1/21
diregard this, this is for memory only
Name | Mastery | Learn | Test | Matching | Spaced |
|---|
No study sessions yet.
The derivative of a function f is given by f’(x) = 0.1x + e0.25x At what value of x for x > 0 does the line tangent to the graph of f at x have a slope 2?
c. 2.287

Answer Choices:
b. 0.433

Answer Choices:
d. f’(0.4) < f’(-1.5) < f’(-3.1)

Answer Choices:
b. 0

Answer Choices:
a. -6/pi

Answer Choices:
b. y = 5x - 4

Answer Choices:
b. B

Answer Choices:
c. II and III only

Answer Choices:
a. f is neither continuous nor differentiable at x = 2

Answer Choices:
d. f is not differentiable at x = -3 and x = -1 because the graph of f has horizontal tangents at x = -3 and -1

Answer Choices:
a. -2 + sqrt(3)

Answer Choices:
a. -sqrt(3)/2

Answer Choices:
c. -5/3e^x

Answer Choices:
d. -22

Answer Choices:
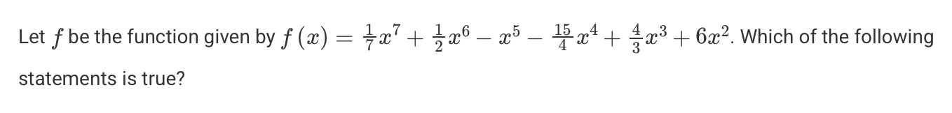
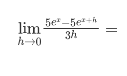
c. 31

Answer Choices
C

Answer Choices:
c. 3/4

Answer Choices:
c. 3/16

Answer Choices:
b. 5

Answer Choices:
d. sec^2x

Answer Choices:
d. -csc x cot x

Answer Choices:
d. There is no error