1/9
Looks like no tags are added yet.
Name | Mastery | Learn | Test | Matching | Spaced |
|---|
No study sessions yet.

Na2Cr2O7 + a 1^o alcohol (primary)
Produces a Carboxylic Acid


Na2Cr2O7 + a 2^o alcohol (secondary)
Produces a Ketone


Xs CrO3 + H3O+ and Acetone + a 1^o alcohol (primary)
Carboxylic Acid


Xs CrO3 + H3O+ and Acetone + a 2^o alcohol (secondary)
Produces a Ketone


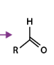
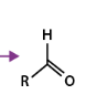
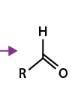
DMSO, (COCl)2 + Et3N on a primary
Aldehyde


DMSO, (COCl)2 + Et3N on a secondary
Ketone


DMP, CH2Cl2 on a primary
Aldehyde


DMP, CH2Cl2 on a Secondary
Ketone


PCC, CH2Cl2 on a primary
Aldehyde


PCC, CH2Cl2 on a Secondary
Ketone
