Lineare Algebra

0.0(0)
Studied by 9 people
call kaiCall Kai
learnLearn
examPractice Test
spaced repetitionSpaced Repetition
heart puzzleMatch
flashcardsFlashcards
GameKnowt Play
Card Sorting

1/35

Last updated 9:45 PM on 1/24/23
Name
Mastery
Learn
Test
Matching
Spaced
Call with Kai

No analytics yet

Send a link to your students to track their progress

36 Terms

1
New cards
Wenn A \* B = B \* A
Wann sind Matritzen vertauschbar?
2
New cards
Wenn das vertauschen von Zeilen und Spalten sie nicht verändert (A = A^T)
Wann ist eine Matrix symetrisch?
3
New cards
Wenn das vertauschen von Zeilen und Spalten ein Vorzeichenwechsel hervorführt
Wann ist eine Matrix antisymetrisch?
4
New cards
Alle Zahlen außer auf der Hauptdiagonale sind 0
Was ist eine Diagonalmatrix?
5
New cards
Wenn die letzte Gleichung unlösbar ist (z.B. 3 = 0)
Wann hat ein System keine Lösung?
6
New cards
Wenn eine Zeile nur Nullen hat
Wann hat ein LGS unendlich viele Lösungen?
7
New cards
Wenn sie quadratisch und regulär (Det =/= 0) ist
Wann hat eine Matrix eine Inverse?
8
New cards
Wenn ihre Determinante nicht 0 ist, sonst ist sie singulär
Wann ist eine Matrix regulär?
9
New cards
Wenn eine Dreiecksform hergestellt werden kann
Wann hat ein LGS genau eine Lösung?
10
New cards
Wenn ihr Skalarprodukt \= 0 ist
Woran merkt man ob zwei Vektoren orthogonal zueinander sind?
11
New cards
Betrag des Kreuzprodukts (Sqrt(Kreuz1, Kreuz2, Kreuz3))
Volumen eines Parallelograms?
12
New cards
Hälfte des Betrags des Kreuzprodukts
Volumen eines Dreiecks?
13
New cards

Winkel zwischen zwei Vektoren?
14
New cards

Normierter Vektor
15
New cards
Kreuzprodukt = 0 = parallel

Spatprodukt = 0 = Schnittpunkt vorhanden Schnittpunkt? → Gleichsetzen dann einsetzen
Lage von Geraden zueinander
16
New cards

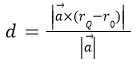
Abstand zwischen Punkt und Gerade (und zweier paralleler Geraden)
17
New cards

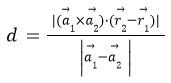
Abstand zweier windschiefer Geraden
18
New cards
Kreuzprodukt der Richtungsvektoren
Normalvektor
19
New cards

Gleichung der Ebene bestimmen
20
New cards
Lässt sich aus der Hesseschen Normalform ablesen: d\=1/x
Abstand Ebene zum Ursprung
21
New cards

Hesssche Normalform
22
New cards
\
\
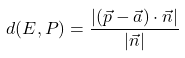
Abstand von Punkt zu Ebene
23
New cards
Gibt die maximale Anzahl der linear unabhängigen Zeilen an
Was ist der Rang einer Matrix?
24
New cards
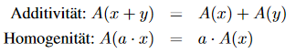
Wenn sie homogen und additiv ist
Wenn sie homogen und additiv ist
Wann ist eine Abbildung linear?
25
New cards
Diagonalmatrix minus lambda → determinante → nullstellen bestimmen
Eigenwerte bestimmen
26
New cards
Eigenwerte addieren oder Hauptdiagonale addieren
Spur einer Matrix
27
New cards
Det(a) = eigenwert1 \* eigenwert2 \* eigenwert3 …
Eigenwerte anhand der Determinante überprüfen
28
New cards
\
\
nicht-hesssche Normalenform
29
New cards

1. Normalenvektor ausrechnen und einsetzen in ax+bx+cx=k
2. Stützpunkt der geraden einsetzen um k zu bekommen
Ebene: Parameterform in Koordinatenform
30
New cards
Rang = Anzahl der nicht 0en Zeilen → Gauß
Rang einer Matrix bestimmen
31
New cards
Wenn A \* A^T = E oder wenn Det(A) = +-1
Wann ist eine Matrix orthogonal?
32
New cards
= n - Rang(A)
dim(kern(A))?
33
New cards
Normiertes Kreuzprodukt
Alle auf 2 Vektoren stehenden Einheitsvektoren
34
New cards
Kreuzprodukt der Normalenvektoren n x n
Richtungsvektor der Schnittgerade
35
New cards

1. Hesssche Normalform von E1 bilden
2. Punkt von E2 in Hesssche Normalform von E1 einsetzen
Abstand zweier paralleler Ebenen
36
New cards
Wenn die Determinante der daraus gebildeten Matrix =/= 0 ist,
Wann bildern Vektoren eine Basis zusammen?

Explore top notes

note
Chapter 7 - Enzymes
Updated 1279d ago
0.0(0)
note
Conformity
Updated 542d ago
0.0(0)
note
Riñón
Updated 1202d ago
0.0(0)
note
Chapter 7 Vocab
Updated 1242d ago
0.0(0)
note
Chapter 7 - Enzymes
Updated 1279d ago
0.0(0)
note
Conformity
Updated 542d ago
0.0(0)
note
Riñón
Updated 1202d ago
0.0(0)
note
Chapter 7 Vocab
Updated 1242d ago
0.0(0)