1/67
Looks like no tags are added yet.
Name | Mastery | Learn | Test | Matching | Spaced |
|---|
No study sessions yet.
d/dx (sin x)
cos x
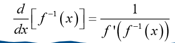
inverse function formula

d/dx (cos x)
-sin x
d/dx (tan x)
sec²x
d/dx (csc)
( -csc x ) ( cot x )
d/dx (sec x)
(sec x ) (tan x)
d/dx (cot x)
-csc²x
d/dx (e^x)
e^x
d/dx (ln x)
1/x
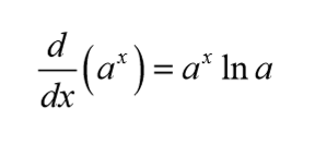
d/dx (a^x)

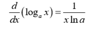
d/dx (loga x)

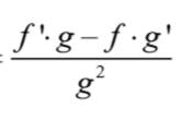
d/dx (f/g) — quotient rule

d/dx (fg)

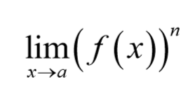
chain rule: if h(x) = f(g(x)), then

tan x =
sin x / cos x
quotient ID
cot x =
cos x / sin x
quotient ID
sec x =
1 / cos x
reciprocal ID
csc x =
1 / sin x
reciprocal ID
sin²x + cos²x = 1. what is the other pythagorean ID?
sec²x - tan²x = 1. what is the other pythagorean ID?
2sinxcosx = sin2x. what is the other double angle ID?
cos²x - sin²x = cos2x. what is the other double angle ID?
sin (-x) = -sin x (odd), cos(-x) = cos x (even), tan (-x) = -tanx (odd)
even-odd id’s
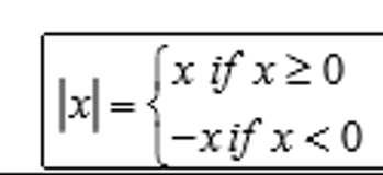
definition |x|

sin (A + B) =
sin A cos B + cos A sin B
cos (A + B) =
cos A cos B - sin A sin B
sin (A - B) =
sin A cos B - cos A sin B
cos (A-B)
cos A cos B + sin A sin B
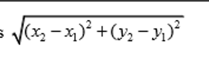
distance between two points

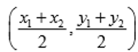
midpoint formula

laws of logarithms ln(ab)=
ln (ab) = ln a + ln b
laws of logarithms ln (a/b)
ln (a/b) = ln a - ln b
laws of logarithms (a^n)
ln (a^n) = n ln a
ln (1/a) =
-ln a
ln (0) =
undefined
ln (1)=
0
ln (e)=
1
THE UNIT CIRCLE :)
cos is the x value and sin is the y value

one sided limits

definition of a limit





lim x→a of c =
c








average rate of change…

squeeze theorem


limit rules for e^x


limit rules for ln x


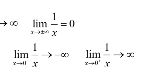
rules for lim 1/x

lim(x→0) of sinx/x =
1

lim(x→0) of 1-cosx/x =
0

limit rules for arctan x

definition of vertical asymptote

definition of horizontal asymptote

definition of continuity

intermediate value theorem (IVT):

definition of the derivative

tangent line equation

normal line
the line perpendicular to the tangent line at the point of tangency


three reasons a function f will not be differentiable at a point x=a

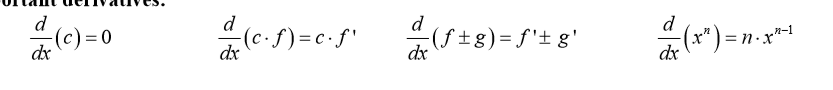
important derivatives

the derivative of the inverse of sin x

the derivative of the inverse of cos tx

the derivative of the inverse of tan x

the derivative of the inverse of cot x

the derivative of the inverse of sec x

the derivative of the inverse of csc x
