1/26
Structures and side chain Pkas
Name | Mastery | Learn | Test | Matching | Spaced | Call with Kai |
|---|
No study sessions yet.
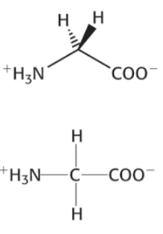
Glycine (Gly, G) (nonpolar)

Alanine (Ala, A) (nonpolar)

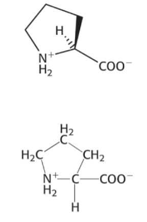
Proline (Pro, P) (nonpolar)

Valine (Val, V) (nonpolar)

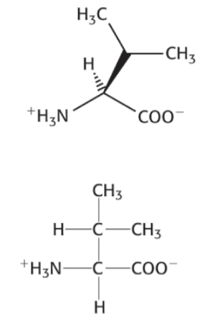
Leucine (Leu, L) (nonpolar)

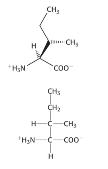
Isoleucine (Ile, I) (nonpolar)

Methionine (Met, M) (nonpolar)

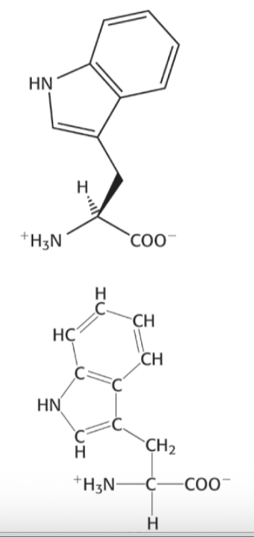
Tryptophan (Trp, W) (nonpolar)

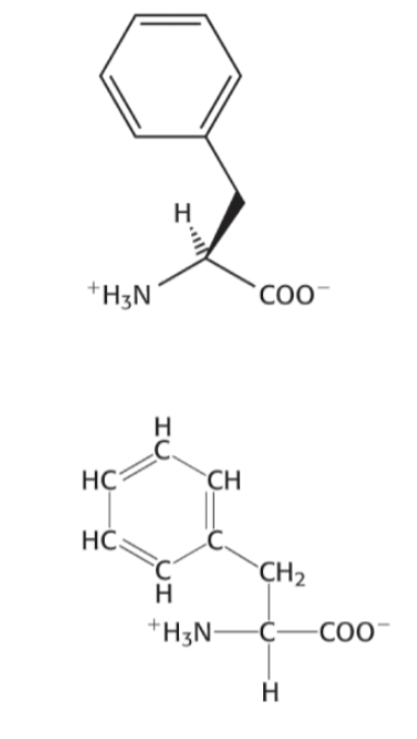
Phenylalanine (Phe, F) (nonpolar)

Serine (Ser, S) (polar)

Threonine (Thr, T) (polar)

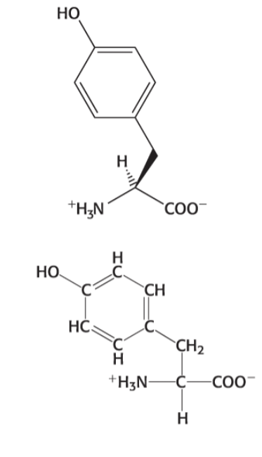
Tyrosine (Tyr, Y) (polar)

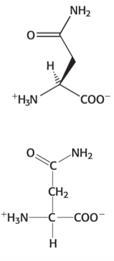
Asparagine (Asn, N) (polar)

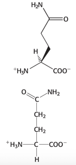
Glutamine (Gln, Q) (polar)

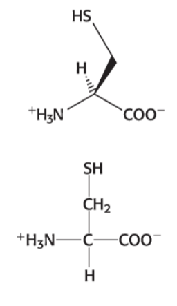
Cysteine (Cys, C) (polar)

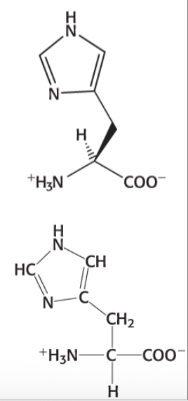
Histidine (His, H) (polar)

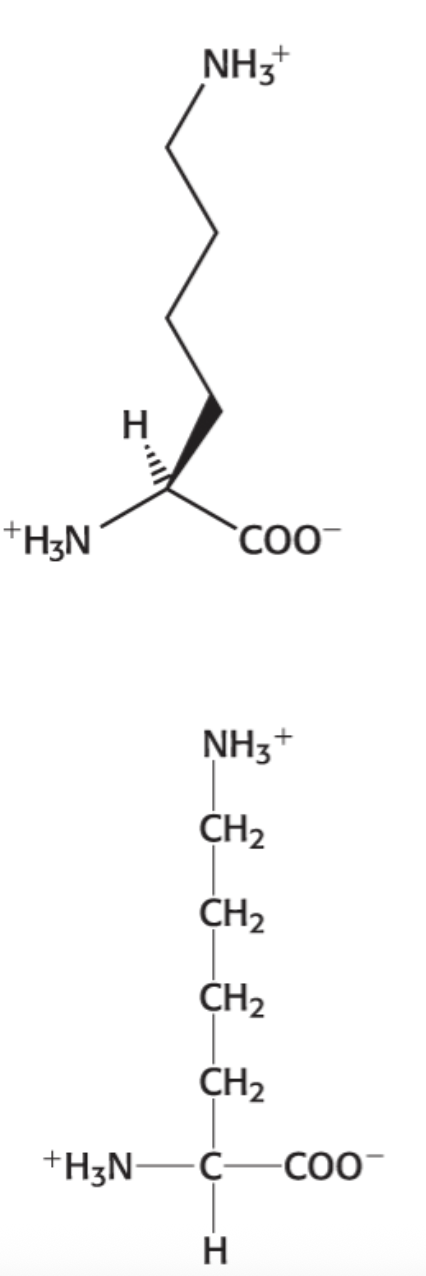
Lysine (Lys, K) (positive)

Arginine (Arg, R) (positive)

Aspartate (Asp, D) (negative)

Glutamate (Glu, E) (negative)

Aspartate pKa
3.9
Glutamate pKa
4.3
Histidine pKa
6.0
Cysteine pKa
8.3
Tyrosine pKa
10.0
Lysine pKa
10.4
Arginine pKa
12.5