1/15
Cheat-Sheet for all the formulae and basic concepts you need for this chapter. Answer with definition only. Enable Flashcard-type questions only. Star what you need. I may add to this deck in the future, to make it comprehensive of all concepts you could need for JEE Mains/Advanced or IAT, but that's to be decided.
Name | Mastery | Learn | Test | Matching | Spaced | Call with Kai |
|---|
No analytics yet
Send a link to your students to track their progress
What is the formula for electric field between charging capacitor plates?
where:
σ = surface charge density of plate of capacitor
q = magnitude of charge on each capacitor plate

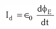
What is the formula for displacement current between capacitor plates?
where ϕE = electric flux so
dϕE/dt = change in electric flux

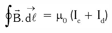
What is the difference between conduction current and displacement current? How are they related?
The conduction current is the current due to the flow of charges in a conductor and is denoted as Ic.
The displacement current is the current due to changing electric field between the plate of the capacitor and denoted as Id.
The total current I is sum of Jc and Id i.e. I = Ic + Id
How is the direction of displacement current related to the direction of electric field?
They are always in the same direction.
What is Maxwell’s correction to Ampere’s Circuital Law? State the new equation.

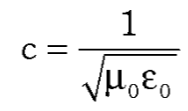
What is the formula for determining speed of light c in terms of permittivity and permeability?

What is the formula for determining speed of light c in terms of the magnitudes of electric and magnetic fields?

What is the direction of propagation of electromagnetic waves in terms of the electric and magnetic fields that generate it?

What is the phase difference between the electric and magnetic field variations in electromagnetic waves?
0
What are the wave equations of electric and magnetic fields in electromagnetic waves?

How to calculate wave speed if given the wave equations of electric or magnetic fields in an electromagnetic wave?

What is the formula for momentum transferred by an electromagnetic wave when it is incident on a surface?

What is definition of Intensity of EMW?
It is the energy incident per unit area per unit time on a surface.
(in other words, power per unit area)
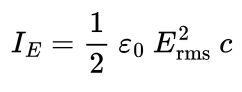
What is the formula for intensity of EMW provided by the electric field?

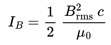
What is the formula for intensity of EMW provided by the magnetic field?

What is the relationship between the intensity of EMW provided by the electric field and the intensity of EMW provided by magnetic field?
IE = IB = half of total intensity of EMW