more factors causes those frequencies to change?

Hardy-Weinberg principle

41
New cards
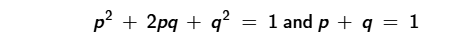
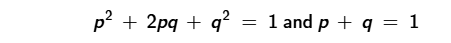
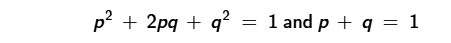
<p>In an equation such as this, which variable represents the allele frequency of the dominant allele?</p>

In an equation such as this, which variable represents the allele frequency of the dominant allele?

P

42
New cards
<p>In an equation such as this, which variable represents the allele frequency of the recessive allele?</p>

In an equation such as this, which variable represents the allele frequency of the recessive allele?

Q

43
New cards
<p>In an equation such as this, what dose 2pq represent?</p>

In an equation such as this, what dose 2pq represent?

The frequency of heterozygous individuals

44
New cards

When females of any animal species select mates based on size, strength, or coloration, it is simply known as what type of selection?

Sexual selection

45
New cards

A factor that can cause a change in allele frequency, where genes are moved in and out of the population due to immigration or emigration, is called?

Gene flow

46
New cards

Random mating, a large population, no gene flow, no mutations, and no natural selection are all the criteria for what?

Genetic equilibrium

47
New cards

When we refer to the origin of a new species, we simply use what term?

Speciation

48
New cards

What can reproductive isolation lead to?

Populations splitting into two different species

49
New cards

What are the types of reproductive isolation?

Behavioral, geographic, and temporal

50
New cards

What type of isolation is it when two populations are separated by geographic barriers like rivers, mountains or large bodies of water?

Geographic isolation

51
New cards

When two populations that were once able to interbreed evolve differences in courtship rituals or other behaviors, what type of isolation can ocuur?

Behavioral isolation

52
New cards

When two or more species reproduce at different times, like how pollination cant occur when two species of flowers bloom at different types of the year, is called what type of isolation?

Temporal isolation

53
New cards

What is the criteria for genetic equalibrium?

Large population, random mating, no gene flow, no mutations, and no natural selection

54
New cards

What does a molecular clock use to estimate the time two species have been evolving independently?

Mutation rates in DNA

55
New cards

When using a molecular clock, how will you know if a large amount of time has passed since two species shared a common ancestor?

There are major differences in DNA sequences

56
New cards

One way new genes can evolve is through ___, followed by modification, of existing genes.

Duplication

57
New cards

During meiosis, when paired chromosomes swap in a process called crossing over, what will result when an unequal swap gives one chromosome in the pair an extra copy of one or more genes?

The evolving duplicated genes may gain new functions over time

58
New cards

In other cases, gene ___ has allowed copies of genes to acquire completely new functions.

Duplication

59
New cards

Small change in ___ gene activity during embryological development can produce large changes in adult animals.

Hox

60
New cards

A small change in what type of gene can account for a major evolutionary difference between two important animal groups?

Hox genes

61
New cards

What repeating process does a molecular clock rely on to mark time?

Mutation

62
New cards

What does it mean if there are more differences between DNA sequences of two species?

More time has passed since they shared a common ancestor

63
New cards

Why must a population be large to maintain genetic equilibrium?

To avoid genetic drift

64
New cards

A ___ is a population of physically similar, interbreeding organisms that do not interbreed with such other groups.

Species

65
New cards

When does crossing over occur in meiosis?

Prophase I