1/84
Looks like no tags are added yet.
Name | Mastery | Learn | Test | Matching | Spaced |
|---|
No study sessions yet.
sodium reference range
137 – 145 mEq/L
which values are electrolyte-related? (x6)
sodium
potassium
chloride
calcium
phosphorous
magnesium
sodium abbrevation
na
potassium abbreviation
k
potassium ref range
3.5 – 5.3 mEq/L
chloride abbrevation
cl
chloride ref ranges
98 – 107 mEq/L
carbon dioxide ref range
22 – 30 mEq/L
ABG (arterial blood gasses)
carbon dioxide
pH
PaO2
PaCO2
HCO3
what other value is carbon dioxide related to
Serum bicarbonate (HCO3)
blood urea nitrogen ref range
7 – 17 mg/dL
blood urea nitrogen abbrevation
BUN
what values are related to renal values (x4)
blood urea nitrogen
serum creatinine
creatinine clearance
glomerular filtration rate
Serum Creatinine ref range
0.52 – 1.04 mg/dL
Serum Creatinine abbreviation
Scr
glucose ref range
65 – 105 mg/dL
what test is BG and fasting glucose related to
glucose
creatinine clearance ref range
90 – 140 mL/min
creatinine clearance abbreviation
CrCl
liver/gi category
albumin
Alanine Aminotransferase
Aspartate Aminotransferase
bilirubin (direct)
bilirubin (total)
lipids category
HDL cholesterol
LDL cholesterol
Triglycerides
Hematology (rbc or wbc) cateogry
hemogloblin
white blood cells
platelets
hematology (coag) category
international normalized ration (normal, warfarin)
cardiac category
digoxin (heart failure, atrial fibrillation)
pulmonary category
theophylline
ID category
vancomycin
Creatinine Clearance ref range
90 – 140 mL/min
Glomerular Filtration Rate ref rate
>60 mL/min/1.73 m²
calcium ref rate
8.4 – 10.2 mg/dL
Phosphorus
2.5 – 4.5 mg/dL
Magnesium
1.6 – 2.4 mg/dL
Albumin abbreviation
Alb
Albumin ref range
3.5 – 4.8 g/dL
Alanine Aminotransferase
9 – 52 units/L
Aspartate Aminotransferase
14 – 36 units/L
Bilirubin (direct)
0 – 0.3 mg/dL
Bilirubin (total)
0.2 – 1.3 mg/dL
HDL cholesterol
>40 mg/dL
Phosphorus abbreviations (x2)
phos, phosphate
Magnesium abbreviation
mg
albumin abbreviation
akb
Alanine Aminotransferase abbreviation
ALT / SGPT
Aspartate Aminotransferase abbreviation
AST / SGOT
Bilirubin (direct) abbreviation
Conjugated bilirubin
Bilirubin (total) abbreviation
T. bili
LDL cholesterol ref range
<130 mg/dL
Triglycerides ref range
<150 mg/dL
Triglycerides abbreviation
TG
Hemoglobin ref range female
12 – 16 g/dL (female)
Hemoglobin ref range male
14 – 18 g/dL (male)
hemoglobin abbreviation
HgB
White Blood Cells abbreviation
WBC
White Blood Cells ref range
4,800 – 11,000 cells/μL
(4.8 – 11 x103 cells/μL)
platelets ref range
140,000 – 440,000 cell/μL
(140 – 440 x103 cells/μL)
platelets abbreviation
Pit
pH ref range
7.34 – 7.44
paO2 ref range
75 – 100 mmHg
PaCO2 ref range
35 – 45 mmHg
HCO3
22 – 26 mEq/L
international normalized ratio, normal ref range
0.9 – 1.2
international normalized ratio, warfarin ref rate
2.0 – 3.0 or 2.5 – 3.5
international normalized ratio abbreviation
INR
digoxin ref rate for heart failure
0.5 – 0.9 mcg/L
digoxin ref rate for atrial fibrillation
adjust to goal HR and keep <2.0
Phenytoin ref rate
10 – 20 mg/L
Theophylline ref rate
5 – 15 mg/L
Vancomycin ref rate
>400-600 mg x hr/L
10 – 20 mcg/mL
terms related to vancomycin
AUC/MIC
Trough level
corrected sodium equation

corrected calcium

absolute neutrophil count (ANC)

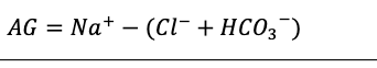
anion gap formula

ethacrynic acid po
50 mg
furosemide po
40 mg
furosemide iv
20 mg
Torsemide po
20 mg
Torsemide iv
20 mg
Bumetanide po
1 mg
Bumetanide iv
1 mg
Cortisone equiv
25 mg
Hydrocortisone equiv
20 mg
Prednisone/Prednisolone equiv
5 mg
Methylprednisolone/Triamcinolone equiv
4 mg
Dexamethasone equiv
0.75 mg
Betamethasone equiv
0.6 mg