Ch. 17: Reactions of Aromatic Compounds

0.0(0)
studied byStudied by 0 people
full-widthCall with Kai
GameKnowt Play
learnLearn
examPractice Test
spaced repetitionSpaced Repetition
heart puzzleMatch
flashcardsFlashcards
Card Sorting

1/31

flashcard set

Earn XP

Description and Tags

CHEM334

Study Analytics
Name
Mastery
Learn
Test
Matching
Spaced

No study sessions yet.

32 Terms

1
New cards

(17.3) p-Xylene undergoes nitration much faster than benzene. Use resonance forms of the sigma complex to explain this accelerated rate.

knowt flashcard image
2
New cards

(17.6) Styrene (vinylbenzene) undergoes electrophilic aromatic substitution much faster than benzene, and the products are found to be primarily ortho- and para-substituted styrenes. Use resonance forms of the intermediates to explain these results.

knowt flashcard image
3
New cards

(17.8) Draw all the resonance forms for the sigma complexes corresponding to bromination of aniline at the ortho, meta, and para positions.

knowt flashcard image
4
New cards

(17.12) Predict the mononitration products of the following compounds.

(a) o-nitrotoluene
(c) o-bromobenzoic acid
(e) m-cresol (m-methylphenol)

(b) m-chlorotoluene
(d) p-methoxybenzoic acid (f) o-hydroxyacetophenone

knowt flashcard image
5
New cards
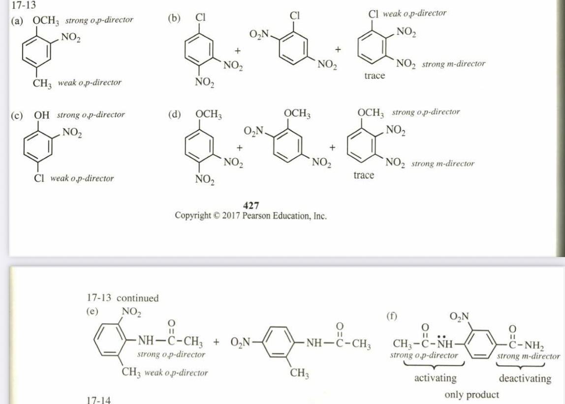
<p>(17.13) <span>Predict the mononitration products of the following aromatic compounds. <strong>(a) </strong><em>p</em>-methylanisole <strong>(b) </strong><em>m</em>-nitrochlorobenzene<br><strong>(c) </strong><em>p</em>-chlorophenol <strong>(d) </strong><em>m</em>-nitroanisole</span></p>

(17.13) Predict the mononitration products of the following aromatic compounds. (a) p-methylanisole (b) m-nitrochlorobenzene
(c) p-chlorophenol (d) m-nitroanisole

knowt flashcard image
6
New cards
<p>(17.14)&nbsp;<span><em>Biphenyl </em>is two benzene rings joined by a single bond. The site of substitution for a biphenyl is determined by (1) which phenyl ring is more activated (or less deactivated), and (2) which position on that ring is most reactive, using the fact that a phenyl substitu- ent is activating and ortho, para-directing.</span></p><p><span><strong>(a) </strong>Use resonance forms of a sigma complex to show why a phenyl substituent should be ortho, para-directing.</span></p><p><span><strong>(b) </strong>Predict the mononitration products of the following compounds.</span></p>

(17.14) Biphenyl is two benzene rings joined by a single bond. The site of substitution for a biphenyl is determined by (1) which phenyl ring is more activated (or less deactivated), and (2) which position on that ring is most reactive, using the fact that a phenyl substitu- ent is activating and ortho, para-directing.

(a) Use resonance forms of a sigma complex to show why a phenyl substituent should be ortho, para-directing.

(b) Predict the mononitration products of the following compounds.

knowt flashcard image
7
New cards

(17.15) Propose products (if any) and mechanisms for the following AlCl3@catalyzed reactions: (a) chlorocyclohexane with benzene
(b) methyl chloride with anisole

*(c) 3-chloro-2,2-dimethylbutane with isopropylbenzene

knowt flashcard image
8
New cards

(17.16) For each reaction, show the generation of the electrophile and predict the products.

(a) benzene + cyclohexene + HF (b) tert@butyl alcohol + benzene + BF3 (c) tert@butylbenzene + 2@methylpropene + HF (d) propan@2@ol + toluene + BF3

knowt flashcard image
9
New cards

(17.17) Predict the products (if any) of the following reactions. (a) (excess) benzene + isobutyl chloride + AlCl3
(b) (excess) toluene + butan@1@ol + BF3
(c) (excess) nitrobenzene + 2@chloropropane + AlCl3 (d) (excess) benzene + 3,3@dimethylbut@1@ene + HF

knowt flashcard image
10
New cards

(17.18) Which reactions will produce the desired product in good yield? You may assume that aluminum chloride is added as a catalyst in each case. For the reactions that will not give a good yield of the desired product, predict the major products.

Reagents

(a) benzene + n-butyl bromide
(b) ethylbenzene + tert-butyl chloride (c) bromobenzene + ethyl chloride
(d) benzamide (PhCONH2) + CH3CH2Cl (e) toluene + HNO3, H2SO4, heat

Desired Product

n-butylbenzene p-ethyl-tert-butylbenzene p-bromoethylbenzene p-ethylbenzamide 2,4,6-trinitrotoluene (TNT)

knowt flashcard image
11
New cards

(17.19) Show how you would synthesize the following aromatic derivatives from benzene. (a) p-tert-butylnitrobenzene (b) p-toluenesulfonic acid (c) p-chlorotoluene

knowt flashcard image
12
New cards
<p>(17.20) Show how you would use the Friedel-Crafts acylation, Clemmensen reduction, and/or Gatterman-Koch synthesis to prepare the following compounds:</p>

(17.20) Show how you would use the Friedel-Crafts acylation, Clemmensen reduction, and/or Gatterman-Koch synthesis to prepare the following compounds:

knowt flashcard image
13
New cards
<p>(17.33) <span>Predict the major products of treating the following compounds with hot, concentrated potassium permanganate, followed by acidification with dilute HCl.</span></p>

(17.33) Predict the major products of treating the following compounds with hot, concentrated potassium permanganate, followed by acidification with dilute HCl.

knowt flashcard image
14
New cards

(17.35) What would be the ratio of products in the reaction of chlorine with ethylbenzene if chlorine randomly abstracted a methyl or methylene proton? What is the reactivity ratio for the benzylic hydrogens compared with the methyl hydrogens?

knowt flashcard image
15
New cards
<p>(17.36) <span>Predict the major products when the following compounds are irradiated by light and treated with (1) 1 equivalent of Br2 and (2) excess Br2.</span></p>

(17.36) Predict the major products when the following compounds are irradiated by light and treated with (1) 1 equivalent of Br2 and (2) excess Br2.

knowt flashcard image
16
New cards

(17.37) Propose a mechanism for the reaction of benzyl bromide with ethanol to give benzyl ethyl ether (shown above).

knowt flashcard image
17
New cards
<p>(17.39) Show how you would synthesize the following compounds, using the indicated starting materials.</p>

(17.39) Show how you would synthesize the following compounds, using the indicated starting materials.

knowt flashcard image
18
New cards
<p>(17.43)&nbsp;<span>Predict the major product at the end of each sequence.</span></p>

(17.43) Predict the major product at the end of each sequence.

knowt flashcard image
19
New cards
<p>(17.44) <span>Predict the site(s) of electophilic attack on these compounds.</span></p>

(17.44) Predict the site(s) of electophilic attack on these compounds.

knowt flashcard image
20
New cards
<p>(17.45) <span>Predict the products.</span></p>

(17.45) Predict the products.

knowt flashcard image
21
New cards
<p>(17.46)&nbsp;<span>To synthesize <em>m</em>-ethylbenzenesulfonic acid, a student attempted the Friedel–Crafts alkyl- ation of benzenesulfonic acid with bromoethane. Do you predict that this reaction was successful? If not, propose an alternative synthesis.</span></p>

(17.46) To synthesize m-ethylbenzenesulfonic acid, a student attempted the Friedel–Crafts alkyl- ation of benzenesulfonic acid with bromoethane. Do you predict that this reaction was successful? If not, propose an alternative synthesis.

knowt flashcard image
22
New cards
<p>(17.47)&nbsp;Propose a synthetic sequence of this trisubstituted benzene starting from toluene.</p>

(17.47) Propose a synthetic sequence of this trisubstituted benzene starting from toluene.

knowt flashcard image
23
New cards

(17.48) Starting from toluene, propose syntheses for ortho-, meta-, and para-chlorobenzoic acid.

knowt flashcard image
24
New cards
<p>(17.49) <span>Starting from toluene, propose a synthesis of this trisubstituted benzene.</span></p>

(17.49) Starting from toluene, propose a synthesis of this trisubstituted benzene.

knowt flashcard image
25
New cards
<p>(17.50) <span>Predict the major products formed when benzene reacts (just once) with the following reagents.</span></p>

(17.50) Predict the major products formed when benzene reacts (just once) with the following reagents.

knowt flashcard image
26
New cards

(17.52) Show how you would synthesize the following compounds, starting with benzene or toluene and any necessary acyclic reagents. Assume para is the major product (and separable from ortho) in ortho, para mixtures.

(a) 1-phenyl-1-bromobutane
(d) ethoxybenzene
(g) p-aminobenzoic acid
(j) 3-nitro-4-bromobenzoic acid (m) 2-(4-methylphenyl)butan-2-ol

(b) 1-phenyl-1-methoxybutane (c) 3-phenylpropan-1-ol
(e) 1,2-dichloro-4-nitrobenzene (f) 1-phenylpropan-2-ol
(h) 2-methyl-1-phenylbutan-2-ol (i) 5-chloro-2-methylaniline (k) 3-nitro-5-bromobenzoic acid (l) 4-butylphenol

knowt flashcard image
27
New cards
<p>(17.54) <span>Predict the major products of bromination of the following compounds, using Br2 and FeBr3 in the dark.</span></p>

(17.54) Predict the major products of bromination of the following compounds, using Br2 and FeBr3 in the dark.

knowt flashcard image
28
New cards
<p>(17.63) <span>The most common selective herbicide for killing broadleaf weeds is 2,4-dichlorophenoxyacetic acid (2,4-D). Show how you would synthesize 2,4-D from benzene, chloroacetic acid (ClCH2COOH), and any necessary reagents and solvents.</span></p>

(17.63) The most common selective herbicide for killing broadleaf weeds is 2,4-dichlorophenoxyacetic acid (2,4-D). Show how you would synthesize 2,4-D from benzene, chloroacetic acid (ClCH2COOH), and any necessary reagents and solvents.

knowt flashcard image
29
New cards
<p>(17.64) <span>Furan undergoes electrophilic aromatic substitution more readily than benzene; mild reagents and conditions are sufficient. For example, furan reacts with bromine to give 2-bromofuran.</span></p><ol><li><p><span><strong>(a) &nbsp;</strong>Propose mechanisms for the bromination of furan at the 2-position and at the 3-position. Draw the resonance forms of</span></p><p><span>each sigma complex, and compare their stabilities.</span></p></li><li><p><span><strong>(b) &nbsp;</strong>Explain why furan undergoes bromination (and other electrophilic aromatic substitutions) primarily at the 2-position.</span></p></li></ol><p></p>

(17.64) Furan undergoes electrophilic aromatic substitution more readily than benzene; mild reagents and conditions are sufficient. For example, furan reacts with bromine to give 2-bromofuran.

  1. (a)  Propose mechanisms for the bromination of furan at the 2-position and at the 3-position. Draw the resonance forms of

    each sigma complex, and compare their stabilities.

  2. (b)  Explain why furan undergoes bromination (and other electrophilic aromatic substitutions) primarily at the 2-position.

knowt flashcard image
30
New cards
<p>(17.66)&nbsp;<span><em>Bisphenol A </em>is an important component of many polymers, including polycarbonates, polyurethanes, and epoxy resins. It is synthesized from phenol and acetone with HCl as a catalyst. Propose a mechanism for this reaction.</span></p>

(17.66) Bisphenol A is an important component of many polymers, including polycarbonates, polyurethanes, and epoxy resins. It is synthesized from phenol and acetone with HCl as a catalyst. Propose a mechanism for this reaction.

knowt flashcard image
31
New cards
<p>(17.76) <span>The antioxidants BHA and BHT are commonly used as food preservatives. Show how BHA and BHT can be made from phenol and hydroquinone.</span></p>

(17.76) The antioxidants BHA and BHT are commonly used as food preservatives. Show how BHA and BHT can be made from phenol and hydroquinone.

knowt flashcard image
32
New cards

(17.77) Triphenylmethanol is insoluble in water, but when it is treated with concentrated sulfuric acid, a bright yellow solution results. As this yellow solution is diluted with water, its color disappears and a precipitate of triphenylmethanol reappears. Suggest a structure for the bright yellow species, and explain this unusual behavior.

knowt flashcard image