1/30
lock in part2
Name | Mastery | Learn | Test | Matching | Spaced | Call with Kai |
|---|
No analytics yet
Send a link to your students to track their progress
descriptive statistics
describe what has transpired = stats from the past
descriptive measures derived from a sample (statistics) and population (parameters)
three main characteristics used for the numerical description of data?
Center, variability, and shape
Center
(average, middle, most common)
Variability
(how spread out the data is)
Shape
(symmetry, skewness, tails)

Measure of center: Mean
average
uses all data
sensitive to outliers
Measure of center: median
middle value
good if outliers exist
If 𝑛 is odd → middle value.
If 𝑛 is even → average of the two middle values.
Measure of center: mode
most frequent value
good for categories/ discrete data

Measure of center: midrange
(max + min) div 2
easy but distorted by outliers

Measure of center: geometric mean
average of products/ ratio
multiply all values
take the n-th root

growth rate using geometric mean
measure of center but best for ratio, percent, growth
special use of geometric mean to find average rate of change across time

arithmetic mean (normal ave)
+ all numbers then div number of items
measure of center

Measure of center: trimmed mean
average after removing extreme high/low values

Measure of center
positive Right-skew: Mean > Median > Mode
normal Normal: Mean = Median = Mode
negative Left-skew: Mean < Median < Mode
Measure of Variability: range
diff between largest & smallest observation
sensitive to data values but ez to interpret
max - min

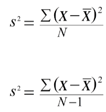
Measure of Variability: sample variance
average of squared deviations (how far a data value is from mean) from mean

Measure of Variability: standard deviation
spread of data around mean
most common same unit as data
symbol: σ

Measure of Variability: coefficient of variations
CV = SD div mean x 100%
compares spread across datasets w/ diff units

Measure of Variability: mean absolute deviation
reveals average distance from center
MAD
standardized data
rescale data so everything is measured in terms of how far it is from the mean, using the standard deviation as the unit.

z-score
z-score says how many standard deviations away from the mean a data point is. = how far from average, in standard deviation units
Positive z → above the mean.
Negative z → below the mean.
Helps spot unusual data:
|z| > 2 → unusual
|z| > 3 → outlier

empirical rule
describes how data is spread out in a normal distribution (bell curve)
±1 standard deviation from the mean → about 68% of the data falls here.
±2 standard deviations from the mean → about 95% of the data falls here.
±3 standard deviations from the mean → about 99.7% of the data falls here.
It helps you predict where most data will fall.


estimating sigma
fast estimate of SD if the data is roughly normal and you only know the min & max.

percentiles
position of a value in data
ex: 90th percentile
often used for national edu tests

quartiles
scale points that div sorted data into 4 grps of equal size
Q1 (First Quartile) = 25th percentile → 25% of data is below it.
Q2 (Second Quartile) = 50th percentile = Median → half the data is below it.
Q3 (Third Quartile) = 75th percentile → 75% of data is below it.
Interquartile Range (IQR) IQR=Q3−Q1
Show center (Q2) and spread (Q1, Q3).
Help detect outliers using fences:
Lower Fence = Q1−1.5(IQR)
Upper Fence = Q3+1.5(IQR)
Any data outside = outlier.
Methods for Finding Quartiles
Method of Medians:
Find Q2 (median) first.
Q1 = median of lower half.
Q3 = median of upper half.
Interpolation Method:
Uses formulas when data size doesn’t split evenly.
box plots
simple graph shows dataset’s center, spread, and skewness using five key numbers:
Minimum (smallest value, not an outlier)
Q1 (25th percentile)
Median (Q2) (50th percentile)
Q3 (75th percentile)
Maximum (largest value, not an outlier)
= 5-number summary.
How to Read a Boxplot
The box = middle 50% of the data (from Q1 → Q3).
The line inside the box = the median (Q2).
The “whiskers” extend to the smallest and largest values within the fences (not outliers).
Any points beyond whiskers = outliers.
Fences (for detecting outliers)
Lower Fence = Q1 – 1.5 × IQR
Upper Fence = Q3 + 1.5 × IQR
Outliers are values outside these fences.

Shape of Distribution
Skewness = symmetry.
Right-skewed: tail on right.
Left-skewed: tail on left.
Kurtosis = tail heaviness & peak.
High kurtosis = heavy tails (outliers likely).
Low kurtosis = flat distribution.
